9.3 流域产沙
流域产沙是指流域上的岩土在水力、风力、热力和重力等作用下的侵蚀和输移的过程。在多数地区,水力侵蚀是流域产沙的主要形式。被侵蚀的岩土经过输移过程中的冲淤变化,到达流域出口断面的泥沙数量称流域产沙量。流域产沙量不一定等于流域内岩土的侵蚀量,两者之比小于1。岩土侵蚀量通常用单位面积上岩土的侵蚀数量即岩土的侵蚀模数(t/km2)表示。流域产沙量则用重量(t)或输沙率(t/s)表示。流域产沙使耕田面积缩小,耕作层和肥分流失,毁坏农田,使河道、水库和渠道淤积,降低甚至丧失功能。泥沙还是各种污染物的载体。
河流泥沙的主要来源是坡面侵蚀,而坡面侵蚀主要是降雨径流形成的。因而,流域年平均产沙量与气候、土壤类型、地形、土地利用情况、植被覆盖状况等因素有关。兰本(W.B.Langbein)和舒姆(S.A.Schumm)曾经应用实测数据点绘了年平均降水量与年平均产沙量关系图(图9.5),此图表明,最大产沙量发生在年平均降水量300mm左右的地区。这是由于年降水量在300mm左右的地区植被覆盖差,不能对地面起保护作用;降水量较大地区则因植被生长好保护了地面而减少了降雨侵蚀;降水量更小地区降雨形成的侵蚀量也相对较小。产沙预测类似于产流,也有两类型模型。

图9.5 年产沙量与年平均降雨量关系示意图
1.统计模型
1960年威施麦尔(Wischmeier)和史密斯(Smith)依据上万个试验场(包括天然径流场和人工降雨径流场)的实测降雨产沙资料,统计归纳出通用的土壤流失方程,即USLE,考虑了降雨、土壤可蚀性、坡长、坡度、耕作与管理、水土保持等6项因素,形式如下
![]()
式中 A——年平均土壤流失量,t/acre,acre表示英亩;
R——降雨因子;
K——土壤可蚀性因子;
L——坡长因子;
S——坡度因子;
C——耕作及管理措施因子;
P——水土保持措施因子。
由于美国农业部给出了各种系数的取值方法和查算图表,因此该方程得到了较为广泛的应用;但这一方程本质上是依据统计规律的稳定函数,难以考虑产沙的动态过程,称之为“通用”方程,并不严格。1991年雷纳(Renard)等提出的RUSLE模型则进一步考虑了径流因子,从而对USLE作了修正。
我国依据实测径流与泥沙资料通过统计途径建立预测方程的研究较多,王占礼对此进行了评述。例如,蔡强国等依据资料条件良好的岔巴沟流域,建立了次暴雨产沙统计模型,该模型系统分析了流域产沙的降雨、径流、地貌因子的作用,进而将影响产沙因素概括为径流深、洪峰流量、流域面积、沟道密度,并作为产沙预测指标。其产沙方程为
![]()
式中 Ms——流域产沙模数,t/km2;
H——次径流深,mm;
Qw——洪峰流量,m3/s;
A——流域面积,km2;
D——沟道密度,km/km2。(https://www.daowen.com)
该模型预报本流域产沙量的相关系数为0.973,均方差473t/km2,为平均洪水产沙模数的12.1%。将此模型用于预测同一水文相似区内的南驼耳巷流域冯庄站(232km2)、大理河流域的青阳岔站(662km2)、小理河流域的李家河站(807km2)的19次降雨产沙量,整体精度为78.55%,效果较好。是否可用于整个黄土高原各种流域的产沙预测,尚待检验。此类流域产沙预报方程,在同一水文相似区内,一定时期和条件下,预测效果较好,但不能模拟流域产沙过程。
2.物理模型
为了模拟产沙过程,王光谦等提出了坡面产沙理论模型,他们指出,坡面产沙包括溅蚀、薄层水流侵蚀、细沟侵蚀等在内的复杂物理过程,如图9.6所示。

图9.6 坡面侵蚀产沙过程及其概化图
通过上述概化,且假定坡面宽度方向上侵蚀速率相同,并采用坡面流运动波方程,首先得出单位时间单位面积上的侵蚀率e用式(9.15)计算

式中 e——x处单位时间单位面积上的侵蚀率;
m——与水流切应力有关的参数;
ρs——泥沙密度;
α——小于1的系数;
qe——径流率;
x——沿坡面向下的坐标;
n——Manning糙率系数;
J——坡面比降。
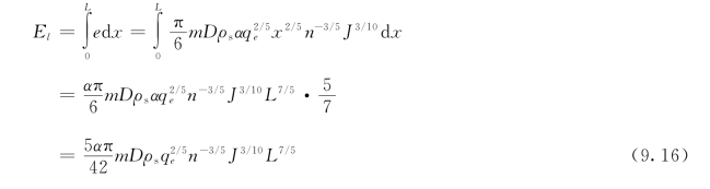
然后,将坡面概化为矩形,设坡面面积为A,坡长为L,则坡面宽度B=A/L。设某时刻“坡面”流量为Q,于是“坡面”单位面积上径流率为qe=Q/A。假设坡面宽度方向上侵蚀速率相同,则坡面单位宽度上的侵蚀量用式(9.16)即可计算

式中 L——坡长,m;
其余符号意义同前。
最后,整个坡面总侵蚀量E为单宽侵蚀量乘以宽度,而有

这一物理模型通过两组实验资料得到一定程度的证明。王光谦等在分析模型计算个别点据偏离实验点据的原因时指出,实验中这些点都伴随有细沟的形成与沟壁坍塌等重力侵蚀现象,因而需要进一步考虑重力侵蚀模型,再与这一模型耦合,才能得到更为符合实际的结果。