8.4.2 健康风险评价模型
水环境中的有毒有害污染物一般可以分为两类:躯体毒物质和基因毒物质。其中躯体毒物质包括非致癌物,基因毒性物质包括放射性污染物和化学致癌物。在本研究中由于水样中的放射性污染物浓度极低,故在对基因毒物质进行健康风险评价时忽略该类污染物。有毒有害物质主要通过三种途径:直接接触、摄入水体中的食物以及饮水对人体产生危害。由于人体主要通过消化道方式摄入重金属,因此本研究中主要考虑饮水这一重要暴露途径。
当前不同国家和组织对健康风险评价的方法和数学模型并非完全相同,然而原理基本一致。本文采用美国EPA推荐的健康风险评价模型对重金属污染物通过饮水途径对人体健康产生的危害进行评价。该模型包括基因毒性物质评价模型和躯体毒物质评价模型,即对研究的金属分别进行致癌风险评价和非致癌评价。在本研究中选取了11种金属元素、氨氮、氟化物、硝酸盐和四种有机物甲苯、苯、三氯甲烷和二氯甲烷进行健康风险评价,其中:铅、锌、铜、锰、锑、镍、汞、硒、氨氮、氟化物、硝酸盐、甲苯、苯是非致癌物质;镉、砷、铬、三氯甲烷和二氯甲烷具有致癌效应。下面分别对这两种模型进行介绍。
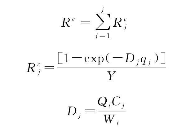
1.化学致癌物健康风险评价模型

式中:Rc为各种化学致癌物通过饮水途径所产生的平均个人致癌年风险总和;Rcj为化学致癌物j通过饮水途径所产生的平均个人致癌年风险,a-1;qj是化学污染物j通过饮水途径的致癌系数,mg/(kg·d);Dj为化学致癌物j通过饮水途径所产生的单位体质量日均暴露剂量,mg/(kg·d);Y为个人寿命,Qi为敏感人群的日平均饮水量;Cj为水中化学致癌物的j的质量浓度,mg/L;Wi为敏感人群的体重。
2.躯体毒性物质非致癌健康风险评价模型

式中:Rn为各种躯体毒物质通过饮水途径所产生的平均个人致癌年风险总和;Rnk为躯体毒物质k通过饮水途径所产生的平均个人致癌年风险,a-1;RfDk为躯体毒物质k通过饮水途径的参考剂量,mg/(kg·d)。
目前对于饮用水中各有毒物质所引起的整体健康风险,通常假设各有毒物质对人体健康危害的毒性作用呈相加关系而不是协同或拮抗关系,则饮用水总的健康危害风险R为致癌风险和非致癌风险之和,即
R=Rc+Rn
3.健康风险评价模型参数的确定
根据国际癌症研究机构(IARC)和世界卫生组织(WHO)编制的分类系统,致癌物质的致癌强度系数Q和非致癌物质的参考剂量RfD见表8-7。风险评价模型的健康危害参数见表8-8。不同组织规定的最大可接受和可忽略风险水平见表8-9。
表8-7 饮水途径模型Q和RfD值

表8-8 风险评价模型的健康危害参数

表8-9 不同组织规定的最大可接受和可忽略风险水平
