导文网
搜索
首页>
图书频道>
理学>
数学物理化学
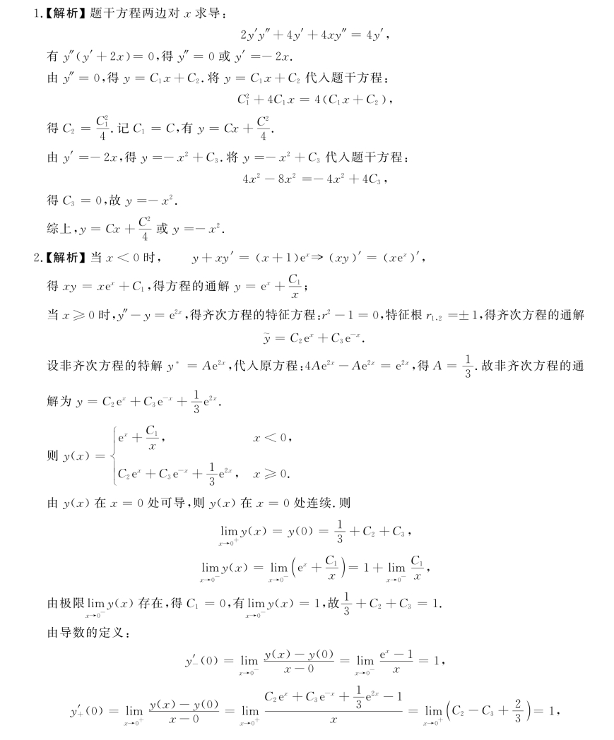
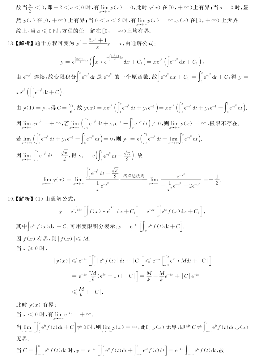
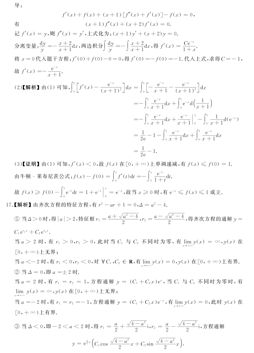
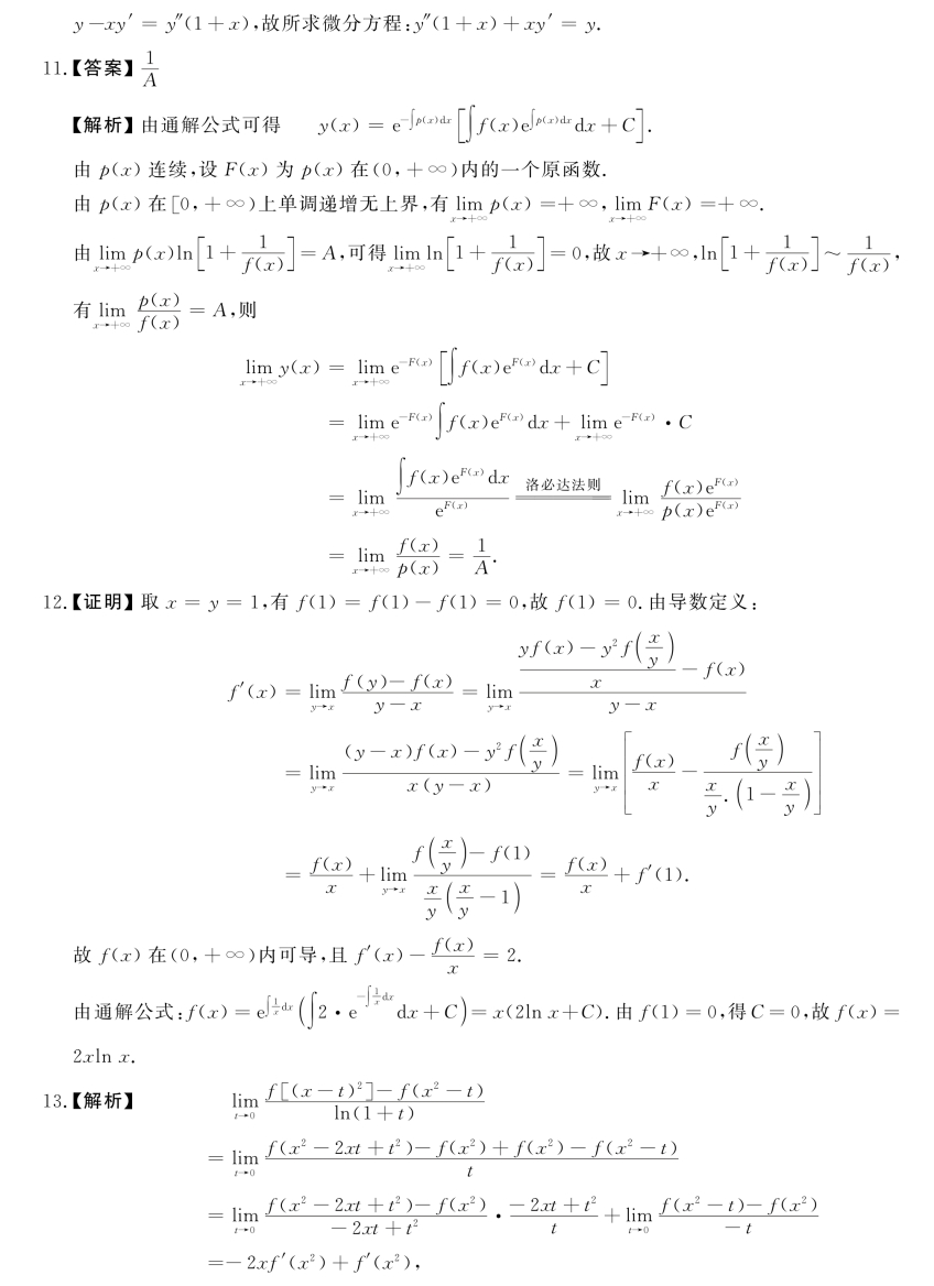
第七章 微分方程
2026年01月14日
版权
第七章 微分方程
(https://www.daowen.com)
上一章
下一章
目录