导文网
搜索
首页>
图书频道>
理学>
数学物理化学
多元函数微分学
2026年01月14日
版权
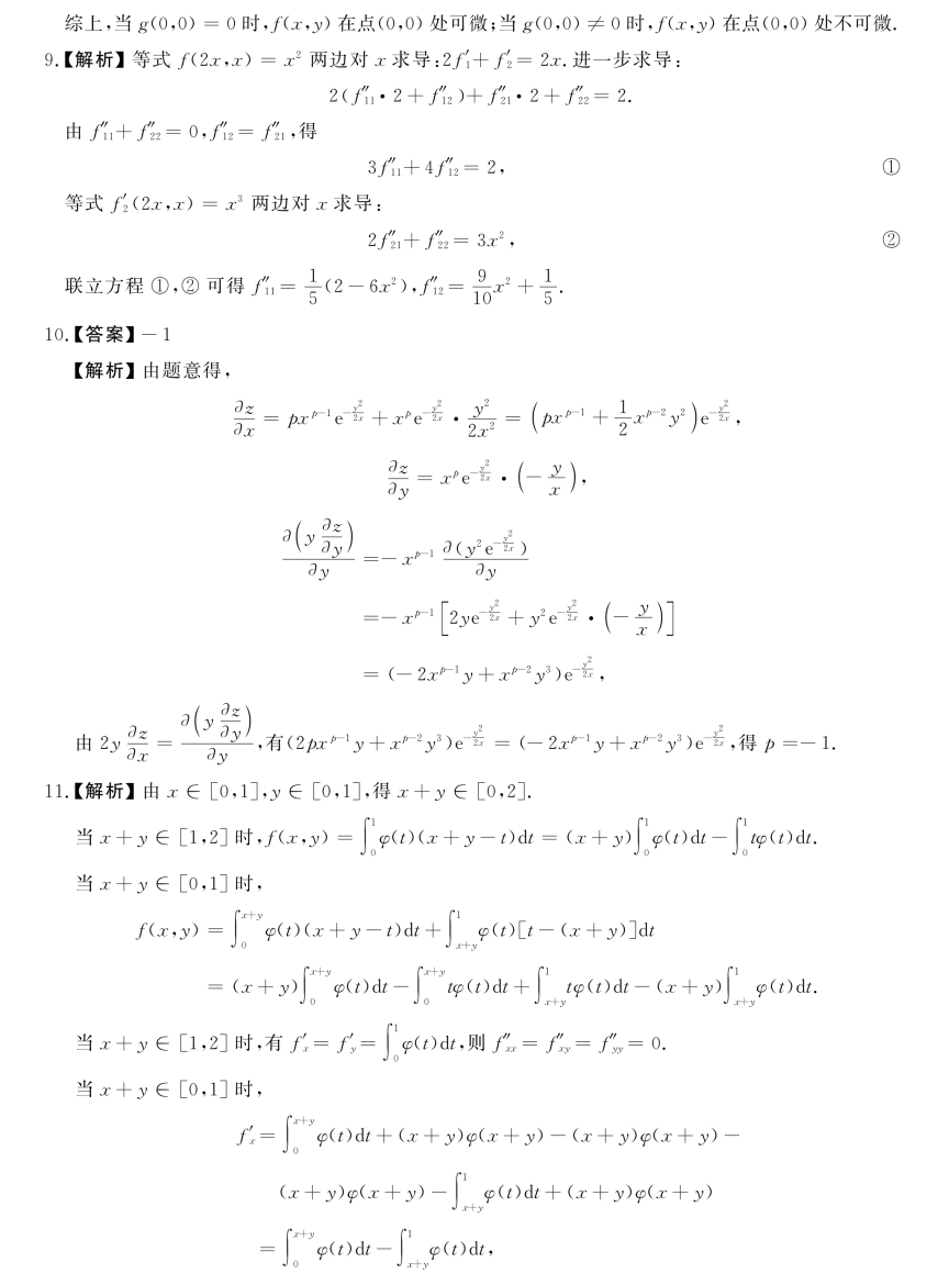
第八章 多元函数微分学
(https://www.daowen.com)
上一章
下一章
目录