【数据记录与处理】
2025年09月26日
【数据记录与处理】
(1)测量微小伸长量Δn(表1-6)。
表1-6 测量微小伸长量 (单位:cm)

续表

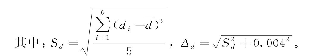
注 表1-6中Δ(Δn)是微小伸长量Δn 的平均偏差[即(0.01+0.01+0.00+0.03)/4],这里用平均偏差近似表示标准偏差或不确定度,是一种简化处理方法。
微小伸长量测量结果:Δn=(1.82±0.01)cm
(2)测量钢丝直径d(表1-7)。
表1-7 测量钢丝直径 (单位:mm)_


(3)单次测量L、d、b 值,估计不确定度,写出L、D、b 测量结果。
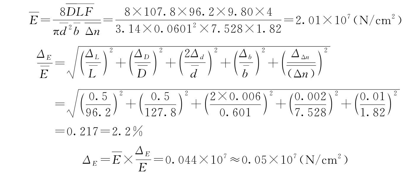
L=96.2±0.5(cm)
D=127.8±0.5(cm)
b=7.528±0.002(cm)
注意:实验中测量L、D 采用的是最小刻度为2mm 的米尺,按照“B类不确定度分量的估算”部分知识,其不确定度应该是“连续读数仪器Δ仪=最小分度值一半”,即应该取1mm=0.1cm,但是由于实际测量很难达到相应的测量精度,故这里取0.5cm。
(4)计算杨氏模量最佳估计值及相对不确定度。

