13.2.1 目标及要求
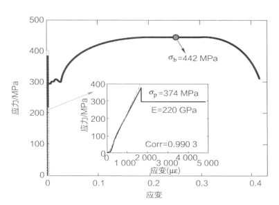
本部分数据处理针对低碳钢拉伸实验进行,其目标是利用试验机导出的数据文件绘制一个如图13-5所示的曲线图。仔细观察这个曲线图,可以发现3个主要特点:首先,曲线的标注明晰且丰富,除了标注必要的坐标信息外,材料的屈服、强度极限等均标注在合适的位置;其次,在曲线图的空白位置嵌入了一个局部放大图,更清楚地显示了弹性变形阶段和屈服初期试件的变形;最后,用拟合的方法计算出了材料的弹性模量,并标注在曲线上。
这样的图,信息量非常丰富,且合理利用了空间,显不出拥挤,因此是文章或报告中常用的图。要绘制这样的图,必须用带有数据处理功能的绘图软件。
下面介绍如何用MATLAB实现图13-5的绘制。

图13-5 最终的应力-应变曲线图