13.2.2 具体实现过程
2026年01月14日
13.2.2 具体实现过程
(1)读取数据
读取“应力应变数据.txt”文件中的应力、应变数据,将其赋值给变量stress和strain。
(2)绘制整体应力-应变曲线
绘制整体应力-应变曲线,标注x,y轴的名称、字体,结果如图13-6所示。
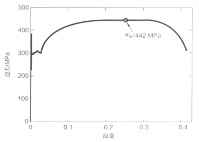
(3)计算强度极限并标记在曲线上
使用max函数找到应力最大值点的应力(强度极限)和对应的应变,将其绘制在曲线上。使用text函数和annotation函数标注数值。中间曲线如图13-7所示。下面对上述两个用于标注的命令做简单的介绍。

图13-6 绘制整体应力-应变曲线的结果

图13-7 在曲线上标注出强度极限后的结果图
(https://www.daowen.com)
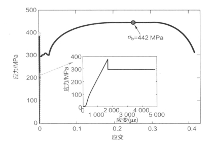
(4)选取应力-应变曲线的线性段数据并放大显示
建立一个新的坐标轴并设定其位置,选取应力-应变曲线的线性段数据,将其显示在新的坐标轴中,同时,还可以将该段的应力最大值(比例极限)和对应应变值找出并进行标注,如图13-8所示。
(5)拟合
拟合所得数据得到材料的弹性模量,将此数值标注在曲线旁。同时,还可以将拟合数据绘制在曲线中与原始数据对比。另外,可以计算线性段数据的线性相关系数,同样也可以标注在曲线旁,最终的曲线如图13-5所示。下面对用于拟合polyfit命令的用法做简单的介绍。

图13-8 添加放大显示后的曲线图

实现低碳钢拉伸实验数据处理及绘制的具体程序范例如下。


