14.1.1 引伸计及光学引伸计
2026年01月14日
14.1.1 引伸计及光学引伸计
引伸计(Extensometer)是测量试件两点间相对变形程度(应变)的标准测量工具(图14-1),其应用在上一章已介绍过。常规的引伸计使用方便,但有一定缺陷:对于某一型号的引伸计来说,其标距是固定的,过大或过小的试件不能测量;需要用两个卡口接触试件传递变形,因此不能测量软材料等试件;变形由应变片来测量,其量程有限,一般不能进行超大变形的测量。

图14-1 引伸计及其工作原理
光学引伸计(optical extensometer)如图14-2所示。用光学引伸计测量应变时,首先在试件表面制作两个标记点,之后使用数字相机实时采集标记点的数字图像(实时记录的图像序列构成一个视频,因此光学引伸计也称为视频引伸计)。实验结束后,用图像处理的方法精确定位各幅图像中两个标记点的坐标(xA,yA)和(xB,yB),根据不同时刻标记点的坐标可计算出应变。
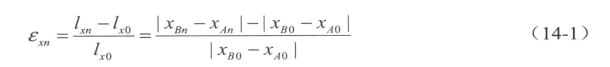
如图14-3所示,第n幅图像上两个标记点之间的应变为
(https://www.daowen.com)
图14-2 光学引伸计测量应变的示意图

其中,lx为第n幅图像上两点之间的距离;lx0为加载前两点之间的距离。

图14-3 使用标记点坐标计算应变的示意图
从上面的原理可知,光学引伸计是一种非接触测量手段,且测量时标距和量程不受限制,因此特别适合超常规尺度(如超大或超小试件)和软材料(如橡胶、塑料、薄膜和纤维等)试件的应变测量。