尺缩短,钟变慢

尺缩短,钟变慢

据说少年时代的爱因斯坦一直在考虑的一个问题是:跟着光线跑人们会看到什么景象?直到几十年之后,人们才认识到这个问题的涵义有多么深刻:当你以接近光速的高速作匀速直线运动时,世界的图景在你看来将是异乎寻常的。

这时,你去测量(注意,是“测量”而不是“看”)一把沿着你运动方向静止放置的尺的长度l2,会发现它竟比日常所见的长度l1(即你不做高速运动时所测量的长度)缩短了不少。两者的关系为:

img

式中的v是你做高速运动时的速度。你跑得越快,测量下来那把尺就越短。这时,圆和正方形测量下来将变成竖放着的椭圆和长方形。原来测量下来是1米长的木棍,这时测量下来也许不到0.6米了。

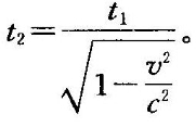
与此相仿,时钟也走得慢了。原先12小时走一圈的时针运动,现在用你的钟来计量竟要花12小时以上。因为按照相对论,一件事的发展过程(例如,时针走一圈)原来需要花费时间为t1,现在该事件发生所在的惯性系从原来的静止状态变成以速度v相对于你做匀速直线运动状态(运动是相对的,你在做高速运动时,原来静止的钟相对于你以相反方向做高速运动),此时,这件事的发展过程所需时间你测量下来就变为t2,两者间的关系为:

img

由于世界上没有比光速更快的速度了,因此,v总是小于c,从而1-img总是小于1的正数,这样,l2总是小于l1t2总是大于t1。换句话说,物体相对于你运动时总是在运动方向上发生长度缩短,时钟相对于你运动时总是变慢。惯性系相对于你运动的速度越快,放在里面一起运动的物体在运动方向上的长度你测量下来就越短,放在里面一起运动的时钟你测量下来就走得越慢。当它以接近光速的高速飞驰时,“山中方数日,世上几千年”之类的神话将变成现实。

尺缩短,钟变慢,这一切真的会发生吗?在我们日常生活中这种现象简直是天方夜谭,可是在高能物理中,由于高能粒子常常以接近光速的速度运动,诸如此类的相对论效应是屡见不鲜的。例如,用高能质子轰击某种靶时,会产生高能π介子。实验表明,π介子静止时,它的半衰期是1.77×10-8秒。而当高能π介子以0.99c的高速运动时,它的半衰期长达13× 10-8秒。这表明,高速运动着的高能π介子要比静止时的π介子“长寿”得多。