汤普金斯先生的奇遇
著名物理学家伽莫夫曾写过一本脍炙人口的科普作品,叫做《物理世界奇遇记》。书中的主人公汤普金斯先生由于厌烦好莱坞那些粗制滥造的影片,偶尔去听了一次介绍相对论的演讲。由于他缺乏科学素养,听着听着就打起瞌睡来了。在梦中汤普金斯发觉自己骑了一辆自行车,在一个“极限速度”很低的城市中游览。我们在前面已讲过,凡是惯性系的运动速度接近某个极限速度(例如光速)时,许多相对论效应就能显示出来。汤普金斯起先猜想,由于他的骑车速度已接近极限速度,因此自己马上就会缩得扁一些。然而,出乎他的意料之外,不管是他自己还是他的自行车,都没有发生任何变化。相反,他周围的景象完全变了:街道缩短了,商店的橱窗变得像一条条狭缝,而站在街角的那个警察竟变成他有生以来第一次见到的细高个了。
看来这位汤普金斯先生对相对论只有一知半解。我们说过,在相对论中,一切都是相对的,关键是看你以哪个惯性系为参考系。虽然汤普金斯骑在自行车上以接近极限速度的速度运动,但他仍习惯地以他自己和他所骑的自行车为参考系。这时,相对于这个参考系来说,他和自行车都是不动的,而街道、商店,以及那个警察,却以接近极限速度的速度向他迎面扑来。所以,在汤普金斯看来,他自己和他的自行车不会发生变化,而他周围的景象,都在相对于他运动的方向上缩短了长度。

在汤普金斯看来,街上的景象都缩扁了。
相反,对于那个站在街角上的警察来说,由于他认为他自己是不动的,而汤普金斯倒是以接近极限速度的速度运动着,因此在他看来,不是他自己,而是汤普金斯变成了细高个,那辆自行车也像被撞击过那样变成畸形了。真是“我看你不顺眼,你看我也不顺眼”。

在街上的人看来,汤普金斯被缩扁了。
汤普金斯总算有点领悟,他感到有趣极了:“我现在看出点诀窍来了。这正是用得上‘相对性’这个词的地方。每一个相对于我运动的物体,在我看来都缩扁了。”
相对论中的质量和能量
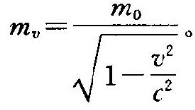
在相对论中,不但空间和时间具有相对性,而且作为这种相对性的必然结果,物体的质量也是相对的。换句话说,物体的质量同它的运动速度有关(从而也就同选为参考系的惯性系有关)。设物体静止时的质量为m0,则它以速度v运动时的质量mv为:

从这个式子可见,物体的运动速度越大,它的质量也就越大。当我们讲到高能微观粒子(它们能以接近光速的速度运动)的质量时,一般是指它们的静止质量,因为这才是它们的基本特征。
在相对论中,物体的质量m同它的能量E按下列质能关系式联系着:

当一个物体的质量发生改变时,它的能量就按这个关系式发生变化。反之亦然。这是相对论的一个重要结论。在这个结论下,经典物理学中的质量守恒定律和能量守恒定律,在相对论中将代之以质量能量守恒定律。
同样,由于时间也是相对的,因此如果汤普金斯和那个警察都带着手表的话,那么,在汤普金斯看来,警察的表走得比他的慢,而在警察看来,汤普金斯的表走得比自己的慢。你看,这是一个多么奇妙的相对论世界!
在高速运动时,尺会缩短,钟会走慢。可是,我们平时为什么观察不到这些“相对论效应”呢?实际上这些效应是存在的,只是这些效应很细微,我们观察不到而已。例如,人造卫星以每秒8.1千米的速度绕地球转,这时,在地球上的人看来,卫星上沿着运动方向放置的一把1米长的尺因为卫星的运动而缩短了万分之一。也就是说,1米长的尺只缩短了一根头发丝的直径还不到的这么一丁点儿,这当然是难以察觉的。