圈闭的现代概念及可预测标志
油、气、水都是流体,在由分散状态到聚集成油气藏渗流过程中,必然要遵循流体力学的基本原理,即流体整个系统处于静止状态时,分散状态的油气在其势达到最低值以前,在油气力场的支配下,从油气高势区向低势区运动。只有当油气到达被油气高势区、或与非渗透性屏蔽联合封闭的油气低势区时,才能达到稳定状态。储集层中被油气高势区或与非渗透性遮挡(屏蔽)联合封闭的油气低势区,就是油气圈闭。为了较深刻理解它,首先对流体势概念作明确的理解。
储集层任一测点的流体势(φ),按Hubbert(1940)定义的简化形式,可以用下面公式表示:
![]()
式中:φ为势;g为重力加速度;z为测点高程;p为压力;p为流体密度。
对于水、油、气势可以分别用下列各式表示:

在工程上常用单位重量的势。用单位质量流体具有的重量g除之,即可得:

式中:hw、ho、hg为单位重量的水、油、气势,也称为水头、油头、气头。
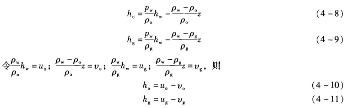
h表示总压头;h-z表示压头。势、总压头、压头和压力的相互关系如图4-1所示。将式(4-5)移项简化代入式(4-6)和式(4-7),可得:
(https://www.daowen.com)
在特定的油气藏内,
均可以视为常数。可见,ho、hg仅与hw和z有关。
在静水条件下,hw为定值,u为一常数,ho、hg仅与z成反比,构造隆起部位为油气低势区,构造低部位为油气高势区。油气势等势面呈水平状态,油气势等势线与构造等高线相平行。因此,储集层顶面背斜高部位闭合区,或储集层顶面构造等高线与储集层上倾方向非渗透性遮挡(断层面、不整合面、非渗透性岩层或岩体)联合封闭的高部位闭合区,就是闭合的油气低势区。
在动水条件下,hw顺储集层下倾方向降低,为一变量。油气等势面顺水流方向发生倾斜或弯曲,ho、hg等值线与构造等高线不平行,构造等高线高部位的闭合区,与低ho、hg闭合区不一致。因此,在动水条件下油气圈闭的位置不能由储集层顶面构造等高线或和上倾方向非渗透性遮挡联合封闭的高部位闭合区加以确定,而是要由uo-vo和ug-vg确定的闭合低ho、hg区。在动水条件下,可以使静水条件下曾存在的圈闭位置发生变化(一般向顺水流方向发生位移),甚至完全消失;也可能使静水条件下并不存在圈闭的部位形成新的圈闭。图4-2就是这种情况。该图等vo线是一未闭合的等值线,代表鼻状构造,等uo线是由西北向东南降落的均斜线,表明hw递降方向,uo-vo构成ho,出现低ho闭合区,说明静水时不存在圈闭的部位,在动水作用下形成新的圈闭。

图4-1 势、总压头、压头和压力关系图

图4-2 水动力形成的圈闭图示(据Hubbert,1953)
根据前述分析,油气圈闭的可测性标志,可归纳如下:
1)四周被非渗透性遮挡包围的孔隙、渗透性岩体,圈闭位置由渗透性变为非渗透性的边界来确定。
2)在静水条件下,除上述外,其他各类圈闭的位置为溢出点等高线或与非渗透性遮挡线联合封闭的闭合区。
3)在动水条件下,由ho、hg等值线构成的闭合低值区,即油、气圈闭。若该处在静水条件下不存在圈闭,则称水动力圈闭;若静水条件下在该处存在圈闭,但现圈闭和原圈闭位置有所位移,则为复合圈闭(水动力型复合圈闭)。