计算水流平均速度
一般来说,深层的水流比较慢,河流的整体水流速度约为河流表面水流速度的
,所以在刚才的这条河流中,整体的水流速度是0.4米/秒。
在测量河流表面的水流速度时,也可以采取下面的方法。不过,跟上面的方法相比,它的精确性要差一些。
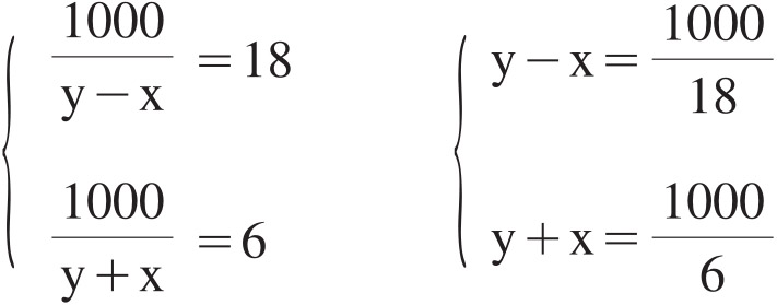
坐在一条小船上,沿着逆流的方向划,大约在1000米的地方掉头,然后沿着顺流的方向划回去。在两个方向上,尽量用同样的力量来划船。
假设逆流划船的时候用的时间是18分钟,而顺流的时候是6分钟,那么就可以用下面的方程来计算出水流的速度。这里,x表示水流的速度,y表示水流不动时划船的速度。

x≈55(米)
也就是说,水流每分钟的速度约为55米,相当于每秒钟0.9米。