核苷酸的化学组成
核苷酸是核酸的最基本的结构单位。采用不同的降解法(酶法,部分酸或碱水解法)可以将核酸降解成核苷酸,核苷酸还可以进一步分解成核苷和磷酸,核苷再进一步分解生成碱基和戊糖。碱基分为2大类:嘌呤碱与嘧啶碱。

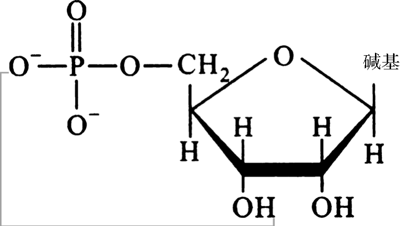
核苷酸的基本结构
碱基(嘌呤碱或嘧啶碱)、戊糖(核糖或脱氧核糖)和磷酸是核苷酸的基本组成成分,相当于“元件”;碱基与戊糖组成核苷。核苷再与磷酸组成核苷酸,并由许多核苷酸按特定的顺序连接成为核酸,所以核酸是一种多聚核苷酸。两类核酸(DNA和RNA)的组成成分中有相同的,也有不同的。现将两类核酸的基本化学组成列于下表中。

核苷酸的化学组成
DNA和RNA中的各种核苷
