药物高分子
药物高分子
人吃五谷杂粮,总难免会得病,生了病就要吃药,服药的方法往往是一天要吃多次药,有时还要吃好几天才能使疾病痊愈。能不能做到吃一次药管几天,甚至持续很长一段时间,这恐怕是一种最理想的服药治病方法。现在,这个理想已经逐步被高分子化学家所实现,这就是高分子药物。
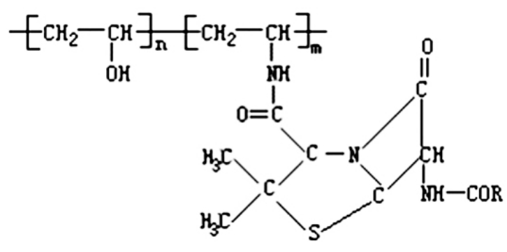
高分子药物中的一类重要品种是将高分子作为现有药物的载体。例如可承载带青霉素的高分子药物的结构式为:

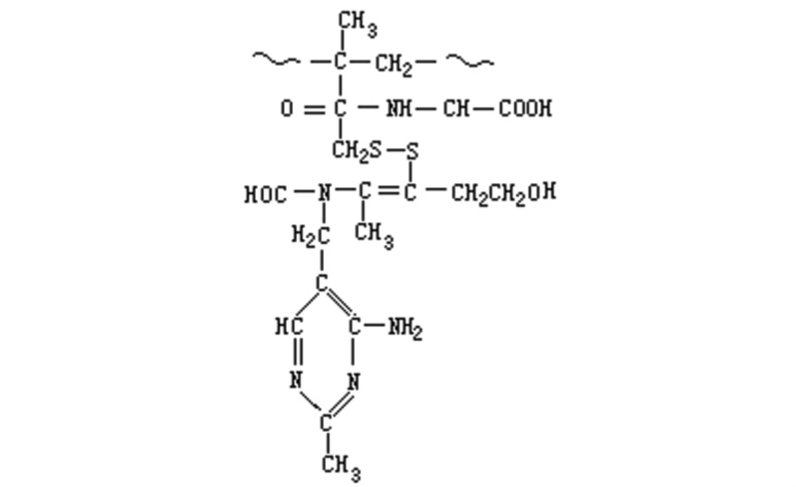
又如可承载带维生素B1的高分子药物的结构式为:
(https://www.daowen.com)
这两种药物具有贮藏效应,而且不容易排泄到体外,但它们的结构上载带的青霉素和维生素B1又都是可溶于水的。这样,就可以延长高分子药物在人体内作用的时间,让青霉素和维生素B1在人体内慢慢地释放出来,有选择地将药物送到要治疗的细胞部位,使药物发挥更高的效力,病人就不需要多次服药,而是吃一次药能管好多天。由于高分子药物都与人体组织具有一定的相容性、无毒,在制造抗癌药、辐照防护药品上很有发展前途。
高分子药物的另一类是具有药理活性的高分子。例如天然肝素具有优异的抗凝血性质,经过研究发现,它是由于天然肝素中含有高浓度的-
,-
,-COO-基团。因此,可以模拟天然肝素的结构,使高分子载带上述基团,合成了下列高分子药物:

这种高分子药物便具有较好的抗凝血性。
近年来,用高分子化合物作为成膜材料,将药物作为囊心,包裹成1~1000微米大小的微胶囊,胶囊的膜具有半渗透性质。药物可借压力、pH值变化、酶的作用、温度改变等方法释放出来。这种微胶囊药物能延缓药物释放的时间,也可以使药物达到长效,即吃一次药管好多天的效果。有些微胶囊药物还显示了特殊的治疗作用,例如肿瘤患者的机体肿瘤生长部位的周围存在一定数量的门冬酰胺,如果将装有门冬酰胺酶的微胶囊注入体内,当肿瘤周围的门冬酰胺渗入胶囊内,并不断地被门冬酰胺酶分解时,肿瘤细胞就失去了门冬酰胺这种必需的养分,肿瘤的生长就会被抑制。