分子运动论与布朗运动
第五节 分子运动论与布朗运动
一、分子运动论
认为物质是由不停运动着的分子所组成,并以分子运动的集体行为来说明物质的有关物理性质,特别是热力学特性。人类很早就开始抽象地思考物质的构成。从米利都学派创始人泰勒斯提出水是万物的本源,到赫拉克利特的水、气、土、火四元素学说,以及中国战国时期邹衍的五行学说,都是早期关于物质构成的推测。德谟克利特或留基伯其他物质是由不可再分割的粒子组成。他们把这种粒子称为“原子”,并认为不同物质由不同的“原子”构成。1658年伽桑迪考察了原子观点的论断,进而假设物质内的原子可以在空间各方向上不停地运动,据此他解释了一些物理现象,例如说明物质的液体、固体、气体三种状态的转变。
1738年伯努利发展了伽桑迪和胡克的观点,设想气体的压力是气体分子与器壁碰撞的结果,从理论上导出了玻意耳定律。1744年罗蒙诺索夫提出热是分子运动的表现,把机械运动守恒定律推广到分子运动的热现象中去。
19世纪,分子运动论得到迅速的发展。1857年克劳修斯把分子看成是无限小的质点,首先计算出气体的压力、温度和体积间的关系。1858年,克劳修斯引入了自由程的概念,即气体分子相继两次碰撞间所经的路程。1859年,麦克斯韦用平均自由程和他提出的气体分子速度分布的概念得到了气体输运系数(扩散、粘滞、热传导)的公式。同年,他找到了平衡态的分布函数,认为各个分子运动的速度并不相同,得出速度分布定律,用现在的形式可写成
![]()
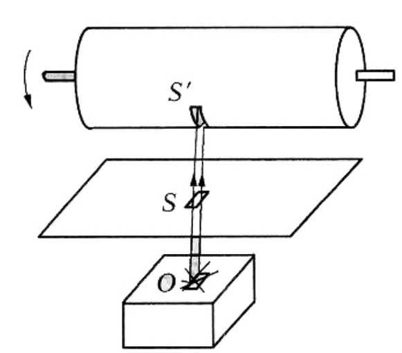
式中n1是体元dw1=dxdydzdvxdvydvz中分子的数目,n是单位体积中的分子数。但是当时麦克斯韦推证此式的方法是不够完善的。1868年玻耳兹曼给出了更严格的证明。速度分布定律的实验证实是较晚的事。斯特恩、霍耳等人都从事过这方面的工作。霍耳改进了斯特恩的实验装置(如下图)。加热炉。泄出的分子蒸气,经过细缝S后形成分子束。在上面设一带有细缝S'的转筒。由于分子束中的各分子速度不同,故进入细缝S'后,淀积在转筒壁上位置也不同。由此可以检验麦克斯韦速度分布律。I·F·扎特曼和C·C·科、V·W·科恩和A·埃利特等人利用此类装置,得到令人信服的实验结果。

麦克斯韦还首先用平均自由程的概念,在实验上测量气体内摩擦,得出了平均自由程的量值。1866年,他在分子间以r-4的相互作用势的麦克斯韦气体模型下,提出了气体输运过程的数学理论,导出了气体的输运系数。玻耳兹曼还最早把概率概念引进分子运动论,给出熵S的统计意义S2-S1=k(lnW2-lnW1),W是对应一个宏观态的微观态数目,上式被称为玻耳兹曼关系。(https://www.daowen.com)
布朗运动的研究在分子运动论建立过程中起过重要的作用。1827年植物学者布朗观察到悬浮在水中的花粉和其他微粒的无规则运动。1877年德耳索才指出,微粒的运动是由于受到液体分子碰撞不平衡而引起的。1908年佩兰把藤黄微粒悬浮在水中,观测的结果证实了爱因斯坦、斯莫卢霍夫斯基于1905年和1906年所发表的理论以及稍后的朗之万的理论。布朗运动的研究结果表明,物质的分子始终是处于无规则的热运动中,而且存在着涨落现象。这对当时确立分子运动论是有力的支持。
分子运动论的研究方法还是以经典力学为基础,因此在考虑分子间的碰撞时,需要给出分子的模型、碰撞的机制;而在遇到大量分子相互作用的情况下,又不可避免地引进概率理论。1902年吉布斯在他的《统计力学原理》一书中,创立了统计系综的方法。它可以避免分子运动论方法中的缺欠,而且在理论上也更为严谨。所以分子运动论是吉布斯统计力学出现之前关于物质运动的微观理论。
二、布朗运动与分形
1908年法国物理学家佩兰记录了藤黄微粒悬浮在水中的布朗运动,在显微镜观察下每隔30秒所记录下来的几个布朗粒子的位置,应当注意这些点与点间的联线不是微粒的轨迹,微粒的真正轨迹是一条曲曲弯弯的曲线。如果我们将观察的时间间隔缩小,譬如每隔5秒记录一个位置,则更细微的曲折就显露出来了,得到的曲线并不比原来更平滑,而是与原来类似的曲曲弯弯的曲线,我们说布朗粒子的轨迹具有标度变换(就是放大或缩小)下的自相似性。更通俗的例子是某个国家的海岸线,取不同的比例尺,海岸线的长度不同,但总是弯弯曲曲的,也具有标度变换下的自相似性。对于自相似性我们可以理解为:如果用放大镜来观察物体,不管放大倍数多少,观察到的结果都是相同的。

20世纪70年代曼特布罗特首先引入“分形”的概念,“分形”的基本特征是自相似性。数学模型中的科希曲线(图a)、谢尔宾斯基地毯(图b)等具有严格的自相似性,这类分形称为有规分形;而自然界或物理学中的许多分形具有近似的或统计意义上的自相似性,如雪花、海岸线、布朗运动等,称为无规分形。由于分形具有白相似性,它有可能成为无序到有序的桥梁。目前分形理论已引起科学家的广泛兴趣,人们把它运用到许多实际问题上,图c和图d是计算机模拟的分形图。
著名理论物理学家惠勒说过,在过去,一个人如果不懂得“熵”是怎么回事,就不能说是科学上有教养的人;在将来,一个人如果不能同样熟悉分形,他就不能被认为是科学上的文化人。