Text B “Boredom Is Inevitable”:How We Survived Our...

Text B “Boredom Is Inevitable”:How We Survived Our Postgrad Dissertations

Finishing a master's means living in the library while others enjoy the sun.Here,recent postgrads share their anecdotes and advice.

What's the best way to organise your notes?How should you frame an argument?Is it normal to start hating your subject?We asked Guardian readers what lessons they learned from writing their postgrad dissertations—here are the results:

Start early,so you can still enjoy the summer.

Darren Mason says:

I should have started earlier,story of my university life!Although it's finally finished,I do wish I'd started my dissertation earlier and been able to enjoy the summer a bit,rather than spending every day either at work or the library.If only I could turn back time…

Do the opposite of what I've done.

Tmss921 says:

With less than a month to go,this dissertation is still in its infancy.My only saving grace has been SCONUL(Society of College,National and University Libraries)giving me access to my hometown university's library,and with it,the ability to actually get some work done.

Presumably like everyone else,I feel as though all the ideas are mapped out in my head but actually writing the damn thing is a whole different story.

It has taken me 19 years of education to realise that I work better in the morning;as soon as it hits 1pm,my mind goes blank.With the added pressure of trying to find a job worthy of the time,effort and money that has been put into this MA,everything seems pretty terrible at the moment.

My tip:Do the exact opposite of everything I have done thus far.I need to be more productive with my free time rather than making the excuse that I have too much work to do.

The brain needs a rest,after all.

Sunsoo says:

I was so focused on being original and creative that I didn't focus on the simple things:format,method and theory.Don't try to reinvent the wheel,keep it simple and classic.I am now a university lecturer and I find the best dissertations are the ones that focus on one topic,one argument,one question.

Give yourself time out.

Christina W says:

As all-consuming as a dissertation feels,you have to give yourself time off.I had a family wedding last weekend,with my deadline on 1 September,and while it felt like I was never going to get finished,taking that one day off was the best thing I could've done.

Also,using a programme like EndNote or Zotero is a lifesaver,it's so much easier to have all your notes and references in one place.

That said,the last week was the most stressful time I've had,but when I handed it in on Thursday morning,it was the best feeling and the most accomplished I've ever felt.A whole summer of work and staring out of the window wishing it wasn't hot and sunny was worth it for that.

Decorate your workspace.

About 20% of this junk is related to my thesis,the rest is procrasti decoration,says Euclidean Sabotage Photograph:Euclidean Sabotage

Allow yourself to dislike what you are doing.

Humanum Genus says:

I'm about three weeks from handing in my dissertation on early English drama.I have to say it has been a much harder slog than I expected.It is certainly a massive jump from undergraduate work.

I have found the work over the summer especially challenging.Keeping myself motivated has been the real trial.This is especially true now that the actual writing is finished and I am trying to edit and proofread the work.

To anybody starting their master's this year,I would say that the most important piece of advice is to allow yourself to dislike what you are doing at times.A year is a long time to be so entirely focused on one subject and so some frustration and a tiny bit of boredom is inevitable.Academia is presented as a career of passion,but we are all human.

Question yourself.

Olivia Havercroft says:

Writing a dissertation takes a lot of introspection.Mine started to become a list of facts with no explanatory detail because I was so immersed in it.I assumed the reader knew as much as I did.Make a point,give your evidence,explain.Be clear and constantly refer back to why your work is relevant.That's the best advice I can give.

Have time to focus before your deadline.

Sarahlouq says:

I had to submit mine in July for my psychology conversion course.As I am working as well as studying,it meant I had to fit it in around work,so I spent the final weekend before submission writing it on a plane to New York.

I completed it in the hotel but it was a rush and my referencing looked terrible and I lost marks.If you are studying and working,take leave if you can in the weeks coming up to submission.

Have on days and off days.

Hawk22 says:

I am 10,500 words into a 16,000-word text,which I'm quite chuffed about(but I am including the bibliography in that figure,which doesn't count).

I haven't had any disastrous episodes but my morale has certainly fluctuated.My advice,however,would be to have on days and off days—keep work and play separate.If you want to have a long day of work,go to the library.If you want to watch TV or go out with friends,definitely do so,because a bit of recreation will clear your head.

The important thing is to do one thing or the other;if you don't,you may have many long days of sporadic concentration and mindless procrastination.

(960 words)

Notes

1.This essay was published by the Guardian on 9 September,2016,based on the Guardian readers'response to some questions concerning their experiences in writing their postgrad dissertations.

2.Guardian is a British daily newspaper,known from 1821 until 1959 as the Manchester Guardian.The Guardian is edited by Katharine Viner.The Guardian has been named Newspaper of the Year four times at the annual British Press Awards,the most recent in 2014 for reporting on government surveillance.

3.SCONUL(Society of College,National and University Libraries)is the membership organization for all academic and national libraries in the UK and Ireland.

4.EndNote is a commercial reference management software package,used to manage bibliographies and references when writing essays and articles.It is produced by Clarivate Analytics(previously Thomson Reuters).

5.Zotero is a free and open-source reference management software to manage bibliographic data and related research materials(such as PDF files).Notable features include web browser integration,online syncing,generation of in-text citations,footnotes and bibliographies,as well as integration with the word processors Microsoft Word,LibreOffice,OpenOffice.org,Writer and NeoOffice.It is produced by the Center for History and New Media at George Mason University(GMU).

科技英语翻译

由科技著作、论文、报告、手册、方案及各种科技类的情报、资料等构成的科技文体,在词汇、语法、修辞等层面都呈现出一些自身的特点,在翻译中我们需要对这些特点或者说文体特征加以注意,并灵活采取相应的翻译策略。

词汇层面

在词汇方面,科技英语最突出的特点就是大量使用专门词汇,而新的科技术语还在不断出现。比起其他词汇,专业术语的词义比较固定,译者要尽可能地熟悉较为常用的那些术语,对不熟悉、没把握的术语,务必通过查阅字典或相关资料,避免犯想当然的错误。

The preparation process consists of pretreatment,acid hydrolysis,neutralization,decoloration and concentration.

其制备工艺包括原料的预处理、酸水解、中和、脱色和浓缩。

The improvement in properties of modern synthetic fiber over the traditional clothing materials(e.g.cotton and wool)has been remarkable.Thus shirts,dresses and suits made from polyesters like Terylene and polyamides like Nylon are crease-resistant,machine-washable,and drip-dry or non-iron.They are also cheaper than natural materials.

比起棉毛这类传统的衣服面料,现代合成纤维的各种属性有着显著的改善。用聚酯如涤纶或聚酰胺如尼龙所制作的T恤、上衣、衬衫,抗皱、可机洗,晒干自挺或免烫,也比天然面料便宜。

此外,日常语汇在不同的专业领域往往可能获得特定的专业意义。以power一词为例,它作为日常词汇可以表示“权力、力量、能力、体力、强国”等,在数学里表示“幂、乘方”,在机电方面指“动力、功率、电力、能量、电源”等,在光学上指“(光学仪器、放大镜的)放大倍数,(电子透镜的)光强等”。我们要注意根据具体的使用场合和搭配,来确定其正确的词义。

memory power存储能力  polymerizing power聚合能力  reducing power还原能力

reflecting power反射能力  solvent power溶解力  staying power持久力

tinting power(颜色的)渗透力/授色力  penetrating power穿透力

normal rated-power额定功率  virtual power潜在功率  wasted power耗散功率

power-output输出功率  fourth power of……的四次幂  odd power奇数幂

optical resolving power光学分辨率  sun-generated electric power太阳能电源

switch mode power开关式电源  molecular rotator power分子旋光度

a telescope of high power高倍望远镜  calorific power卡值

storage power储存能力/蓄电池容量

又如base一词,在下列两例中,均不能混同于其日常用法。

Plastics was at first based on coal and wood.

最初塑料是从煤和木材中提取的。

Iron and brass are base metals.

铁和黄铜为非贵重金属。

语法层面

1.名词化结构

大量使用名词化结构是科技英语的特点之一,用抽象名词来表示动作或状态,避免过多使用复合句,通过简洁的文风传递客观准确的信息。这些名词化结构中有不少由从动词派生而来的名词加上of结构,翻译的时候可以根据需要将其中的名词转换为动词或形容词等其他词类。

Simon's book provides a succinct outline of artificial intelligence and its application to robotics.

西蒙的书简明扼要地概括了人工智能及其在机器人技术方面的应用。

The operation of a machine needs some knowledge of its performance.

操作机器需要对机器的性能有所了解。

The wide application of electronic machines in scientific work,in designing and in economic calculations will free man from the labor of complicated computations.

在科学研究、设计和经济计算等方面广泛地应用电子计算机,可以使人们从繁重的计算劳动中解放出来。

The spinning of the Earth around its own axis causes day and night.

地球绕轴自转,就形成白天和黑夜。

2.被动语态

科技英语使用被动语态的情况比较多,这样可以避免以人为主语,更好地突出信息的客观性。汉语中被动语态用得不多,因此除了有时候被动语态仍然译作被动语态之外,我们还经常需要把科技英语的被动语态在翻译时转换成主动语态,或者考虑译为汉语的无主句。

Fructose,found naturally in honey and fruit,is used widely in foods ranging from soft drinks to yogurt.

天然存在于蜂蜜和水果中的果糖,被广泛应用于从饮料到酸奶的各种食品中。

Very significant advances in lasers have been made in the past several years that open the door to more rapid progress in optical communications systems.

在过去的几年中,激光器件发展迅速,从而为通讯系统的快速进步打开了通路。

Best surface finish is provided by machining methods,especially by grinding.

用机械加工方法,特别是磨削方法,可以获得最佳表面光洁度。

3.非限定动词

科技英语中非限定动词使用很普遍,非限定动词包括动词不定式、分词和动名词,不能单独充当谓语,不能被主语限定。使用非限定动词往往可使行文简洁,结构紧凑。翻译中需要弄清楚这些非限定动词在句子中的功能,然后才能做到正确的翻译。

Being a precise quantitative theory,it doesn't use phrases such as those just given,but calculates for any question under study the numerical probability that it is true.

作为一种精确的定量理论,这一理论并不使用方才所举的那类用语,而是计算所研究问题为真的数值概率。

Confronted by the many problems presented by,let us say,an active volcano,we may ask,how does the volcano work and how is the heat generated?

比如说,在面对一座活火山带来的诸多问题时,我们可能会问火山是如何喷发的,热量又是如何产生的。

Numerical control machines are most useful when quantities of products to be produced are low or medium;the tape containing the information required to produce the parts can be stored,reused or modified when required.

数控机在少量或中量的生产中十分有用,录有生产零件所需资料的磁带可以存放起来,需要时还可重新使用或进行修改。

4.长句

科技英语描述的往往是较为复杂的自然现象和科学技术,因此经常需要用长句来容纳大容量信息和复杂的概念,这些句子结构主次分明,逻辑严密,有利于进行严谨精确的表述,汉译时首先要切实理清句中的逻辑关联,然后用顺译、倒译、重组等方法进行处理,译出的汉语句子往往相对短小。顺译法:

No such limitation is placed on an alternating-current machine;the only requirement is relative motion,and since a stationary armature and a rotating system have numerous advantages,this arrangement is standard practice for all synchronous machines rated above a few kilovolt-amperes.

交流机不受这种限制,唯一的要求是相对移动,而且由于固定电枢和旋转磁场有很多优点,这种安排是所有容量超过几千伏安的同步机的标准做法。

At intervals along the main span,cast-steel cable-bands are attached to the cables,gripping them firmly and excluding moisture from them,and from these bands suspenders of wire-rope or chains hang down.

沿主跨每隔一段距离,在钢缆上安装铸钢卡箍。卡箍要卡紧,避免水分进入。从这些卡箍向下悬挂吊索或链条。逆序法:

Instead of paying someone to manually enter realm of data into the computer,you can use a scanner to automatically convert the same information to digital files using OCR(Optical Character Recognition)software.

你只要在使用扫描仪的过程中借助于光学字符识别软件就可以将信息转换为数字文件的形式,从而代替人们手工将大量数据输入到计算机中去的过程。

Aluminum was unknown until the 19th century,because nowhere in nature is it found free,owing to its constantly being mixed with other elements,most normally with oxygen,for which it has a strong affinity.

铝总是和其他元素结合在一起,尤其是铝对氧有很强的亲和力而最常和氧结合,所以在自然界任何地方都找不到处于游离状态的铝,因此直到19世纪人们才知道铝的存在。重组法:

Additional allowances,however,have to be made for losses due to the presence of sharp bends or elbows in the pipe,provided they are such as to impede the normal flow to any appreciable extent.

然而,如果管道的折管或弯头明显造成液流不畅,则要考虑到额外的损失。

Once combustion starts,it should be carried through the mixture very rapidly,and this is assisted by making the clearance space above the piston as small as possible,and by careful design of the cylinder head.Rapid propagation of the flame through the compressed gas is also assisted by creating turbulence in the gas.

燃烧一旦开始,就应当迅速地使全部混合气燃烧起来。要做到这一点,应当使活塞上方的间隙尽可能小,并要精心地设计气缸盖;使压缩气体产生涡流,也有助于火焰在其中迅速蔓延。

科技英语英译汉中这些句法方面的考量,反过来也可以帮助我们将科技英语汉译英的译文处理得更加逻辑严密,文字畅达。

炉壁采用耐火砖可大大降低热耗。

The heat loss can be considerably reduced by the use of firebricks,round the walls of the boiler.

直流电是一种总是沿着同一方向流动的电流。

A direct current is a current flowing always in the same direction.

活塞与气缸的配合间隙,对于发动机的使用寿命影响很大,影响配合间隙的主要原因是活塞在工作状态下的变形。真实反映活塞变形情况,国内已广泛采用有限元法进行数值分析。

Since the joint gap between a piston and a cylinder has great influence on the service life of an engine,and the primary factor in influencing the joint gap is the deformation of piston under working condition.It is important to show up the actual deformation of piston and for this purpose the finite element has been widely applied to analyze it numerically in China.

Translation Exercises

A.Translate the following sentences into Chinese.

1.The fourth power of three is eighty-one.

2.The slightly porous nature of the surface of the oxide film allows it to be colored with either organic or inorganic dyes.

3.Another important application of IoT technologies is the monitoring of the energy consumption and the salubrity of the environment in public buildings(schools,administration offices,and museums).

4.Attention must be paid to the working temperature of the machine.

5.At one time it was thought that all atoms of the same element were exactly alike.

6.Bluetooth is a universal radio interface in the 2.45 GHz frequency band that enables portable electronic devices to connect and communicate wirelessly via short-range,ad hoc networks.

7.In the Weddell Sea Antarctica,the densest water in the oceans is formed as a result of this freezing process,which increases the salinity of cold water.

8.By enabling easy access to and interaction with a wide variety of devices such as home appliances,surveillance cameras,monitoring sensors,actuators,displays,vehicles and so on,the IoT will foster the development of a number of applications that make use of the potentially enormous amount and variety of data generated by such objects to provide new services to citizens,companies,and public administrations.

B.Translate the following sentences from Text A into Chinese.

1.Last year Universities UK's mental wellbeing working group discovered that campus counselling services are seeing an annual increase in demand of about 10%,with mental health professionals identifying anxiety and stress as the cause.

2.The upside of all this research is that there is a more open conversation on campuses about mental health,and postgraduates are being encouraged to seek support if it's needed.

3.Academics can help by managing students'expectations about what they should have achieved at different stages of the course.

4.They may have lost the busy social life they had as undergrads,and often find themselves doing paid work alongside their studies which cuts down on free time.

5.It is almost inevitable that during the year there will be periods that will be stressful,but provided it is acknowledged and managed,it can help with personal growth.

Writing Research Papers

A research paper is a form of academic writing.It is usually a discussion or argument based on a thesis supported by a systematic investigation into and study of a collection of materials and sources.

To write a good research paper,you should first select a good topic.A good topic shouldn't be too general.One research paper should deal with one specific problem and develop one strong thesis.For a student who is to write a term paper,an MA thesis or a dissertation,two things are especially important:on the one hand,the topic should be manageable;on the other hand,there should be ample resources.

Collect information.Needless to say,the primary experimental data are of great importance for an engineering paper,but there should also be other sources.Published books,journal articles and dissertations will usually constitute the bulk,if not the whole,of the references.Be careful in using Internet resources to support your thesis.Make sure only reliable sources should get included in the references.

After analyzing your data and other materials,and thereby forming a thesis and the main supporting ideas,work out a title and make an outline.The title should be brief and describe the main point of the experiment or investigation,for example,“Electrochemical behaviours of magnesium alloy with phosphate conversion coating in NaCl solutions”,“Effect of ZnO Electrodeposited on Carbon Film and Decorated with Metal Nanoparticles for Solar Hydrogen Production”,“Failure Behaviors and Mechanisms of High-Ohmic Resistors Protected by PF/EP Paint in Heat and Humid Environment”,etc.The outline provides an initial form for the structure of the paper,which may be improved upon later.

A well-structured science paper often contains sections with headings:abstract,introduction/purpose,materials and methods,results,discussion/analysis,conclusions,figures and graphs,and references.All the headings and subheadings should be arranged in the most logical order.

The introduction explains the purpose of the investigation or study.It includes the necessary background information,briefly summarizes how the experiment was performed,states the findings of the experiment,and lists the conclusions of the investigation.The significance of the present study is usually stated in contrast with previous research.

The Materials section lists everything used to complete the experiment or investigation.The Methods section describes the steps taken in the investigation.It should be truthfully detailed so that other people can duplicate your experiment.These two sections sometimes are combined to form one section(Materials and Methods).

The Results section describes in words what the data collected from the experiment means.The Discussion or Analysis section interprets the data.Again these two sections may be combined into one(Results and Discussion).

The Conclusions section sums up what happened in the experiment,whether a hypothesis should be accepted or rejected,and what this means.

Be sure to refer to all the figures and graphs appearing in your paper.The first figure is Figure 1;the second figure is Figure 2,etc.

In the References section,include all the publications and other sources you use or cite in the paper.The formats required by different journals may vary a little,but usually a reference item may be roughly something like

[2]Morrisey,K.Using secondary data to examine eco-nomic trends in a subset of sectors in the English marine economy:2003-2011[J].Marine Policy,2014,50(3):135-141.or

[6]Xue,Chong-hua,Yin Hai-long and Xie Ming.Development of integrated catchment and water quality model forurban rivers[J].Journal of Hydrodynamics,2015,27(4):593-603.

In some cases there is no requirement for the first name and the family name to appear in a reversed order.

A research paper should be more straightforward,concise and formal than other types of writing.Avoid literary and poetic phrases as well as dramatic or emotional statements.Be factual,objective and precise.Be careful about using absolute statements like“always”and“never”in science writing.Choose the right tense:the past tense for the description of what happened in the investigation and the present and future tenses for the discussion of its general significance,for example.

The following is a sample paper.

Application of diffusive transport model for better insight into retardation mechanisms involved in ion-imprinted membrane transport[1]

Abstract Heavy metal removal from water is a great concern for environmentalists and engineers.Ion-imprinted membranes are among the state of the art technologies for selective adsorption of heavy metals from aqueous environment.Dialysis permeation of nickel ions through Ni(Ⅱ)-imprinted membranes has been thermodynamically studied in our prior work.In current study,the diffusive transport model was developed and then applied for better insight into the retardation mechanisms involved in the ion-imprinted membrane transport.The Sipsisotherm model was coupled with the transport model to obtain the governing equation.Chemisorption and physical interactions(bulk diffusion and pore-clogging)were the most probable retardation mechanisms according to the modeling results.Relative retardation factor(η)was also defined as:transport-rate controlled by chemical adsorption to that controlled by physical interactions.With the help of the retardation factor,it was understood that the membrane behavior gradually changes from chemisorption to facilitated transport during permeation time.Effect of important operating parameters such as time,temperature and concentration on transport behavior was also investigated.Results indicated that chemisorption rate is rather higher at lower concentrations,early permeation times and reduced temperatures.In addition,η tabulated greater values for Ni(Ⅱ)compared to Co(Ⅱ)due to the imprinting effect.

Keywords Ion-imprinted membrane,Mathematical modeling,Chemisorption,Retardation,Mechanism

1.Introduction

Mathematical modeling is an interesting and useful approach to upgrade researchers'knowledge about membrane transport mechanisms.A great number of researches have been aimed at modeling of transport phenomena in membranes.For example,the effect of concentration gradient is included in the Stephan-Maxwell model[1],to extend the model for describing transport of charged particles through surface-charged porous membranes[1-3].

Membrane adsorption is a promising technology for the removal of macromolecules and heavy metals from effluents[4-6].Adsorptive membranes,prepared from reactive and functional polymers through complex physico-chemical synthesizing steps,carry reactive groups as adsorption sites to chelate macromolecules and heavy metals from aqueous phase[6-8].

Mathematical modeling of membrane adsorbents,due to its novelty,is of great importance from both microscopic and macroscopic aspects.From macroscopic outlook,rapid prototyping and presenting efficient scale-up protocols are some of the major advantages of transport modeling.Inmicro scopic view however,useful knowledge about the interactions/mechanisms involved in the process can be obtained in the light of the modeling results.Common adsorption/transport models are derived based on mass balance principles.These types of mathematical models take advantage of convection,diffusion and adsorptionmechanisms,in combination,for describing transport behavior of adsorptive membranes[9,10].Adsorption isotherms are sometimes combined with the mathematical transport models to characterize the equilibrium or quasi-equilibrium adsorption during transport.

Heavy metal removal from water resources is a great concern for environmentalists.Ion-imprinted membrane adsorbents are potential solutions for selective removal of heavy metals.Recently,the ion-imprinting technique has been employed to enhance the selectivity of the adsorptive membranes[11].Moreover,specific recognition sites(artificial receptors)are contrived in an appropriate polymeric background via insertion and subsequent extraction of template ions[12,13].Shape,orientation and functionality of the introduced cavities/sites are matching with the tracketched template ions.In sum,ion-imprinting process results in adsorptive membranes with specific affinity and selectivity to ward the imprinted ions.

There is a strong motivation for better understanding of the transport mechanisms involved in imprinted membrane transport.Previous researches have shown that the principle mechanisms for the removal of heavy metal ions by the ion-imprinted adsorbents are adsorption(surface adsorption,complexation and chelation)and ion-exchange[14].Transport mechanisms however,are not fully understood for the ion-imprinted membranes.A novel mathematical model for describing Ni(Ⅱ)ions permeation through Ni(Ⅱ)-imprinted membrane was developed in our previous study[15].The proposed model could successfully simulate the transport of Ni(Ⅱ)and Co(Ⅱ)ions across the imprinted membrane for a routine dialysis permeation process.

In the current work,transport mechanism of nickel and cobalt ions through Ni(Ⅱ)-imprinted membrane was investigated with more focus on the retardation mechanisms affecting the diffusive transport.The mathematical model was developed and then applied to elucidate the controlling mechanisms/interactions involved in diffusive transport of ions through the membranes i.e.,physical interactions and chemical adsorption.As a result,relative retardation factor(η)was defined to illustrate the relative importance of these retardation mechanisms during permeation.Effect of important parameters such as temperature,ion concentration and time on the retardation factor was also examined.

2.Mathematical Model Extension

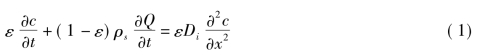
Unsteady state diffusive transport model(Eq.(1)),can satisfactorily describe transport of ions/molecules through an adsorptive membrane[15]:

where ε is the membrane bulk porosity,c is the ion concentration inaqueous phase,Q is the adsorption on recognition sites(solid phase),Di is the ions diffusivity across the membrane,ρs is the dry bulk density,and x indicates the transport direction perpendicular to the membrane surface.

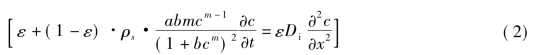
Right-hand side of Eq.(1)demonstrates the role of diffusion dialysis in permeation transport.On the left-hand side of Eq.(1),the unsteady-state term indicates couple of the possible ways for the accumulation of ions in adsorptive membrane i.e.,physical accumulation(first term)and chemical adsorption(second term).Moreover,adsorption includes diffusion of solute from the bulk fluid to the solid surface in which the chemical surface interactions occur.At the solid surface,the solute(ions)interacts with the reactive sites through either physical interactions(physisorption)or chemical interactions(chemisorption).Chemical interactions with the surface result in chemical bonding,complexation and chelation.Physical step however,includes bulk diffusion,film diffusion,pore clogging,surface diffusion and sieving mechanisms.The final governing equation has been obtained by coupling Eq.(1)with the Sipsisotherm model.It is worthy of mention that the Sips model has been verified among several tested isotherms according to its higher coefficient of determination[15].The resultant governing equation is obtained as follows:

a,b and m are the equilibrium parameters of the Sipsisotherm which have been obtained in another work from the current authors[15].These parameters for adsorption at different temperatures are given in Table 1.Eq.(2)includes one dependent variable(c),and couple of independent variables(x and t).The following boundary and initial conditions were applied for the mathematical analysis of Eq.(2):

Table 1 Physical and thermodynamic parameters for Ni(Ⅱ)-imprinted membrane adsorption[15]

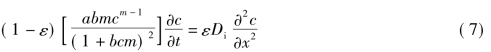
One can ignore the chemical adsorption term to obtain the pure effect of physical interactions on the diffusive transport of the ions.Accordingly,the reduced Partial Differential Equation(PDE)is obtained as:

On the other hand,physical interactions may be overlooked to obtain a partial differential equation indicating the pure effect of chemical adsorption on transport mechanism:

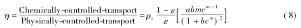
With considering Eqs.(6)and(7),relative retardation factor(η)can be defined as ion transport-rate controlled by chemisorption to that controlled by the physical attachment mechanisms.Accordingly,a straightforward definition for η is obtained by dividing Eq.(7)to Eq.(6),as follows:

The term“retardation”(Eq.(8))is an attempt to evaluate the relative importance of the chemical retardation mechanisms(i.e.surface chemical interactions)to that of the physical ones.In other words,intensity and weakness of chemical to physical retardation mechanisms can be monitored during ion transport with the help of Eq.(8).

3.Materials and Methods

Nickel and cobalt nitrates were obtained from Merck.All other chemicals were of analytical grade and used as received.Atomic absorption spectrometry(AA-6300 Shimadzu)was applied for analyzing the nickel and cobalt ions concentration.

Membrane fabrication method was perfectly elucidated in another work from the current authors[13].Briefly,methacrylic acid was polymerized on the surface of PVDF microfiltration membrane in the presence of Ni-dithizone as complex agent and ethylene glycol dimethacrylate as crosslinker.Hydrochloric acid(1 M)was employed for selective dissolution of template ions from the synthesized membrane.Subsequently,the membranes were abundantly rinsed with distilled water and air-dried.

Static(batch)adsorption tests were performed to obtain the equilibrium parameters of the adsorption isotherms.The procedure was fully described in our prior paper[15].Diffusive transport of ions through the imprinted membrane was investigated according to straightforward dialysis permeation procedure.The experimental setup and applied procedure were explained in detail elsewhere[13,15].In brief,a two-section dialysis cell was employed for dialysis permeation tests.Membrane samples were placed and sealed between the two half-cells of the setup.Feed-and receiveside half-cells were filled with 100 ml of nickel(or cobalt)nitrate solution(with concentration range of 1 to 25 mg·L-1)and distilled water,respectively.Three hours once,a few millilitersample solution was taken out from the receive solution and then,immediately compensated with the same amount of distilled water.

4.Results and Discussion

The governing equation(Eq.(2))has been numerically solved to obtain the concentration of the ions as a function of permeation time and location throughout the imprinted membrane.Fig.1,indicates the results for T=35°C,pH=8 and c0=25 mg·L-1.The results were comparable for different initial concentrations(not shown).Model predictions were compared with the experimental data in Fig.2.Results indicate that the mathematical model can satisfactorily simulate the permeation of Ni(Ⅱ)ions through the Ni(Ⅱ)-imprinted membrane.It is obvious from Fig.1,that the dispersion has negligible effect on the permeation of the ions through the membrane.Therefore,one-dimensional analysis approach could be employed without any meaningful error.As inferred from Fig.1,the concentration of the ions inside the membrane matrix increases with time.This fact demonstrates the potential of the imprinted membrane for the ion uptake.Moreover,the ions can easily access the vacant recognition sites via facilitated transport mechanism[13-15].

Gradual extension of the concentration gradient inside the membrane matrix can facilitate the adsorption/transport mechanism.It is obvious from Fig.1,that the concentration of the ions is higher in regions closer to the membrane inlet presumably due to superior ion uptake rate as well as minimum possible mass-transfer resistance against mass transfer in these regions.

4.1 Retardation mechanism

Based on Eq.(8),retardation factor(η)is the function of equilibrium concentration and temperature.Moreover,isotherm parameters(a,b and m)were employed to calculate η based on Eq.(8).These constants are clearly temperature dependent.In addition,equilibrium concentration is another independent variable of retardation factor.Results for Ni(Ⅱ)and Co(Ⅱ)ions are shown in Figs.3 and 4,respectively.Initial concentration of the ions in the feed phase is in the range of 1 to 25 mg·L-1.

According to the modeling results,the chemisorption-induced transport rate is around one thousand order of magnitude greater than the physical-interaction-controlled rate.This fact reveals that the imprinted membrane is originally an“adsorptive”rather than a“size-exclusive”membrane[11,15].Generation of artificial receptor-like adsorption sites as a result of the imprinting process provides the condition for the imprinted membrane to act as a selective-adsorption carrier.In an ion-imprinted membrane,reactive reception sites play an important role in transport of the template ions.These sites can memorize,recognize and interact with the imprinted ions through different mechanisms such as chemical bonding,chelation and complexation.In other words,accumulation of ions in aqueous solution filled in the membrane pores is in lesser importance compared to the selective-chemisorption mechanism in ion-imprinted membrane transport.It is obvious from Figs.3 and 4 that the retardation factor is higher for the nickel compared to the cobalt ions.This fact is originated from the imprinting process.Moreover,the artificial reception sites are better matching with Ni(Ⅱ)(the imprinted ion)than with Co(Ⅱ)ions[14].Accordingly,the Ni(Ⅱ)-imprinted membrane offers higher affinity toward Ni(Ⅱ)ions.

Fig.1 Concentration distribution of Ni(Ⅱ)ions versus time and position in the Ni(Ⅱ)-imprinted membrane at T=35°C,pH=8 and c0=25 mg·L-1.

Fig.2 Permeate concentration versus time:model prediction(dash-line)versus experimental data(triangles).

Fig.3 Retarding factor versus initial concentration at different temperatures for Ni(Ⅱ)ions.

Fig.4 Retarding factor versus initial concentration at different temperatures for Co(Ⅱ)ions.

4.2 Effect of equilibrium concentration

Retardation factor increases sharply with increasing concentration,meets a maximum and then,decreases and switches to a plateau at higher concentrations.Increasing η indicates the impact of chemisorption as controlling mechanism at initial concentration less than 3 mg·L-1(low concentrations).This may be attributed to the large volume of vacant reactive sites at lower concentrations due to lower ion uptake rate.In this condition,the imprinted membrane is a better candidate for adsorption compared to physical retardation.Physical interactions are strengthened with increasing ion concentration.Severe uptake of ions at higher concentrations impels the ions to accumulate in the pores due to limited number of the recognition sites.Therefore,the relative retardation factor decreases.This means gradual weakness of chemical adsorption mechanism.At higher concentrations(more than 15 mg·L-1),saturation condition brings about as a result of the concentration-gradient development.Unchanged value of retardation factor confirms this conclusion.At saturation condition;whereas,all the adsorption sites are occupied,there is a balance in the ion exchange rate between the recognition sites(solid phase)and the fluid filled the pores(liquid phase).Accordingly,the relative retardation factor remains constant.This reveals that the relative impact of chemisorption to physical interactions in control of mass transport does not further change.In this condition,imprinted membrane acts as a facilitated-transport carrier.Fig.5 schematically shows the change in the imprinted-membrane transport behavior from chemically adsorptive to facilitated-exchange transport.This conclusion is in tune with the results obtained by other researchers[11-14].

Fig.5 lon-imprinted membrane transport mechanism:before(A)and after(B)saturation of recognition sites.(Dash lines:ion-exchange paths).

4.3 Effect of temperature

Retardation factor was calculated at different temperatures.As previously mentioned,isotherm constants which play a pivotal role in determination of η are temperature dependent.It is clear from Figs.3 and 4 that adsorption is superior controlling mechanism at lower temperatures.It is in agreement with the exothermic nature of the adsorption according to the positive amount of enthalpy(Table 1)[15].In other words,reducing temperature provides more favorable condition for adsorption of ions from thermodynamic viewpoint.The effect of temperature is not significant at higher concentrations as obvious from Figs.3 and 4.This may be attributed to the dominating effect of exchange rather than adsorption mechanism.In this condition,the kinetics of the adsorption/desorption cycle is not highly affected by raising the temperature.

4.4 Time dependency

Variation of retardation factor versus time for Ni(Ⅱ)permeation at two different initial concentrations is shown in Fig.6.At first,η increases with time and then switches to a constant.Concentration gradient(or more exactly mass transfer zone)is extended inside the membrane matrix by gradual occupation of adsorption sites located on or near the surface.Adsorption capacity is fulfilled after full development of the concentration gradient.In this condition,the ion adsorption rate is in tune with the desorption rate.So,the concentration of the ions in the aqueous phase and that on the solid phase remains unchanged i.e.,η switches to a constant.

Fig.6 Retarding factor versus time at different initial concentrations for Ni(Ⅱ)ions.

As inferred from Fig.6,adsorption is dominating retardation mechanism at lower concentrations.This is attributed to the limited adsorption capacity of the imprinted membrane.At higher concentrations,a larger number of the ions can accumulate in the fluid filled in the membrane pores.Accordingly,saturation occurs sooner and transport mechanism rapidly changes from adsorption-conducted to physical ion-exchange.

5.Conclusions

Diffusive transport model was utilized to derive a key factor indicating relative importance of chemical adsorption to physical interactions during ion-imprinted membrane transport.Some bullet results inferred from the current study:

(1)Chemisorption is much important controlling mechanism for ion-imprinted membrane permeation compared to physical retardation.

(2)Retardation factor increases with reducing temperature due to exothermal nature of adsorption.

(3)Retardation factor is also greater for the permeation of Ni(Ⅱ)ions compared to Co(Ⅱ)ions as a result of the imprinting effect.

(4)Separation mechanism of the imprinted membrane changes from adsorption to facilitated transport.

(5)Adsorption to physical-attachment ratio meets a constant after saturation of the membrane.

Nomenclature

a,b,m:isotherm constants

c:equilibrium concentration of ion in the solution in contact with the membrane,mg·L-1

co:initial concentration of ion in the solution,mg·L-1

Di:apparent diffusivity of ion through the membrane,cm2·h-1

Q:ion adsorbed amount at time t,mg·g-1

t:time,h

x:direction of ion diffusion through the membrane,cm

ΔH:adsorption enthalpy,kJ·moL-1

δ:membrane thickness,μm

ε:membrane bulk porosity(dimensionless)

η:retardation factor(dimensionless)

ρs:dry bulk density,g·cm-3

Acknowledgements

The author acknowledges Arak University for supporting during this study.

References

[1]S.S.Madaeni,H.R.Godini,Transfer characterization of charged particles through charged conductive membrane via dialysis process,J.Porous.Mater.15(4)(2008)467-473.

[2]M.S.Hall,V.M.Starov,D.R.Loyd,Reverse osmosis of multicomponent electrolyte solution:Part I.The oretical development,J.Membr.Sci.128(1)(1997)23-27.

[3]R.J.Hill,Electric-field-enhanced transport in polyacrylamide hydrogel nanocomposites,J.Colloid&Interface Sci.316(2)(2007)635-644.

[4]R.S.Vieira,E.Guibal,E.A.Silva,Beppu MM.Adsorption and desorption of binary mixtures of copper and mercury ions on natural and crosslinked chitosan membranes,Adsorption 13(5)(2007)603-611.

[5]M.M.Beppu,E.J.Arrud,R.S.Vieira,N.N.Santos,Adsorption of Cu(Ⅱ)on porous chitosan membranes functionalized with histidine,J.Membr.Sci.240(1-2)(2004)227-235.

[6]A.G.Boricha,Z.V.P.Murthy,Acrylonitrile butadiene styrene/chitosan blend membranes:Preparation,characterization and performance for the separation of heavy metals,J.Membr.Sci.339(1-2)(2009)239-249.

[7]C.Liu,R.Bai,Adsorptive removal of copper ions with highly porous chitosan/cellulose acetate blend hollow fiber membranes,J.Membr.Sci.284(1-2)(2006)313-322.

[8]Z.Cheng,X.Liu,M.Han,W.Ma,Adsorption kinetic character of copper ions onto a modified chitosan transparent thin membrane from aqueous solution,J.Hazard.Mater.182(1-3)(2010)408-415.

[9]F.Cattoli,C.Boi,M.Sorci,G.C.Sarti,Adsorption of pure recombinant MBP-fusion proteins on amylose affinity membranes,J.Membr.Sci.273(1-2)(2006)2-11.

[10]C.Boi,S.Dimartino,G.C.Sarti,Modeling and simulation of affinity membrane adsorption,J.Chromatogr.A 1162(1)(2007)24-33.

[11]X.Wang,L.Zhang,C.Ma,R.Song,H.Hou,D.Li,Enrichment and separation of silver from waste solutions by metal ion imprinted membrane,Hydrometallurgy 100(1-2)(2009)82-86.

[12]J.H.Chen,G.P.Li,Q.L.Lio,J.C.Ni,W.B.Wo,J.M.Lin,Cr(III)ionic imprinted polyvinyl alcohol/sodium alginate(PVA/SA)porous composite membranes for selective adsorption of Cr(III)ions,Chem.Eng.J.165(2)(2010)465-473.

[13]V.Vatanpour,S.S.Madaeni,S.Zinadini,H.R.Rajabi,Development of ion imprinted technique for designing nickel ion selective membrane,J.Membr.Sci.373(1-2)(2011)36-42.

[14]H.Su,J.Li,T.Tan,Adsorption mechanism for imprinted ion(Ni2+)of the surface molecular imprinting adsorbent(SMIA),Biochem.Eng.J.39(3)(2008)503-509.

[15]E.Salehi,S.S.Madaeni,V.Vatanpour,Thermodynamic investigation and mathematical modeling of ion-imprinted membrane adsorption,J.Membr.Sci.389(1-2)(2012)334-342.

Exercises

A.Read more journal articles and see how research papers are actually structured and developed around their theses.

B.Find a proper topic in your own field of study and write a research paper based on an investigation sufficient in amount and depth.

【注释】

[1]Salehi,Ehsan.Chinese Journal of Chemical Engineering,2014(24):1161-1165