13.2.4 连接部件
连接转子和固定部件或者连接不同旋转部件的结构都是连接部件,比如滚动轴承、滑动轴承、挤压油膜阻尼器、密封、齿轮等。
带控制器的主动磁轴承和均分负载轴承也是连接部件。
1.线性模型
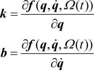
连接部件建模的简单方法是使用广义刚度和阻尼矩阵,这种方法对线性连接部件是有效的,系数会随着旋转速度、时间和频率变化。
假设阻尼是粘性的,相应的作用力可以表示成如下方程:
f=(K+K(p))q+(B+B(p))q
或者,当阻尼是滞后的,相互作用力采用以下的复杂形式表述:
f(ω)=(K+K(p))q(ω)+j(B+B(p))q(ω)
在时域里,p是时间或轴承的旋转速度,在频域中,p是频率或轴承的旋转速度。这种模型一般满足初步设计,并且用来描述滚动轴承、滑动轴承或者密封。当系数随着旋转速度改变时,它们在平衡点附近也符合切线刚度和阻尼系数。
为了使这种连接模型与转子和静子的有限元模型耦合,我们要做一个理想化的装配。一方面,用Mean单元把从属节点同一组节点连接起来,从属节点的位移和转角是这组节点的平均位移和平均转角。另一方面,二维傅里叶单元在模型中使用时,用FOU3连接单元连接柱坐标描述的二维模型和三维模型。表13-1总结了理想化连接。
表13-1二维模型和三维模型的理想化连接。

在Mean单元中定义的约束如下。平动:

转动-选项1:

转动-选项2:

2.非线性模型(https://www.daowen.com)
当线性假设不再可用时,相互作用力也要描述成非线性:
这个方程可以使用在非线性轴承包括间隙和摩擦力的情况。切线刚度和阻尼矩阵或者用在迭代过程以获得力的响应,或者作为相对于平衡位置的结果以便在临界转速计算中使用。

包含非线性连接理想化的装配同线性案例中是相似的,挤压油膜阻尼器轴承包含在连接设备中。
3.深入的模型
当模型中采用了滑动轴承或者挤压油膜阻尼器,需要使用更加精细的描述,这时转子和静子节点的位移和速度通过这些轴承来耦合,以获得轴承或者挤压油膜阻尼器的间隙分布。
这种间隙分布在例如雷诺方程的液体薄膜模型中用来作为输入,求解这个方程可以获得压力分布。然后计算动力学作用力和判断是否需要切线刚度或者阻尼矩阵。
4.主动磁轴承
主动磁轴承可以作为输入输出系统,这时,输入是传感器度量;输出是激励动作,如同磁轴承;核心是控制器。
5.传感器
在有限元模型中,传感器是一种专门的单元(如SE3D),用来测量两点之间给定方向相对位移、速度或者加速度。传感器的位置附属于支撑结构上相应传感器位置的一点,第二点是移动点(如在转子上)。这种方法可以考虑由于支撑结构的柔性而产生的测量扰动。
6.控制器
在时域中,可以通过外部控制器,例如MATLAB/Simulink输入,或者通过使用预先确定的控制箱来模拟控制器。也可以用一个控制器的输出作为另一个控制器的输入,选择是比较多的。
在频域中,当通常的取样时间比感兴趣的最高阶模态周期要低得多时,控制器被假设成连续的。
预先确定的控制器也可以使用如同PID或者线性传递函数。也可以输入外部控制器如同线性状态矢量空间系统(见图13-8)。
这种方法可以通过求解经典的特征值问题来检查系统稳定性。

图13-8 线性状态矢量空间系统