14.2.6 后处理
单击Result模块图标,进入结果显示模块。
1.绘制Compbell图
(1)单击Results左侧的
图标,展开的结果数据树如图14-58所示。

图14-58 结果数据树
(2)双击Functions。
(3)双击Complex Eigen Frequency,得到图14-59所示复频率与转速的关系曲线图。

图14-59 复频率与转速的关系曲线图
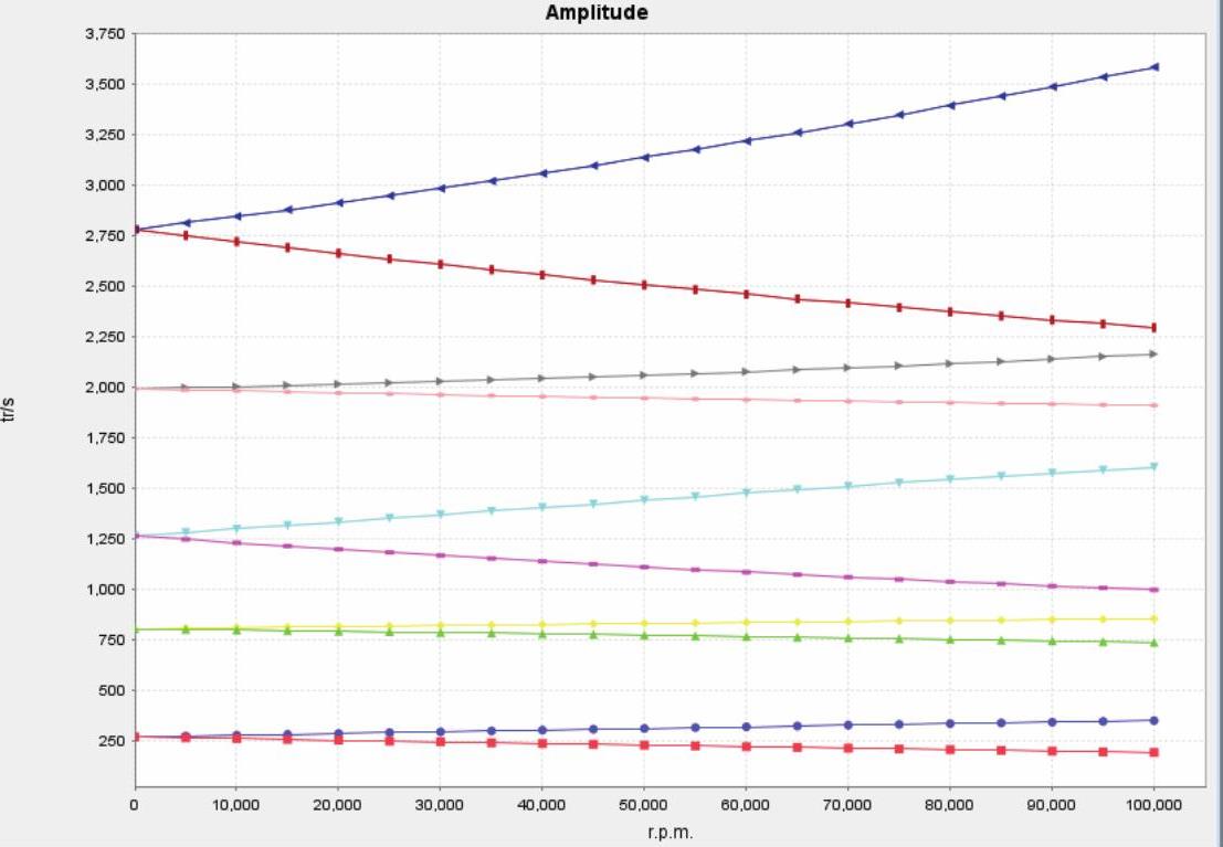
(4)单击Function Dialog对话框中的
图标,将Complex Option改为Amplitude。
(5)将Ordinate Unit改为tr/s,单位为Hz。
(6)选中Show points复选框以显示数据点。
(7)频率与转速的关系曲线图Compbell图,如图14-60所示。

图14-60 Compbell图
2.显示振型图
(1)在数据树中选择Nodal Displacements。
(2)显示第1阶反向涡动频率模态振型图(如图14-61所示)。

图14-61 第1阶反向涡动频率模态振型图
注意:这里给出的是涡动频率,涡动有正向涡动和反向涡动之分。每个频率都与转速有关,因此在图形左上角处,除了有该阶振型的频率值Frequency为268.97128296 Hz外,还有对应的转速Angular speed为0 r/min。
(3)单击鼠标右键,在弹出的快捷菜单中选择Reference(S)命令,弹出Reference(S)对话框。
(4)如图14-62a所示,Reference(S)对话框中有两个滑块,第一个对应转速步数,即转速,第二个对应频率阶数。用鼠标拖动滑块到频率阶数为2,转速步数为3,即10 000r/min时第1阶正向涡动频率,显示的模态形状如图14-63所示。

图14-62 Reference(S)对话框
a)步数3模态2 b)步数4模态4

图14-63 Case A的第1阶正向涡动振型图
(5)如图14-62b所示,用鼠标拖动滑块到频率阶数4,转速步数为4,即15000r/min时第2阶正向涡动频率,显示的模态形状如图14-64所示。
(https://www.daowen.com)
图14-64 Case A的第2阶正向涡动振型图
(6)单击工具条中的保存文件快捷图标进行保存。
此时计算结果和有限元模型一起保存在SAMCEF Field数据库中。
Case B的复频率与转速的关系曲线图和Compbell图,如图14-65和图14-66所示。

图14-65 Case B的复频率与转速的关系曲线图

图14-66 Case B的Compbell图
Case B的第1阶反向涡动、第1阶正向涡动和第2阶正向涡动振型图,如图14-67~图14-69所示。

图14-67 Case B的第1阶反向涡动振型图

图14-68 Case B的第1阶正向涡动振型图

图14-69 Case B的第2阶正向涡动振型图
Case C的复频率与转速的关系曲线图和Compbell图,分别如图14-70和图14-71所示。

图14-70 Case C的复频率与转速的关系曲线图

图14-71 Case C的Compbell图
Case C的第1阶反向涡动、第1阶正向涡动和第2阶正向涡动振型图,如图14-72~图14-74所示。

图14-72 Case C的第1阶反向涡动振型图

图14-73 Case C的第1阶正向涡动振型图

图14-74 Case C的第2阶正向涡动振型图
注意,其阻尼数值分别为Damping-41.32475662、-44.86885834和-548.7673398。