土地质量地球化学调查支持湖南省新田县精准扶贫
(一)土地质量地球化学调查成果
2011年,在1∶25万“湖南湘江流域南部多目标区域地球化学调查”项目发现湖南省新田县(贫困县)境内土壤普遍富硒的基础上,中国地质调查局部署了1∶5万“湖南新田县土地质量地球化学评估”扶贫攻坚项目。2011—2013年,该项目累计采集各类土壤样5571个、灌溉水样105个、各类农作物样1235件、岩石样品157件、大气干湿沉降监测点30个、肥料样品10件。调查表明,新田县境内的土壤是天然的富硒土壤,种植出的农产品是天然的富硒农产品。具有如下主要特征:
(1)富硒土壤分布面积大,硒元素平均含量高。调查发现新田县存在大面积的富硒土壤,且硒平均含量高。按照每平方千米4~5个样品的密度采集土壤样4134个,其中,硒含量大于0.4mg/kg的土地有615.1km2,占全县土地面积的60.18%。硒含量平均值达到0.49mg/kg,是湖南省土壤硒平均含量(0.28mg/kg)的1.75 倍,是中国土壤硒平均含量(0.29mg/kg)的1.69倍。硒含量最高值达5.52mg/kg。
新田县富硒土壤主要集中分布在新田中部、北部和南部地区(图10-1)。

新田县富硒土壤分布图(据湖南省地球物理地球化学勘察院,2014)
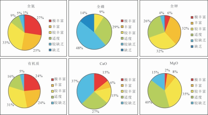
(2)植物必需的营养有益元素丰富。新田县富硒土地中全氮、有机质、硫、全钾含量较丰富,适度及丰富以上的分别达到95%、95%、96%、96%(图10-2)。
除硒外,硼、钴、铜、锌、氟的含量较丰富,适度及丰富以上的区域分别达到100%、96%、96%、93%、96%(图10-3、图10-4)。

图10-2 新田县土壤植物必需营养元素含量分布统计图(据湖南省地球物理地球化学勘察院,2014)

图10-3 新田县土壤植物必需微量元素含量分布统计图(据湖南省地球物理地球化学勘察院,2014)

图10-4 新田县土壤健康元素含量分布统计图(据湖南省地球物理地球化学勘察院,2014)
(3)土壤中重金属元素含量整体较低。富硒土地中铜、铅、锌、砷、镉、汞等重金属元素含量总体较低。根据中国《土壤环境质量标准》(GB 15618—2008)进行土壤环境质量分类,绝大部分土地为Ⅰ、Ⅱ类土壤,仅砷、镉、汞存在极少量的Ⅲ类和劣Ⅲ类土壤。。
(4)土壤酸碱性分区特征明显。调查发现,新田县北部山地以酸性土壤为主,中部、南部丘岗地以偏碱性土壤为主(图10-5)。
北部山区酸性富硒土壤有利于开发喜酸类经济作物,如富硒的茶叶、绞股蓝、竹笋、茶油、板栗等。中南部偏碱性土壤有利于硒的活化迁移和农作物的吸收,同时也能有效抑制镉、铅等重金属元素进入植物,适合大面积开发富硒农产品。
(5)岩石能源源不断地供给硒。新田县境内,地层岩石的硒元素含量普遍接近或超过世界岩石硒元素含量的平均值(维诺格拉多夫,1962)。如寒武系茶元头组(∈cy)、奥陶系桥亭子组(Oq)和天马山组(Ot)以及泥盆系易家湾组(Dyj)、黄公塘组(Dh)和棋子桥组(Dq)等分别是世界平均值的1.83、1.38、1.37、1.33、2.80、1.34倍,具明显的富集硒元素的特征。这些地层广泛分布在新田县的北部、中部和南部,通过地表风化作用源源不断地向土壤供给硒。(https://www.daowen.com)
(6)大宗农产品普遍富硒。调查发现新田县境内有大量以传统种植方式生产的天然富硒农产品。主要富硒的大宗农产品有大豆、水稻、花生、辣椒、油茶、红薯等(表10-2)。其中,早稻、大豆、油茶、花生、辣椒的富硒样品比例较高,达60%~100%。
表10-2 新田县主要农作物硒含量特征

注:据湖南省地球物理地球化学勘察院,2014。

图10-5 新田县表层土壤pH 值分布图(据湖南省地球物理地球化学勘察院,2014)
(二)成果的转化应用
国土资源部2002年开始定点扶贫新田县14年,新田县富硒土地开发利用形成的宝贵经验已经成为地质调查服务扶贫攻坚的重要典范。
依托土地质量地球化学调查工作,按照“中央先行,地方跟进,政府引导,企业开发,精准扶贫”的思路,2010—2013年,中国地质调查局先后在新田县部署1∶25万和1∶5万调查尺度的土地质量地球化学调查工作(“湖南湘江流域南部地区多目标区域地球化学调查”“湖南新田县土地质量地球化学评估”),在新田县发现并圈定硒含量大于0.4mg/kg的无重金属污染富硒土壤615.1km2,占全县土地面积的60.18%;发现大量传统种植方式生产的农产品天然富硒,其中,早稻、大豆、油茶、花生、辣椒的富硒样品比例较高,达60%~100%,为土地规划、基本农田划定、土地整治和开发利用、农业经济区划和种植结构调整提供了依据。2014年,湖南省国土资源厅部署1∶1万调查尺度的富硒土壤地球化学详查项目(“湖南省新田县新圩镇、莲花乡富硒土壤地球化学详查与评价”“湖南富硒耕地质量提升技术与示范”),为富硒农产品的种植和开发利用提供了富硒土地地块清单。新田县委县政府依托天然富硒特色资源优势,结合土地整治,以建设“硒锶新田、养生新田、长寿新田、美丽新田”的发民战略聚集精准扶贫,积极引进企业65家。以“产业差异化、产品特色化、市场精准化”为发展目标,全力打造新田富硒支柱产业园,已建成莲花富硒果蔬产业园、县城富硒农产品加工园、新圩硒锶循环农业生态产业园三大富硒产业园。2015年全县从事富硒产业的人员10.8万人,全县富硒产业完成生产总值22亿余元,富硒产业已真正成为带领群众脱贫致富、实现富民强县的支柱产业。
2014年10月24日,全国硒资源利用与协作大会在新田成功召开,新田县先后被授予“湖南省富硒土壤开发利用研究基地”“原生态富硒食品基地县”“中国天然富硒农产品之乡”等称号。新田的富硒产业从无到有,从小到大,目前已发展有一定规模经工商注册登记的富硒农业企业达50多个。全县共发展富硒农产品种植示范基地27万亩(1亩=666.666m2),其中经土地流转,通过龙头企业自建或以公司加大户形式共建的富硒农产品种植核心示范基地达8.2万亩。广东东升农业集团、湖南三箭农业科技有限公司等知名企业慕“硒”而来,豆家旺、凤神油茶等本土富硒农产品精深加工企业茁壮成长,绿硒电商等一批富硒农产品电商公司运营态势良好。
2016年6月27—28日,由中国地质调查局中国地质科学院地球物理地球化学勘查研究所主办,中共新田县委、新田县人民政府、中国地质科学院岩溶地质研究所、湖南省地球物理地球化学勘查院协办,在湖南省新田县成功召开了“土地质量地球化学调查成果服务精准扶贫经验交流会(部分展版见图10-6、图10-7)。
综上所述,“湖南新田县土地质量地球化学评估”扶贫攻坚项目取得的成果促进了土地质量地球化学调查成果的应用转化,实现了精准扶贫的目标任务。

图10-6 土地质量地球化学调查成果服务精准扶贫经验交流会展版(一)
(据中国地质科学地球物理地地球化学勘察研究所、湖南省地球物理地球化学勘察院,2016)

图10-7 土地质量地球化学调查成果服务精准扶贫经验交流会展版(二)
(据中国地质科学地球物理地地球化学勘察研究所、湖南省地球物理地球化学勘察院,2016)