9.1.3 条件概率、全概率公式
9.1.3.1 条件概率
前面讨论了事件和概率这两个概念,对于给定的一个随机试验,要求出一个指定的随机事件A 的概率P(A),需要花很大的力气,现在将讨论继续引入深入,设两个事件A,B,则有公式P(A∪B)=P(A)+P(B)-P(AB).
特别地,当A,B为互不相容的两个事件时,有P(A∪B)=P(A)+P(B)此时有P(A)及P(B)即可求得P(A∪B),但在一般情形下,为求得P(A∪B)还应该知道P(AB).因而很自然要问,能不能通过P(A)及P(B)求得P(AB),先看一个简单的例子.
例1 考虑有两个孩子的家庭,假定男女出生率一样,则两个孩子(依大小排列)的性别分别为(男,男),(男,女),(女,男),(女,女)的可能性是一样的.
解 若记A={“随机抽取一个这样的家庭中有一男一女”}.
则
但如果我们事先知道这个家庭至少有一个女孩,则上述事件的概率为
.
这两种情况下算出的概率不同,这也很容易理解,因为在第二种情况下我们多知道了一个条件.记B={“这个家庭中至少有一个女孩”},因此我们算得的概率是“在已知事件B发生的条件下,事件A发生”的概率,这个概率称为条件概率,记为P(A|B).

这虽然是一个特殊的例子,但是容易验证对一般的古典概型,只要P(B)>0上述等式总是成立的,同样对几何概率上述关系式也成立.
9.1.3.2 乘法公式
由条件概率的定义可知,当P(A)>0时,
P(AB)=P(A)P(B|A).
同理当P(B)>0时,P(AB)=P(B)P(A|B),
这个公式称为乘法公式
乘法公式可以推广到n个事件的情形,
P(A1A1…An)=P(A1)P(A2|A1)P(A3|A1A2)…P(An|A1A2…An-1)(P(An|A1A2…An-1)>0).
例2 甲、乙两市都位于长江下游,据一百多年来的气象记录,知道在一年中的雨天的比例甲市占20%,乙市占18%,两地同时下雨占12%.
记A={甲市出现雨天} B{乙市出现雨天}
求:(1)两市至少有一市是雨天的概率;
(2)乙市出现雨天的条件下,甲市也出现雨天的概率;
(3)甲市出现雨天的条件下,乙市也出现雨天的概率.
解 (1)两市至少有一市是雨天的概率为:
P(A∪B)=0.26;
(2)乙市出现雨天的条件下,甲市也出现雨天的概率为:
P(A|B)=0.67;
(3)甲市出现雨天的条件下,乙市也出现雨天的概率为:
P(B|A)=0.60.(https://www.daowen.com)
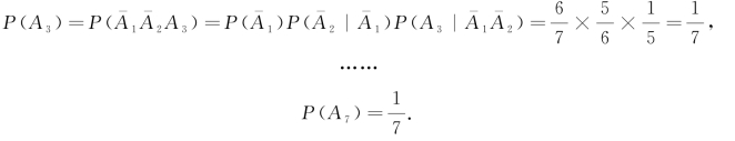
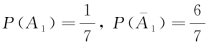
例3 (抽签问题)有一张电影票,7个人抓阄决定谁得到它,问第i个人抓到票的概率是多少(i=1,2,…,7)?
解 设Ai=“第i个人抓到票” (i=1,2,…,7)
显然
.
如果第二个人抓到票的话,必须第一个人没有抓到票.
这就是说
,所以
.
于是可以利用概率的乘法公式,因为在第一个人没有抓到票的情况下,第二个人有希望在剩下的6个阄中抓到电影票,
所以
,
![]()
类似可得:

9.1.3.3 全概率公式
为了求得比较复杂事件的概率,我们往往需要先把一个事件分解为两个(或若干个)互不相容的较简单的事件的并,求出这些较简单事件的概率,再利用加法公式,便可以求得复杂事件的概率,将这种方法一般化便得到下述定理:
定理1 设B1,B2,…,Bn.是一列互不相容的事件,且有
对任何事件A,有
.
证明 略.
例4 某工厂有四条生产线生产同一种产品,该四条流水线的产量分别占总产量的15%,20%,30%,35%,又这四条流水线的不合格品率分别为5%,4%,3%,及2%,现在从出厂的产品中任取一件,问恰好抽到不合格品的概率为多少?
解 A={抽到的是不合格品},B={抽到的是i号生产线的产品},i=1,2,3,4,显然P(B1)=0.15,P(B2)=0.2,P(B3)=0.3,P(B4)=0.35;
P(A|B1)=0.05,P(A|B2)=0.04,P(A|B3)=0.03,P(A|B4)=0.02;
所以根据全概率公式:

即:恰好抽到不合格品的概率为0.0315.
课后提升
1.从衣服扑克的52张牌中,每一次无放回的抽取1张,一共抽3次,求下列两个事件的概率:(1)3张全是红桃;(2)第三次才抽到红桃.
2.某电器商场销售甲、乙、丙三种电器,已知甲、乙、丙这三种电器的数量各占总量的70%,20%,10%,它们的次品率分别为0.02,0.03,0.04,求任取一台电器它是正品的概率.
答案
1.(1)0.0129;(2)0.1453.
2.0.6.