9.1.4 独立性与贝努里概型
9.1.4.1 独立性概念
1.两个事件的独立性
定义1
设A,B为两个事件,若P(AB)=P(A)P(B)则称事件A,B是相互独立的,简称为独立的.
例1 一个家庭中有男孩,又有女孩,假定生男孩和生女孩是等可能的,令A={一个家庭中有男孩,又有女孩},B={一个家庭中最多有一个女孩}对下述两种情形,讨论A,B的独立性.
(1)家庭中有两个小孩;(2)家庭中有三个小孩.
解 (1)有两个小孩的家庭,这时样本空间为:
Ω={(男、男),(男、女),(女、男),(女、女)},
A={(男、女),(女、男)},
A={(男、男),(男、女),(女、男)}AB={(男、女),(女、男)},
于是
.
由此可知P(AB)≠P(A)P(B),
所以A,B不独立.
(2)有三个小孩的家庭,样本空间Ω={(男、男、男),(男、男、女),(男、女、男),(女、男、男)(男、女、女),(女、女、男),(女、男、女),(女、女、女)}.
由等可能性可知,这8个基本事件的概率都是
,这时A包含了6个基本事件,B包含了4个基本事件,AB包含了3个基本事件

显然P(AB)=P(A)P(B),从而A与B相互独立.
2.多个事件的独立性
定义2
设三个事件A,B,C满足
P(AB)=P(A)P(B),
P(AC)=P(A)P(C),
P(CB)=P(C)P(B),
称A,B,C两两相互独立.
定义3
设三个事件A,B,C满足
P(AB)=P(A)P(B),
P(AC)=P(A)P(C),
P(CB)=P(C)P(B),
且P(ABC)=P(A)P(B)P(C)称A,B,C相互独立.
由三个事件的独立性可知,若A,B,C两两相互独立,不能得出A,B,C一定相互独立,反之也不成立.
例2 一个均匀的正四面体,其第一面染成红色,第二面染成白色,第三面染成黑色第四面上同时染上红、黑、白三色,以A,B,C分别记投一次四面体,出现红、白、黑颜色的事件,则
.
解
,
,
故A,B,C两两相互独立,
但不能推出P(ABC)=P(A)P(B)P(C),故A,B,C不是相互独立的.
3.独立性的性质
性质1 四对事件
中有一对相互独立,则其他三对也相互独立.
性质2 设A1,A2,…,An相互独立,则将其中任意m个(1≤m≤n)换成其对立事件,则所得n个事件也相互独立.特别地,若A1,A2,…,An相互独立,则
也相互独立.
例3 假若每个人血清中含有肝炎病的概率为0.4%,混合100个人的血清,求此血清中含有肝炎病毒的概率?
解 设Ai={第I个人血清中含有肝炎病毒} i=1,2,…,100
可以认为A1,A2,…,A100相互独立,所求的概率为
(https://www.daowen.com)
虽然每个人有病毒的概率都是很小,但是混合后,则有很大的概率,在实际工作中,这类效应值得充分重视.
4.独立与互斥之间的关系
互斥和独立是两个完全不同的概念;
A,B相互独立不能推出A,B互斥,反之也不成立.
9.1.4.2 贝努里概型
1.试验的独立性
如果两次试验的结果是相互独立的,称两次试验是相互独立的.当然,两次试验是相互独立的,由此产生的事件也是相互独立.
若试验只有两个可能的结果:A及
,称这个试验为贝努里试验.
2.贝努里概型
设随机试验具有如下特征:
(1)每次试验是相互独立的;
(2)每次试验有且仅有两种结果:事件A和事件
;
(3)每次试验的结果发生的概率相同即
.
称试验E表示的数学模型为贝努里概型.若将试验做了n次,则这个试验也称为n重贝努里试验.
由此可知“一次抛掷n枚相同的硬币”的试验可以看作是一个n重贝努里试验.
一个贝努里试验的结果可以记作
ω=(ω1,ω2,…,ωn).
其中ωi(1≤i≤n)或者为A或者为
,因而这样的ω共有2n个,它们的全体就是贝努里试验的样本空间Ω.
ω=(ω1,ω2,…,ωn)∈Ω.
如果ωi(1≤i≤n)中有k个A,则必有n-k个
.于是由独立性即得P(ω)=pkqn-k.
如果要求“n重贝努里试验中事件A出现k次”这一事件的概率
记Bk={n重贝努里试验中事件A出现k次}.
由概率的可加性
k=0,1,2,…,n
在n次贝努里试验.事件A至少发生一次的概率为1-qn.
例4 金工车间有10台同类型的机床,每台机床配备的电功率为10kW,已知每台机床工作时,平均每小时实际开动12min,且开动与否是相互独立的.现因当地电力供紧张,供电部门只提供50kW的电力给这10台机床.问这10台机床能够正常工作的概率为多大?
解 50kW电力可用时供给5台机床开动,因而10台机床中同时开动的台数为不超过5台时都可以正常工作,而每台机床只有“开动”与“不开动”的两种情况,且开动的概率为
.不开动的概率为
.设10台机床中正在开动着的机床台数为ξ,则
于是同时开动着的机床台数不超过5台的概率为

由此可知,这10台机床能正常工作的概率为0.994,也就是说这10台机床的工作基本上不受电力供应紧张的影响.
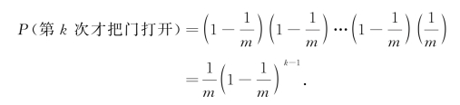
例5 某人有一串m把外形相同的钥匙其中只有一把能打开家门.有一天该人酒醉后回家,下意识地每次从m把钥匙中随便拿一把去开门,问该人第k次才把门打开的概率为多少?
解 因为该人每次从m把钥匙中任取一把(试用后不做记号又放回)所以能打开门的一把钥匙在每次试用中恰被选种的概率为
,易知,这是一个贝努里试验,在第k次才把门打开,意味着前面k-1次都没有打开,于是由独立性即得

例6 (巴拿赫火柴问题)某数学家常带有两盒火柴(左、右袋中各放一盒)每次使用时,他在两盒中任抓一盒,问他首次发现一盒空时另一盒有r根的概率是多少?(r=0,1,2,…,N,N为最初盒子中的火柴数)
解 设选取左边衣袋为“成功”,于是相继选取衣袋,就构成了
的贝努里试验.当某一时刻为先发现左袋中没有火柴而右袋中恰有r根火柴的事件相当于恰有N-r次失败发生在第2N-r根火柴,其中从左袋中取了N根,并且在2N-r+1次取火柴还要从左袋中取,才能发现左袋已经取完,因此

由对称性可知,首次发现右袋中没有火柴而左袋中恰有r根的概率为
故所求的概率为
.
课后提升
1.三人独立的想同一飞盘射击,他们各自的命中率分别为0.36,0.45,0.65,求分盘被击中的概率.
2.某人投篮的成功率是0.7,连续投5次,求至少有一次成功的概率.
答案
1.0.8768.
2.0.9919.