习题4.3

习题4.3

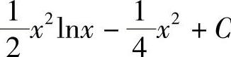
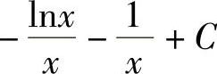
1.1)978-7-111-33187-2-Chapter07-128.jpg;2)978-7-111-33187-2-Chapter07-129.jpg;3)-x2cosx+2xsinx+2cosx+C;4)978-7-111-33187-2-Chapter07-130.jpg+C;5)xarcsinx+978-7-111-33187-2-Chapter07-131.jpg+C;6)978-7-111-33187-2-Chapter07-132.jpg+C.

2.In=xnex-nIn-1.

3.xf′x)-fx)+C.

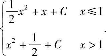
4.978-7-111-33187-2-Chapter07-133.jpg

5.exarcsinx+C.