习题4.4

习题4.4

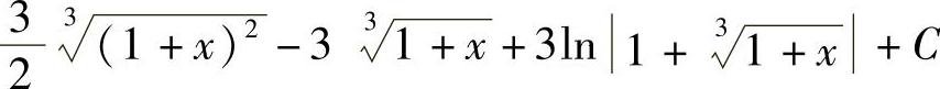
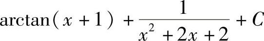
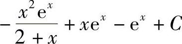
1)-5ln|x|-2+6ln|x|-3+C;2)978-7-111-33187-2-Chapter07-134.jpg-ln|x|-1+ln|x|+C;3)978-7-111-33187-2-Chapter07-135.jpg;4)978-7-111-33187-2-Chapter07-136.jpg;5)978-7-111-33187-2-Chapter07-137.jpg;6)978-7-111-33187-2-Chapter07-138.jpg;7)978-7-111-33187-2-Chapter07-139.jpg;8)978-7-111-33187-2-Chapter07-140.jpg;9)tanx-secx+C;10)978-7-111-33187-2-Chapter07-141.jpg;11)978-7-111-33187-2-Chapter07-142.jpg;12)978-7-111-33187-2-Chapter07-143.jpg.