3.3  计及理想负荷裕度指标的优化问题建模与仿真

3.3 计及理想负荷裕度指标的优化问题建模与仿真

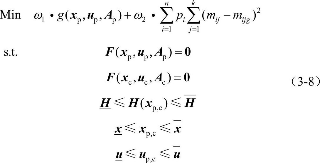
基于目标规划思想,本章对式(3-7)的问题模型进行了适当的改进,将对应于每一个目标的偏差以二次罚函数形式引入目标函数,从而使得系统偏离理想负荷裕度运行时,无论实际负荷裕度大于还是小于理想负荷裕度,问题模型都对目标函数以负荷裕度偏差的加权平方和进行惩罚。改进的优化问题模型如下(仍假定有k个目标,即计及k个薄弱节点的理想负荷裕度指标,n个优先级(nk)):

978-7-111-48405-9-Chapter03-24.jpg

式中,pii=1,2,…,n)表示第i个优先级的优先因子;mijmijgj=1,2,…,k)分别表示第i个优先级的第j个薄弱节点的实际负荷裕度与理想负荷裕度。

与式(3-7)相比,该模型省掉了正、负偏差变量所需要的权重系数,仅以优先顺序确定合理的优先因子即可,大大减少了确定权重系数的困难和工作量。通过对偏离值取平方,实现了正、负偏差量在目标函数中的非负表示,并使得相对于目标的偏离值越大,对应于该项的惩罚度越重。

针对目前电力系统负荷持续上升导致系统运行接近稳定极限的现象,本章采用式(3-8)的优化问题模型,提出一种以突出维持系统电压安全为特点的理想负荷运行点的确定方法。该方法跟踪系统负荷的增长过程,基于分布式松弛节点模型,通过事先确定的系统理想负荷裕度指标,对每一个当前负荷条件下的系统运行进行优化计算,将该优化结果与单目标最优潮流优化运行结果进行比较,据此确定系统的理想负荷运行点,该运行点也称为系统的最优安全运行点。

本章所提出的优化问题模型虽然与传统最优运行问题的数学模型相同,但确定最优安全运行点所遵循的思路不仅适合传统垂直一体化垄断经营的优化运行模式,而且致力于通过该理想负荷运行点的确定方法得到的优化结果,为电力市场运营机制下的各市场主体提供重要的安全、经济信息,从而引导电力市场的安全、有序、可持续竞争,并为系统现有设施的有效利用与系统投资扩容的合理计划安排提供参考依据。