3.3.3  算法实现

3.3.3 算法实现

1.优化问题模型

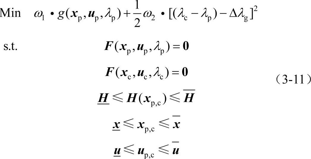
由式(3-8)的优化问题通用模型,结合负荷增长模型与分布式松弛节点模型,将确定系统理想负荷运行点的优化问题模型表示如下:

978-7-111-48405-9-Chapter03-27.jpg

式中,ω1ω2分别为两个优化子目标的权重系数,取ω1+ω2=1;λpλc分别表示系统当前运行点与临界运行点对应的负荷增长参数,λc-λp是以负荷增长参数表示的系统实际负荷裕度;∆λg是以负荷增长参数表示的系统理想负荷裕度。

比较式(3-11)与式(3-8)可见,由于采用系统所有负荷以线性、恒功率因数持续增长的负荷增长方式进行研究,使得电压安全裕度指标分量的表达式大大简化。另外,由于同一原因,表征系统当前负荷水平和临界负荷水平的向量ApAc改由相应的负荷增长参数λpλc代替,从而简化了问题的求解。如果实际运行中应用该方法确定系统的理想负荷运行点,系统运行人员可根据需要,采用适当的负荷增长方式,在式(3-8)基础上进行优化分析。

将式(3-11)中的目标函数和对应于系统当前运行点与临界运行点的等式与不等式约束条件分别展开如下:

(1)目标函数

除了对电压安全裕度指标分量进行优化之外,选择系统总发电成本最小作为目标函数:

978-7-111-48405-9-Chapter03-28.jpg

式中,NG表示系统发电机数;PGpi表示系统当前运行点第i台发电机的有功出力;k2ik1ik0i分别为第i台发电机的有功出力二次成本系数、一次成本系数和固定成本系数。

电压安全裕度指标分量为

978-7-111-48405-9-Chapter03-29.jpg

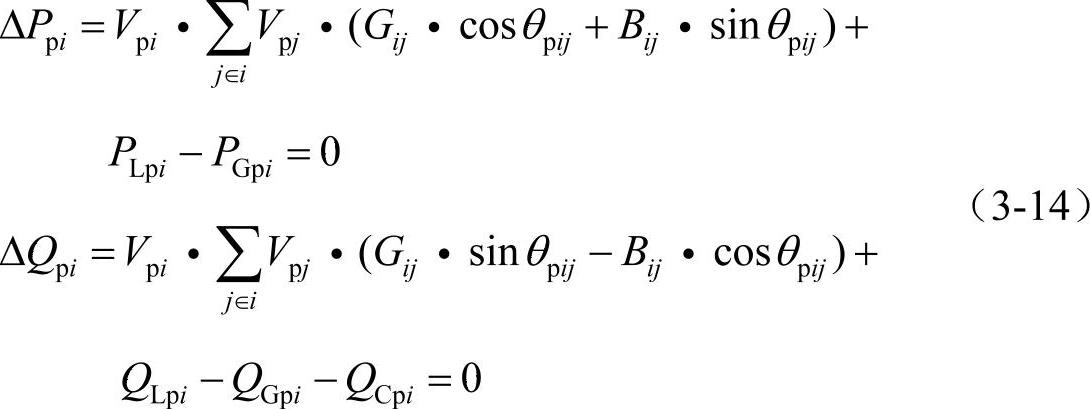
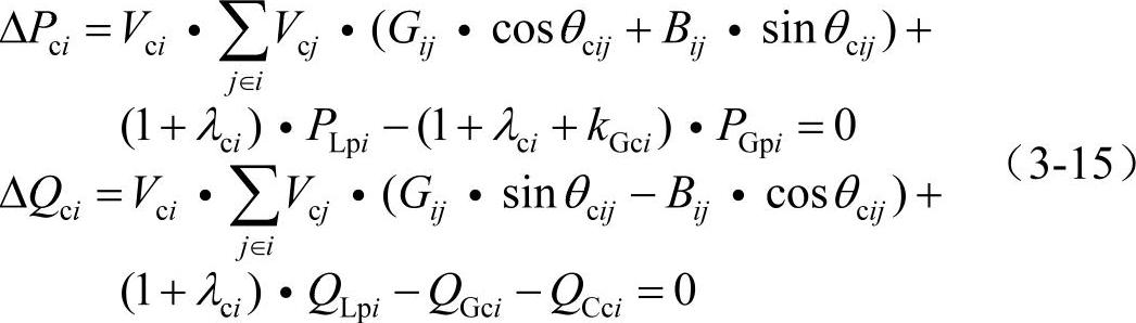
(2)等式约束(节点潮流方程)

系统当前运行点的潮流方程为

978-7-111-48405-9-Chapter03-30.jpg

系统临界运行点的潮流方程为

978-7-111-48405-9-Chapter03-31.jpg

式中,下标p和c分别用来标识系统的当前运行点和临界运行点;ij=1,2,…,n表示系统节点号;ji表示∑号后的标号为j的节点必须直接和节点i相连,并包括j=i的情况;QCpiQCci分别为对应于系统当前运行点和临界运行点的第i节点的并联无功补偿装置的补偿容量。对每个PQ节点及PV节点,需要满足以上两式中的节点有功潮流方程;而对每个PQ节点,需要满足以上两式中的节点无功潮流方程。

(3)线路潮流约束

系统当前运行点的线路潮流约束为

978-7-111-48405-9-Chapter03-32.jpg

系统临界运行点的线路潮流约束为

978-7-111-48405-9-Chapter03-33.jpg

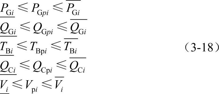
(4)变量约束

系统当前运行点的变量约束为

978-7-111-48405-9-Chapter03-34.jpg

式中,TBpi为对应于系统当前运行点的有载调压变压器的电压比。

系统临界运行点的变量约束为

978-7-111-48405-9-Chapter03-35.jpg

式中,TBci为对应于系统临界运行点的有载调压变压器的电压比。

2.求解方法

求解以上优化问题模型需要先确定系统的理想负荷裕度与目标函数的权重系数。因此,对于给定系统有必要首先采用已经发展成熟的电压稳定分析方法——连续潮流法进行电压稳定分析,确定对应于系统当前运行点的临界负荷点,并求解传统最优潮流模型得到当前负荷条件下的最优发电成本;然后根据同一负荷条件下两个不同量纲的目标函数之间的对应关系,确定目标函数的相对权重系数。下一节的算例分析将分别给出权重系数取不同值时利用该优化问题模型求得的系统总发电成本和电压安全成本。

原对偶内点法及其改进方法由于具有较好的数值鲁棒性和方便、易用的特点而被广泛应用于电力系统最优潮流计算。它的最大优点就是计算量随系统规模的增大而变化不大,适于求解大规模的系统优化问题。因此,采用预测-校正原对偶内点法对该优化问题模型进行求解。仿真结果表明,该算法对于求解本章的非线性规划问题非常有效。