3.6.3  计及理想负荷裕度范围的多目标最优潮流模糊模型

3.6.3 计及理想负荷裕度范围的多目标最优潮流模糊模型

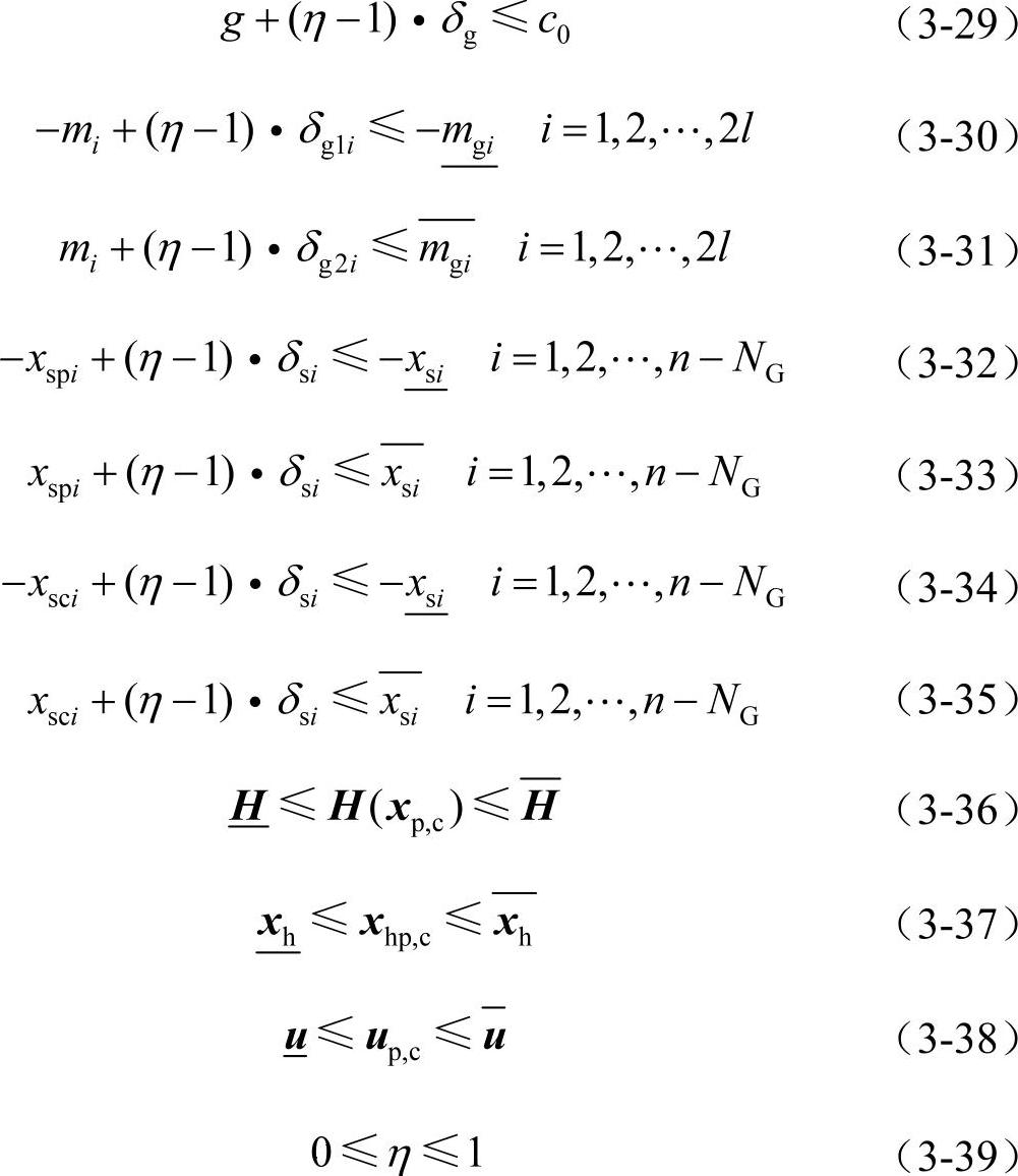
如上节中的讨论,计及理想负荷裕度范围的多目标最优潮流模型可转化为以满意度η最大化为目标的单目标非线性规划模型,其目标函数和相应约束分别表示如下:

(1)目标函数

978-7-111-48405-9-Chapter03-82.jpg

(2)等式约束(节点潮流方程)

978-7-111-48405-9-Chapter03-83.jpg

(3)不等式约束

978-7-111-48405-9-Chapter03-84.jpg