6.3.5 灰色模型预测法
灰色模型预测法(Gray ModelForecast)是通过少量的、不完全的信息,建立数学模型并做出预测的一种预测方法。灰色系统理论是研究解决灰色系统分析、建模、预测、决策和控制的理论。灰色预测是对灰色系统所做的预测。目前常用的一些预测方法(如回归分析等),需要较大的样本。若样本较小,常造成较大误差,使预测目标失效。灰色预测模型所需建模信息少,运算方便,建模精度高,在各种预测领域都有着广泛的应用,是处理小样本预测问题的有效工具。
灰色系统理论是由华中科技大学邓聚龙教授[2]于1982年提出并加以发展的。二十几年来,引起了不少国内外学者的关注,得到了长足地发展。目前,该方法在我国已经成为社会、经济、科学技术等诸多领域进行预测的重要方法之一。特别是它对时间序列短、统计数据少、信息不完全系统的分析与建模,具有独特的功效,因此得到了广泛应用。
1.概述
灰色系统是黑箱概念的一种推广。我们把既含有已知信息又含有未知信息的系统称为灰色系统。作为两个极端,我们将称信息完全未确定的系统为黑色系统,称信息完全确定的系统为白色系统。区别白色系统与黑色系统的重要标志是系统各因素之间是否具有确定的关系。一般地说,社会系统、经济系统、生态系统都是灰色系统。例如物价系统,导致物价上涨的因素很多,但已知的因素却不多,因此对物价这一灰色系统的预测可以用灰色预测方法。
灰色系统理论认为对既含有已知信息又含有未知或非确定信息的系统进行预测,就是对在一定方位内变化的、与时间有关的灰色过程的预测。尽管过程中所显示的现象是随机的、杂乱无章的,但毕竟是有序的、有界的。因此,这一数据集合具备潜在的规律,灰色预测就是利用这种规律建立灰色模型对灰色系统进行预测。
灰色预测通过鉴别系统因素之间发展趋势的相异程度,即进行关联分析,并对原始数据进行生成处理,来寻找系统变动的规律,生成有较强规律性的数据序列,然后建立相应的微分方程模型,从而预测事物未来发展趋势的状况。其用等时间距观测到的、反应预测对象特征的一系列数量值,构造灰色预测模型,预测未来某一时刻的特征量,或预测达到某一特征量的时间。
常用的灰色预测有以下五种:
(1)数列预测 即用观察到的反映预测对象特征的时间序列来构造灰色预测模型,预测未来某一时刻的特征量,或达到某一特征量的时间。
(2)灾变与异常值预测 即通过灰色模型预测异常值出现的时刻,预测异常值什么时候出现在特定时区内。
(3)季节灾变与异常值预测 即通过灰色模型,预测灾变值发生在一年内某个特定的时区或季节的趋势。
(4)拓扑预测 将原始数据作曲线,在曲线上按定值寻找该定值发生的所有时点,并以该定值为框架构成时点数列,然后建立模型预测该定值所发生的时点。
(5)系统预测 通过对系统行为特征指标建立一组相互关联的灰色预测模型,预测系统中众多变量间的相互协调关系的变化。
2.灰色预测模型
(1)数据预处理 为了弱化原始时间序列的随机性,在建立灰色预测模型之前,需要先对原始时间序列进行数据处理,经过数据处理后的时间序列称为生成列。灰色系统常用的数据处理方式有累加和累减两种。
累加是将原始序列通过累加得到生成列。累加的规则:将原始序列的第一个数据作为生成列的第一个数据,将原始序列的第二个数据加到原始序列的第一个数据上,其和作为生成列的第二个数据,将原始序列的第三个数据加到生成列的第二个数据上,其和作为生成列的第三个数据,……,按此规则进行下去,便得到生成列。分析过程如下:
记原始时间序列为
X(0)={x(0)(1),x(0)(2),x(0)(3),…,x(0)(n)} (6-62)
生成列为
X(1)={x(1)(1),x(1)(2),x(1)(3),…,x(1)(n)} (6-63)
上标1表示一次累加。同理,m次累加可表示为:

对于非负数据,累加次数越多则随机性弱化越多,累加次数足够大后,可认为时间序列已由时间序列变为非随机序列。一般随机序列的多次累加序列,大多可用指数曲线逼近。
累减是将原始系列前后两个数据相减后,得到累减生成列。累减是累加的逆运算,累减可将累加生成列还原为非生成列,并在建模中获得增量信息。
一次累减的公式为
x(1)(k)=x(0)(k)-x(0)(k-1) (6-65)
(2)建模原理给定观测数据序列
x(0)={x(0)(1),x(0)(2),…,x(0)(N)} (6-66)
经一次累加得到
x(1)={x(1)(1),x(1)(2),…,x(1)(N)}(6-67)
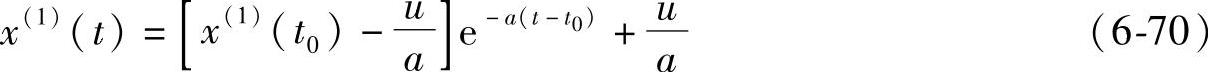
设x(1)满足一阶常微分方程

式中,a是常数,称为发展灰数;称u为内生控制灰数,是对系统的常定输入。方程(6-68)满足初始条件
当t=t0时x(1)=x(1)(t0) (6-69)
的解为

对于等间隔取样的离散值(注意到t0=1),则上式变为

灰色建模的途径是对一次累加序列(6-67)通过最小二乘法,来估计常数a与u。
因为x(1)(1)留作初值使用,因而将x(1)(2),x(1)(3),…,x(1)(N)分别代入公式(6-68),并用差分代替微分。又由于等间隔取样,Δt=(t+1)-t=1,所以

于是,由公式(6-68)得到

把ax(1)(i)项移到右边,并写成下面的向量数量积形式

前面在计算
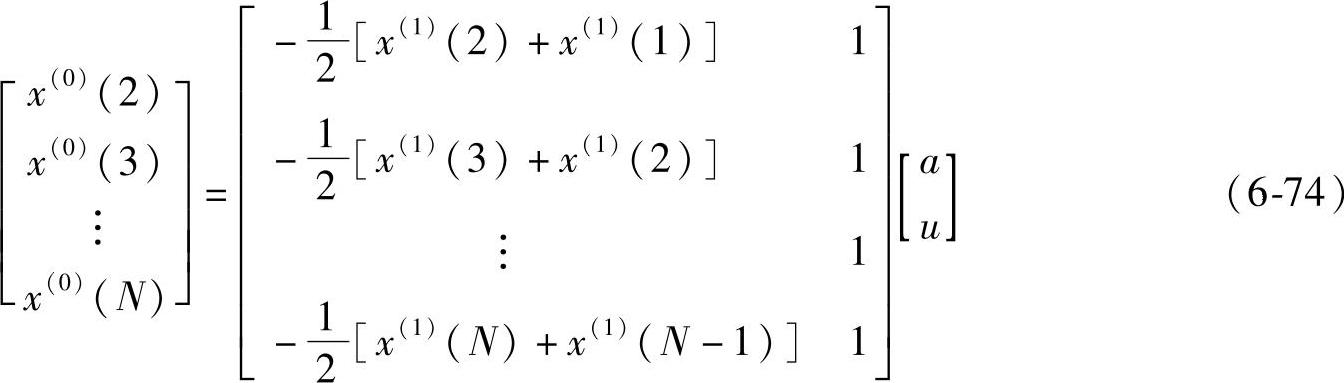
时涉及累加列x(1)的两个时刻的值,因此x(1)(i)取前后两个时刻的平均代替更为合理,即将x(1)(i)替换为

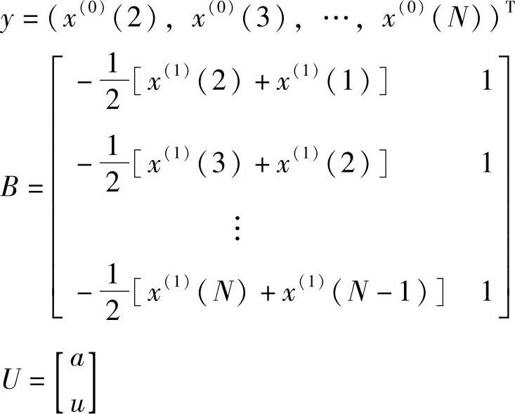
并将公式(6-73)改写为矩阵形式

再令

则公式(6-74)可改写为下面的矩阵形式
y=BU (6-75)
方程组(6-75)的最小二乘估计为

把上式中的估计值
与
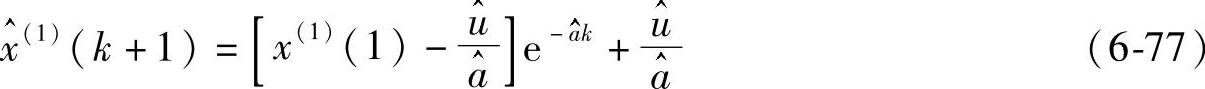
代入(6-71)式中,得到时间序列响应预测方程

当k=1,2,…,N-1时,由(6-77)式算得的
是拟合值,它是相对于一次累加序列x(1)的拟合值;当k≥N时,由(6-77)式算得的
是预测值。
在得到以上结果后,用后减运算还原。并当k=1,2,…,N-1时,就可得到原始序列x(0)的拟合值
;当k≥N时,得到原始序列x(0)的预测值为
。
(3)精度检验(https://www.daowen.com)
①残差检验。
残差

相对残差

②后验差检验。
x(0)的均值

x(0)的均方根值

残差的均值

残差的偏差

后验差比值

误差概率

③预测精度等级对照表,见表6-13。
表6-13 精度等级对照表

由于模型是基于一阶常微分方程(6-68)建立的,故称为一阶一元灰色模型,记为GM(1,1)。需要指出的是,建模时先要作一次累加,因此要求原始数据均为非负数。否则,累加时会正负抵消,达不到使数据序列随时间递增的目的。如果实际问题的原始数据列出现负数,可对原始数据列进行“数据整体提升”处理。尽管一阶常微分方程是导出GM(1,1)模型的桥梁,但我们在应用GM(1,1)模型于实际问题预测时,可以不用求解一阶常微分方程(6-68)。
(4)GM(1,1)的建模步骤
①由原始数据序列x(0)计算一次累加序列x(1)。
②建立矩阵B和y。
③求逆矩阵(BTB)-1。
④根据
,求估计值
和
。
⑤时间序列响应方程(6-78)计算拟合值
,再用后减运算还原,即

⑥精度检验。
⑦预测。
(5)应用 灰色理论以“部分信息已知、部分信息未知”的“小样本”、“贫信息”的不确定问题为研究对象,通过对“部分”已知的信息的生成开发,提取有价值的信息,构造生成序列的手段来寻求现实现象中存在的规律。因此灰色模型可用于工程技术、社会系统、经济系统、生态系统等领域。
①交通事故预测。交通事故作为一个随机事件,其本身具有相当大的偶然性和模糊性,如果把某地区的道路交通作为一个系统来看,则此系统中存在着一些确定因素(灰色系统称为白色信息),如道路状况、信号标志。同时,也存在一些不确定因素(灰色系统称为灰色信息),如车辆状况、气候因素、驾驶员心理状态等,具有明显的不确定性特征。因此,可以认为一个地区的道路交通安全系统是一个灰色系统,可以利用灰色系统理论进行研究。
②市场商品销售。随着生产的发展、消费的扩大,市场需求通常总是增加的,一个商店、一个地区的销售额常常呈增长趋势。因此,这些数据符合建立灰色预测模型的要求。
[案例] 某市2009年7~12月的交通事故次数统计见表6-14。试建立灰色预测模型,并迸行预测。
表6-14 交通事故次数统计

解:
根据前面介绍的GM预测模型工作步骤,完成建模和预测。过程如下:
1)原始数列(元素共6个):83、95、130、141、156、185。
2)第一次累加值:83;178;308;449;605;790。
3)根据公式
,计算得到
,
。
4)时间序列响应方程
X(k+1)=669.6167*exp(0.1440k)-586.6167 (a)
5)预测的结果x(k):83.0000;186.7130;306.4895;444.8174;604.5702;789.0661。
6)经过后减后还原,得到模型拟合值
:83.0000;103.7130;119.7765;138.3279;159.7528;184.4959。
7)利用公式(6-78),计算残差E(k):0.0000;-8.7130;10.2235;2.6721;-3.7528;0.5041。
8)利用公式(6-79),计算相对残差e(k):0.0000;-0.0917;0.0786;0.0190;-0.0241;0.0027。
9)利用公式(6-80),计算原数据均值
10)利用公式(6-81),计算原数据均方根值S(1):34.7355
11)利用公式(6-82),计算残差的均值
12)利用公式(6-83),计算残差的偏差S(2):5.7986
13)利用公式(6-84),计算后验差比值C:0.1669
14)利用公式(6-85),计算误差概率P:1.0000
15)查表6-13可知,预测精度等级:好!说明本例预测公式可以使用。
16)预测:
213.0714次——2009年1月;246.0728次——2009年2月;284.1855次——2009年3月。
预测结果表明:如果该市不采取更有效的交通治理措施,那么来年(2009年)1月的交通事故次数将上升至213次,2月的交通事故次数将上升至246次,3月的交通事故次数将上升至284次。