8.5.3 资源优化
网络分析不仅要对时间进行合理安排,而巨要考虑到资源优化。所谓资源,就是各个工作在进行时所需要的人员、设备和材料等。当一项任务的总工期确定后,下一步就是要对各个工作所需要的资源作出合理的安排,以多快好省地完成预定任务。
资源优化的基本原则是:首先要保证关键线路上各关键工作对资源的需要量;其次,要充分利用时差,错开有关工作的开始时间,使每天资源累积用量不超过限制量,并趋于均衡;第三,如果客观条件允许,也可以采用延长工时的方法,减少每天所需要资源的数量。
资源优化的基本内容包括两个方面[1]:一是工期固定,资源均衡的问题;二是资源有限,工期最短的问题。
1.工期固定,资源均衡
制订一项计划,总期望资源优化能够尽量保持均衡,使计划内各工作所需资源累积消费量,不出现过大的高峰或低谷。例如一项计划人力需要量,若能每天基本保持均衡,则可避免大量窝工或忙闲不均的现象;对于某些非库存性材料,象建筑工地上的混凝土砂浆,只能随拌随用。若每天消耗量大致均衡,就可以提高搅拌和运输设备的利用率。“工期固定、资源均衡”就是要在计划工期不变的前提下,实现资源分配的均衡。评价一项计划的均衡性,常用方差来表示,方差越小,则表示均衡性越好。方差的计算公式为

式中,σ2是资源消耗的方差;T是计划工期;Rt是某种资源在第t天的消耗量;
是某种资源每天的平均消耗量。
由于计划工期T是固定的,资源每天平均消耗量
也是常数,所以欲使σ2降低,必须使
减少。因此调整的思路就是在各工作总时差的范围内,调整有关工作的开始时间,使
逐步减少。
[案例] 某施工队承担的道路施工项目共有5道工序,其资料见表8-10。现施工队共有20人,应如何组织施工,才能使工程在14天内完成?
表8-10 工作明细表

解:本问题属于工期固定,资源均衡问题。
1)根据工程资料,绘制网络图,结果如图8-18所示。

图8-18 网络图
2)求出该网络的关键线路为

关键线路的路长为14天,即整个工程的工期为14天。
3)根据每天总的劳动力的需要量,画出劳动力分布图,如图8-19所示。
4)分析在整个14天工期内劳动力的分布是否均衡(即资源的分配是否均衡)。
从图8-19可以看出,工程前4天共需要劳动力28人,而整个工程队只有20人,显然不能如此组织施工。为了在现有人力资源的条件下,使工程按期完工,可以利用工作的总时差和分时差,进行资源的合理调配。
5)资源调整。调整原则:首先要保证关键线路上关键工作的资源需求量;其次,充分利用各工序的机动时间(时差)来错开各工序的开工时间;第三,时差大的工作适当往后推迟开工期,或者在技术规程允许的情况下,延长工作完工期,以减少每天所需要的工人数(或资源)。
根据上述原则,进行工程劳动力调整:前4天劳动力需求量最大,是因为工作A、B、C同时开工造成的,所以,要想办法错开工作的开工时间。但A是关键工作,需优先保证劳动力的需求,故考虑调整B、C的资源供给。工作B、C均有机动时间,其中C工作的时差最大,为6天,所以,让工作C尽量推迟开工,如让工作C与工作A同时完工,即将网络图改为图8-20的形式,这样,每天需要的劳动力分布图就如图8-21所示。

图8-19 劳动力分布图
关键线路为

路长为14天。显然,经过以上调整后,在现有的人力条件下,可以按时完工。

图8-20 改进的网络图(https://www.daowen.com)
2.资源有限,工期最短
一项任务在一定的期间内所能得到的资源总是有一定限制的。因此,如果网络计算的结果在某些时间段内,资源的需要量超过可能供应的额度,则原有计划就不可能实现,所以必须对各个工作重新安排和调整。一般说来,由于资源供应的限制,往往使某些工作不可能在某一时间内同时进行,如超出该项工作时差的允许范围,则会使整个任务延期。因此,在资源合理安排时,应分析一下究竟推迟哪项工作才能不拖延或拖延最少的工期,这就是资源有限,工期力求最短的优化问题。

图8-21 每天需要的劳动力分布图
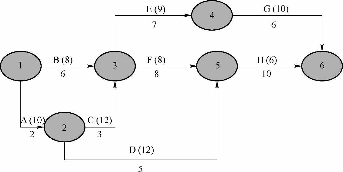
[案例] 某项建筑工程的网络图如图8-22所示。图中箭线上括号内的数字为各项工作每天设备需求量。假设该项任务需要的设备日最大供应量为20台(套),问在此条件下,工期最短的方案。
解:本问题属于资源有限、工期最短问题。
解题步骤如下:
1)计算各工作时间参数。计算结果见表8-11。图8-22中括号()中的数字为各工作所需的设备台(套)。

图8-22 某项建筑工程的网络图
表8-11 计算结果

2)按照工作最早开始时间,将网络图用时间坐标法绘出,同时绘出相应的资源负荷曲线,如图8-23所示。
3)在资源负荷曲线图中,自左向右,检查每天资源需要总量是否超过最大供应量Rmax(本题为20台(套)),如超过时则对有关工作的开始时间进行调整。
在一任意区间(tA-tB)中,可能包含多项工作,其中有些工作是在tA时刻开始的,有些工作是在tB以后或者就在tB时刻结束,在这些工作中究竟调整哪些工作,可根据不增加总工期或者增加最少的原则,按下式计算处于某一区段内各工作的调整系数Kij,系数值较小者,优先后移。

图8-23 用时间坐标法绘出的网络图
Kij=tB-tES(i,j)-ΔtF(i,j) (8-25)
在本例中,如图8-23所示,第二区段的tA=2,tB=5,而R(2,6)=32>20,故须对设备资源进行调整。该区段内包括三项工作,代入式8-25,得出相应的调整系数为
K(1,3)=5-0-0=5 K(2,3)=5-2-1=2 K(2,5)=5-2-7=-4
由此可见,K(2,5)最小,故把工作D向后移出这个时间区间,该工作移动后仍留有4天的时差。调整后,此区间每天设备资源需求量下降为20台,符合规定限量。
4)在调整完一个时间区间后,要重新计算逐日设备资源需要量,绘出新的资源负荷曲线,如图8-24所示。接着在新的资源负荷曲线上进行调整。本题第三区段的tA=6,tB=10,而R(6,10)=29>20,故须对设备资源进行调整。该区段内也包括三项工作,代入式(8-25),得出相应的调整系数为
K(3,4)=10-6-5=-1 K(3,5)=10-6-0=4 K(2,5)=10-5-4=1
因此,将工作E移到第10天后开始,如图8-24所示,以此类推,最后设备资源曲线中所有时间区间内的资源需要量均等于设备资源限定量20台,而同时新的网络计划总工期仍是24天,这就是经过调整后的最短工期。如图8-25所示。运用这种调整方法,总工期即使增加,也是增加天数最少的。

图8-24 资源负荷曲线

图8-25 调整后的最短工期