10.1.9 决策问题描述
2026年01月14日
10.1.9 决策问题描述
对于简单决策问题,既可以用矩阵式表格表示,又可以用决策树表示。但对于复杂决策问题,用决策树来表示就比较恰当了。
1.矩阵表示法
其中:
状态集合S={s1s2 … sn}
决策空间或方案集合D={d1d2…dm}
收益值cij=f(di,sj)未来状态出现概率情况
表10-2是决策问题的矩阵表示。表10-3是针对未来天气是否需要开工的决策问题分析的矩阵表示。
表10-2 决策问题的矩阵表示
(https://www.daowen.com)
表10-3 针对未来天气是否需要开工决策问题分析的矩阵表示

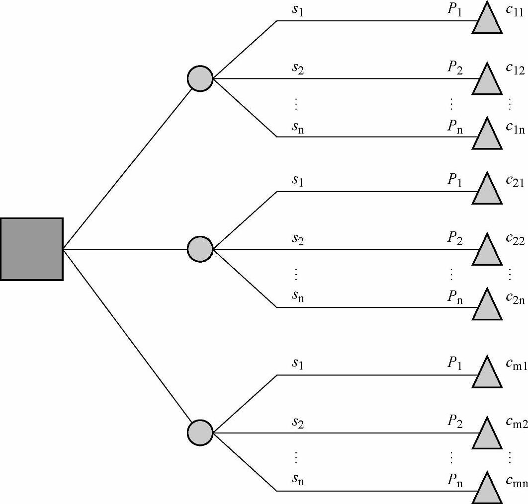
2.决策树表示法
在决策树中,用方框表示决策点,用圆圈表示状态点,并用小三角表示树的末端。在图中方框引出方案枝,圆圈引出状态枝,状态枝的末端画上三角表示结束,并注明损益值。具体表示如图10-3所示。图10-4是针对未来天气是否需要开工的决策问题分析的决策树表示。

图10-3 决策树表示法

图10-4 是否开工问题的决策树