啮齿动物繁殖特性调查
研究啮出动物繁殖的基本手段是研究捕获的标本。为此,一般要逐月逐旬捕获一定数量的研究对象。对标本除作一般的测量记录外,应着重对性器官(内、外生殖器官)的形态变化作细致的观察记录。
(一)雌鼠繁殖的研究方法
1.生殖周期用阴道涂片法观察阴道分泌物和黏稠度,区别生殖周期的各个阶段。具体步骤是用光滑的火柴棒,一端裹上少许脱脂棉,插入活鼠或死亡不久的鼠尸阴道内0.5~1.0 cm,采样做阴道涂片。涂片用龙胆紫水溶液染色。在显微镜下观察,并对白细胞、角化上皮细胞和有核上皮细胞等分别计数,求出各类细胞所占的百分数。
各时期的阴道分泌物及阴道外观特征见表1-6。
2.妊娠期与妊娠率性成熟或已进入动情期的雌鼠,卵巢表面可以看到大而透明的成熟滤泡。
(1)潜伏期和妊娠初期子宫外观上尚无变化,可看到均匀加厚的现象;有胚胎的部位在透光观察时,可见玫瑰色或褐色纹斑,但胚胎数尚不易分清。因此,只能借助观察卵巢上的黄体数(即排卵数)来判断胚胎数。
表1-6 雌鼠各时期的阴道分泌物及阴道外观特征

(2)妊娠中期在子宫壁上可以看到玫瑰色球形胚胎,胎盘逐渐可见。
(3)妊娠后期透过半透明的子宫壁,可以看到器官分化趋于完成的胚胎。
通过逐月逐旬解剖雌鼠,可计算出种群中雌体的妊娠率。(https://www.daowen.com)
![]()
如能在繁殖期开始就连续收集各发育阶段不同大小的胚胎,则能了解并掌握该鼠种的妊娠期、胚胎发育的全部过程和形态变化。各种啮齿动物的妊娠期不尽相同,就是同种鼠的妊娠期亦有变化。从第1只妊娠鼠到第1只哺乳鼠之间的相隔时间,大致可以推测出妊娠的天数。
3.胚胎数和子宫斑进入妊娠中期以后的孕鼠,在其子宫壁上可以看到明显的胚胎。胚胎数可以作为雌鼠繁殖强度的指标之一。如雌鼠营养不良,可见在子宫壁上出现吸收胚胎(死胎),也应记录下来。子宫斑是分娩后在子宫壁上留下的胎盘班痕。对于已产仔的雌鼠,根据子宫斑的数日,可推算出已产仔数。子宫斑一般能保存半年左右或更长的时间。多周期的鼠类,新旧子宫斑相间排列,新班黑而粗,旧斑淡而细。按照子宫斑的大小和色彩,可以推知所产窝数和每窝仔数。
4.哺乳期通过乳腺和乳头状态的检定、可以确定雌鼠是否处于哺乳期。乳头小,隐于腹毛中,不能挤出乳汁,表明末进入哺乳期;腹部膨大,乳腺明显,乳头也容易发现,但乳头周围无无毛区,表明是妊娠最后阶段的雌鼠;乳腺膨大,乳头明显、红润,乳头周围有无毛区,捏挤乳头能挤出乳汁,则为哺乳期的雌鼠;而只能挤出透明液体者,表明不久前才结束哺乳;乳头大,周围开始生出短毛,压挤乳头无乳汁流出者,表明哺乳早已结束。
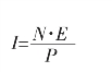
5.繁殖指数繁殖指数是指整个繁殖过程中,在一定时间内,平均每只鼠可能增殖的数量。设P为总捕获鼠数;N为孕鼠数;E为平均胎仔数。则繁殖指数(I)可用如下公式计算:

(二)雄鼠繁殖的研究方法
通常采用对睾丸的重量(左右合计)和大小(长轴)、附睾和精囊腺的研究确定雄鼠的繁殖状况。
1.性未成熟期睾丸在腹腔内,小而呈脂白色;附睾不发达;精囊腺小而透明,呈谈白色的小钩状。
2.性活动期睾丸降入阴囊,而且增大、坚实;附睾发达,在其尾部可以看到充满精液、清晰透明的输精小管,精囊腺肥大白色。剪破附睾尾做精液涂片,在显微镜下可以看到大量成熟的精子。
3.繁殖末期精囊腺明显退化,睾丸萎缩松软;附睾收缩变小,做涂片时,仍可看到精子。多数性成熟的雄体,在繁殖季节。睾丸自腹腔降入阴囊中,繁殖季节结束以后,重新隐入腹腔内。雄鼠睾丸位置的变比也可作为判断繁殖情况的依据。