药剂测定和评价
优良的灭鼠剂,应该是安全、有效、使用方便和价廉易得的。有毒的药物很多,但能用于灭鼠的仅占其极少的—部分。这是因为有毒是灭鼠的先决条件,但不是唯一条件。要使毒物进入鼠口发挥毒杀作用,还必须解决“入口”问题。经口灭鼠药一般要鼠自行食入,所以,衡量毒物是否可以用于灭鼠,通常需要考虑灭鼠剂的毒力、适口性、作用速度和杀灭效果等问题。这些不仅是正确选择和评价灭鼠剂的重要环节,也是鼠害治理研究的基础。
(一)药剂的适口性测定
适口性表明了鼠类对灭鼠剂毒饵的接受程度。判断毒剂适口性的好坏,不能依赖人类的感官和主观判断,而应直接用靶子鼠进行试验。现今衡量适口性的标准为“摄食系数”,它代表鼠类取食毒饵的比例。摄食系数的测定可以在实验室内进行,也可以在灭鼠现场进行,可以仅投以毒饵(无选择性试验),包可同时投以毒饵和无毒饵(有选择性试验)。
1.测定所用仪器、工具及试鼠电子天平(感量不大于10 mg)、托盘、镊子、养鼠盒(或带铁网盖的养鼠罐)、试鼠饵料(面粉、玉米粉、豆粉、骨粉、鱼粉)烘箱、小白鼠(体重18~40 g,每组40只)、毒饵。
2.原理及实验方法适口性是指鼠类遇见该种灭鼠剂时的喜食程度或接受程度。故亦称为接受性试验。到目前为止,尚无评价适口性的统一的客观标准,只能通过毒饵与空白诱饵,毒饵与另一种毒饵的对比试验来判断适口性的好坏。适口性试验方法比较多,试鼠可以单独饲养或群体饲养;可以只投以毒饵统计死亡率(无选择性试验),也可以投以毒饵和无毒对照诱饵,统计摄食系数和死亡率(选择性试验)。除实验室试验外,还可以在灭鼠现场进行试验。常用的是群体有选择试验方法。
每组动物20~30只,将毒饵和无毒对照诱饵分别置入相同的盛饵60容器中,放入鼠笼,每2~4 h将毒饵和无毒诱饵的位置对调一次,8~24 h后,分别统计毒饵60和无毒饵的消耗量。试鼠仍正常饲养,观察并记录其死亡情况,计算摄食系数和死亡比。

一般认为,摄食系数大于0.3者,表示适口性好,摄食系数在0.1~0.3时,表示适口性尚可,小于0.1者,适口性较差,若小于0.01,则不宜使用。死亡比大于8/10为效果好,若低于5/10,则效果差。如果同一试验重复若干次,可以算出食饵消耗量的平均数及标准差,进一步用成对比较法检验毒饵与空白对照诱饵适口性的差异;亦可用同法比较两种毒饵的适口性。如果测得某种灭鼠剂各浓度梯度的摄食系数,可以探测毒饵浓度改变时,毒饵适口性随之而产生变化的趋势。并借以选择最适浓度。
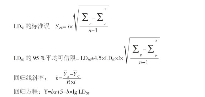
(二)药剂致死中量测定
灭鼠剂的毒力通常用“致死中量”或“半数致死量”(median lethal dose,LD50)表示。致死中量为毒死半数受试动物的剂量,其单位为每千克体重的动物所需药物的毫克数(mg/kg)。LD50愈小,灭鼠剂毒力愈强。致死中量代表群体的致死量水平,其对数为群内个体致死量对数的平均值,是最有代表性的。可以利用统计学原理,以较少的试验动物,通过适当的方法求出,因而是比较各种灭鼠剂的毒力和各种动物对某种药物感受性的最适宜的指标。但是致死中量仅能代表种群致死量的—般水平,不能反映种群中各个体对药物感受性的差别。对灭鼠药物来说,个体差的大小直接关系到灭效的高低。致死中量相近但个体差不同的两种灭鼠药物,若其他条件(如适口性等)类似,则个体差小者效果好。这是因为耐药力大的个体越少,残存鼠数越少。因此,在测定药物致死中量时,还应测定其标准误。LD50很接近的两种灭鼠剂,若标准误相差较大,灭鼠效果会有明显的区别。
1.测定所用仪器、工具及试鼠电子天平(感量不大于10 mg)、托盘、镊子、养鼠盒、灌胃器,小白鼠(体重18~25 g,每组正式实验不少于65只),实验用药剂。
2.测定方法测定前,需进行预实验,目的是找到一个0死亡的最大剂量和100%死亡最小剂量的估计值,以决定实验中采用的最大剂量(Dm)和最小剂量(Dn)。
(1)孙氏综合法(点斜法)测定前,需进行预实验,目的是找到一个0死亡的最大剂量和100 %死亡最小剂量的估计值,以决定实验中采用的最大剂量(Dm)和最小剂量(Dn)。
●预实验方法测定分四组,每组用鼠4只,采用灌胃法一次性给药,给药量分别为5 mg/kg、50 mg/kg、500 mg/kg、5000 mg/kg。正常喂养,观察3日,记录死亡试鼠数,然后在死亡数4/4和0/4两组间按1∶2以下的剂量比进行重复试验,测出近似的0和100%死亡率的值。
●LD50测定正式试验在测得Dm值后,进行正式测定。试验分5组,每组10只小鼠,组间按7.0~9.5折等比排列,各给药组和溶剂对照组按体重采用灌胃法一次性给药,试验当日多次观察,第二日至最后一日每日观察二次以上并及时记录毒性反应症状,死亡时间等,第四日全部试鼠测量体重处死解剖,观察病变情况(表1-13)。
表1-13 对小鼠的毒性测定原始数据和计算资料

注:Dm,估计最大致死量;Xm,Dm的对数值;n,每组动物数;K,组数;i,组间剂量比例的对数;Yh,高半组Y值的均数;Yc,低半组Y值的均数;R,Yh与Yc间的组距数。
●测定数据处理对表1-13数据,按公式计算出该药剂对小鼠LD50及有关的数据。


孙氏综合法(点斜法)所测的数据,采用计算机软件程序很容易计算出所有结果。
(2)Dixon序贯法(上下法或称阶梯法)
●测定步骤测定采用灌胃法一次性给药,按等比级数安排5或7挡剂量。试验从大剂量开始,给药后,观察1~10分钟,如动物死亡,在表中用“×”记录,下一只动物降低一挡剂量给药,如存活用“Δ”表示,下一只动物则升高一挡剂量给药,依次进行到最后一只动物(试验动物数28只,表1-14)。
表1-14 序贯法测定LD50试验记录

●测定数据处理
表1-15 Dixon序贯法实验结果整理

i=(组次间剂量的对数差)(N)(A)(B)

(三)药剂毒杀效果单个试验
以小白鼠和靶子鼠为试验对象,每次10~15只鼠。一鼠一罐,单独饲养。试验时,每罐放食饵盒2个,一个放毒饵,一个放对照饵料。每日称量毒饵和对照饵料的消耗量,并调换食饵盒位置,以消除鼠类对位置选择的影响。供给充足的饮水,试验期4 d。计算毒饵和对照饵料的总消耗量及分别所占的比例,作为毒饵适口性指标,比例≥35.00%(国标31%)适口性好;计算试验对象的死亡比,作为毒饵的作用效果指标,≥85%(国标80%)为合格品。
1.测定仪器、工具及试鼠电子天平(感量不大于10 mg)、托盘、镊子、养鼠盒(或带铁网盖的养鼠罐)、小白鼠(体重18~25 g)、试鼠饵料、实验用药剂。
2.测定过程正式实验开始前,将药剂按不同的比例加入到试鼠饵料中,或用药剂浸泡小麦粒几分钟后,晾干备用。
对选择供试的小白鼠个体,按雌雄逐个称量体重,随机编号,每组的试验鼠为10只,一罐一鼠,加入毒饵与空白饵料,连续饲喂3 d,3 d后改为正常饲料饲喂,观察试鼠在取食后的反应及中毒情况,记录死亡时间及取食后和死亡前的症状。对照组用普通饲料喂养,方法同试验组。根据试鼠的死亡数计算死亡率。判断该药剂的毒性级别和适口性。
3.数据处理
![]()
死亡率表示在试验过程中实验组试鼠的死亡情况,它反映了含毒饵料对试鼠总的毒杀情况,但它不能排除试验过程中的误差,既在试验过程中由于其他因素引起试鼠的死亡情况,采用校正死亡率表示的试验结果可以排除由于其他因素造成的试验误差。校正死亡率按以下公式计算。(https://www.daowen.com)

采用校正死亡率可以更为准确的表达药剂对试鼠的毒杀效果。
(四)药剂毒杀效果群体试验
在大饲养池进行,每次试验10~15只鼠。池中四角各放一各食饵盒,毒饵和对照饵料等比投放,试验期为4 d。在群体影响下,测定鼠对毒饵和对照饵料的消耗量。杀灭效果≥85%(国标80%)为合格品。
1.测定仪器、工具及试鼠电子天平(感量不大于10 mg)、托盘、镊子、养鼠盒(或带铁网盖的养鼠罐)、小白鼠(体重18~25 g)、试鼠饵料、实验用药剂。
2.测定过程正式测定开始前,将药剂按不同的比例加入到试鼠饵料中,或用药剂浸泡小麦粒几分钟后,晾干备用。
对选择供试的小白鼠个体,按雌雄逐个称量体重,随机编号,每组的试验鼠为10只,放在同一饲养盒中群体饲养,加入毒饵与空白饵料,24 h后改为正常饲料饲喂,观察试鼠在取食后的反应及中毒情况,记录死亡时间及取食后和死亡前的症状。对照组用普通饲料喂养,方法同试验组。在群体影响下,测定鼠对毒饵和对照饵料的消耗量,判断该药剂的毒性级别和适口性。
3.数据处理

群体死亡率表示在试验过程中实验组试鼠的总体死亡情况,消除了因个体差异引起的杀灭率误差,更能反映毒饵的实际杀灭效果。
(五)药剂毒杀效果现场试验
对试验场地进行调查,检查鼠道和有鼠活动的场所。对家鼠类和田鼠类,在有活动的场所,设置大的分格食饵盘。内放毒饵和其他毒饵及对照饵料,供鼠选择。每日称量毒饵及对照饵料的消耗量,持续3 d。计算供试毒饵及对照饵料的每日消耗量,作为毒饵适口性指标,摄食比例高于总的平均值,杀灭效果≥85%为合格品。
现场毒杀效果试验是在接近灭鼠实际水平上的科学试验活动。它对于检验灭鼠药物、灭鼠工具和灭鼠措施的效果以及对于指导灭鼠实践都有重要的意义;其作用是实验室试验所不能代替的。在新药剂或方法推广之前,必须经过现场试验考察。
现场试验不能代替单个试验,因为优良的毒饵必须具备3个标准,即总的消耗量、每只鼠的平均消耗量和摄食毒饵个体所占的比例。消耗量和摄食率比例愈大,杀灭效果愈好。当摄食比例为60%~80%时,即使消耗量再大,其杀灭效果也不会理想。现场试验得不到鼠的个体平均日消耗量和摄食率个体所占的比例这两个指标。
1.现场试验的基本要求试验目的必须明确。现场试验项目多,机械灭鼠、化学灭鼠或生物灭鼠中的任何方法都可以在现场试验中进行检验,以判断其是否有实用价值;也可以对不同方法加以对比,以鉴定其优劣。在化学灭鼠的范围内,常用的现场试验有药效比较,诱饵、药物及其使用浓度的选择,灭鼠适宜时期的选择和残效期试验等。1次试验,只能确定1个目标,解决1~2个问题。
(1)试验区的选择试验区应选在鼠害较严重的地区,优势鼠种及其生态环境应与计划推广的地区相同,至少应与之相近,而且要有足够的面积。为特殊目的而设置的试验区,可以不受上述条件的限制。
(2)样方设置药剂毒杀效果试验样方多选方形,面积为0.25~1 hm2。样方四周应有明显的标志,外围设10~20 m的保护带。也可不设固定面积的样方,而用灭洞率或灭鼠率表示。但无论何种形式,都需要设边界标志和保护带。各种处理的样方应重复3~5次;同时应设对照(或对照洞口),对照样方也应设相应的重复。试验采取随机排列和有局部控制的随机排列为主,简单的对比试验,也可用对比排列法。
(3)详细记载记录的内容包括试验区的环境条件、样方设置、处理方式和处理时间等,最好预先设计表格,按时填写,如果附有地图则更好。记载时,应实事求是,以观察的结果为准,切勿以想象代替观察,尽量避免人为误差。
(4)安全与保护任何药剂现场试验,都应注意人、畜安全,试验区必须设置醒目的标志,避免人为活动对试验设施和标记的破坏,以保障试验的完整性和系统性。
2.现场试验程序及方法现场试验程序一般包括试验准备、实施、灭效检查和资料整理等。试验准备包括题目的确定、试验区的选择和试验设计的编写,也包括物资、设备的准备和运输等。试验实施是指在试验区内,按照试验方案设计逐步完成试验的过程。试验必须严格按照设计要求进行,执行中如果发现问题,应经过研究而修改设计,决不允许操作人员擅自修改。灭效检查,应根据试验设计的要求进行,以保证试验结果的可比性。
现场试验前24 h,在样地内放鼠夹50个以上,24 h后检查捕鼠数,投放药剂若干天(一般3~7 d)后,用同样方法、同型号、同夹数,同样诱饵,在同一时间进行捕鼠,24 h后检查,记录捕鼠数。
3.结果分析灭鼠效果通常用灭鼠率来衡量,灭鼠率直观、简便,操作性强,是传统的评估方法。但灭鼠率并不能准确地表明对害鼠打击的程度。许多鼠种繁殖力特强,灭鼠后可以很快恢复。如一对子午沙鼠每年大约生产20个幼仔,在灭掉90%之后,下一年又会恢复到原有数量。90%的灭效虽然是一个相当不错的灭鼠率,但从消灭害鼠的角度来考虑,仍然没有达到要求。这当然是一个极端简化的例子,但一些实际的灭鼠试验也可以说明这个问题。
由此可见,灭鼠率不能表明灭鼠活动的真实效果,相比之下,残留密度更能说明灭鼠的成效。不过,怎样的残留密度才是可容忍的,不同鼠种之间有很大差别,不同背景下的同一种鼠也可能有所不同,显然不是随意可以回答的问题(要回答这个问题,就得测定其EIL及ET)。这大概是用残留密度衡量灭效至今没能推广的原因。不过在城市灭鼠工作中和卫生灭鼠考核中,已经逐渐在应用这种标准。
灭鼠率的测定方法当鼠类密度达到一定数量,预测会发生危害时,需要采取防治措施,防治效果调查是评价灭鼠成绩和总结防治经验的重要环节,调查包括两方面内容,一是调查鼠数量减少率,二是调查林木受害的减少率。
(1)害鼠减少率调查
●鼠铗法在灭鼠前24 h,在样地内放鼠夹100个以上,24 h后检查捕鼠数,灭鼠若干天(一般3~7 d)后,用同样方法、同型号、同夹数,同样诱饵,在同一时间进行捕鼠,24 h后检查,记录捕鼠数,计算灭鼠效果,用捕鼠率表示:

●查洞法对于洞系明显的鼠类可选用检查掘开洞方法,先把样地里的洞堵严,洞内如果有鼠,洞被重新掘开,称为有效洞口,记录掘开洞数,并作标记,毒饵灭鼠5~7 d后,再次堵洞,调查灭鼠后掘开洞数,计算灭洞率:

对于鼢鼠可用开洞堵洞法,灭鼠前先把样地里的洞道掘开,洞内如果有鼠,就会将掘开的洞口堵上,并记录堵洞数,并做好标记,灭鼠5~7 d后,用同样的方法调查堵洞数,记录灭洞率:
![]()
●校正法以上两种方法调查灭鼠效果,会因为自然死亡及灭鼠捕鼠等原因,而造成一定程度的误差,所以在计算过程应加以校正,方法是设对照样地。和试验样地进行同样的调查,对照样地不灭鼠,计算出灭鼠原因以外鼠洞或鼠减少的百分率,作为校正值:

计算校正灭鼠率:

鼠的数量减少,在一定范围内密度降低,是防治效果的主要标准,但在林业生产中,还需要调查灭鼠使林木受害的减少率。
(2)林木被害减少率调查
调查林木被害减少率时,需要设不灭鼠的对照地,灭鼠地灭鼠后,直到害鼠危害时期基本结束后,调查灭鼠地和对照地相同数量林木株数,一般应在300株以上,记录被害株数,计算灭鼠后林木受害减少率:
