第5章 芳香烃
问题1 为什么用混酸硝化N,N-二甲基苯胺,主要得到间位产物?
问题2 完成转化

问题3 建议机理

问题4 完成反应并建议机理

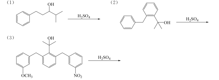
问题5 完成转化

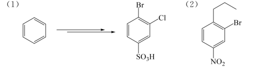
问题6 完成反应


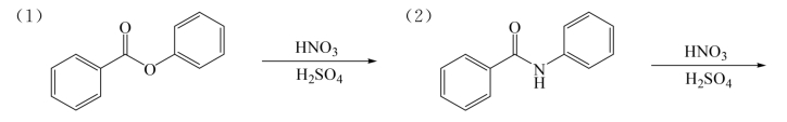
问题7 完成反应

问题8 蒽和菲各有多少个等价的共振式?
问题9 合成设计

问题10 合成设计

习题
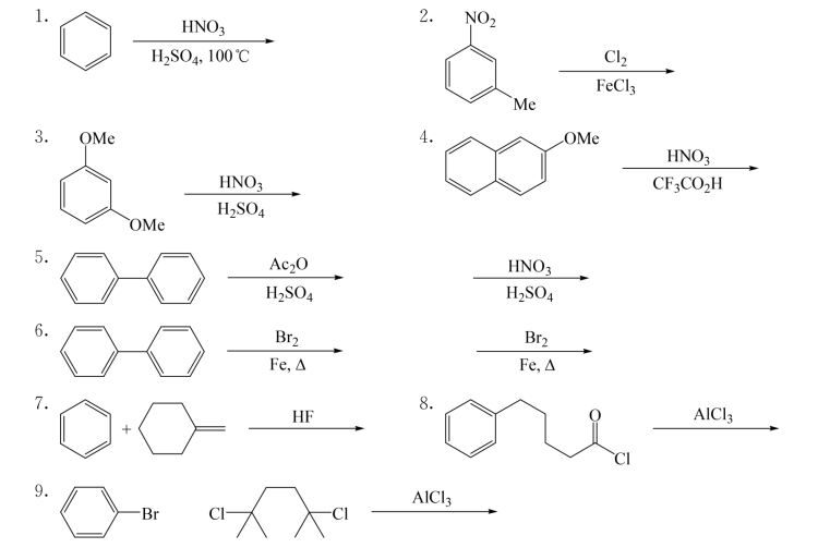
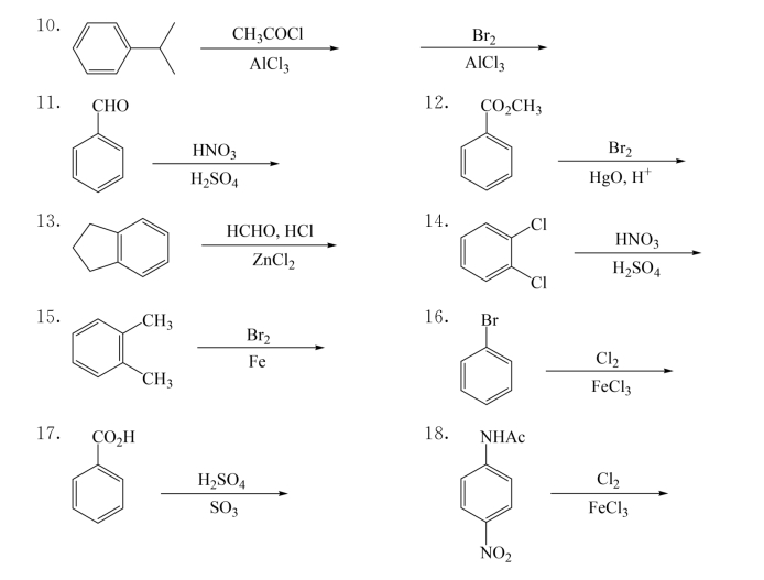
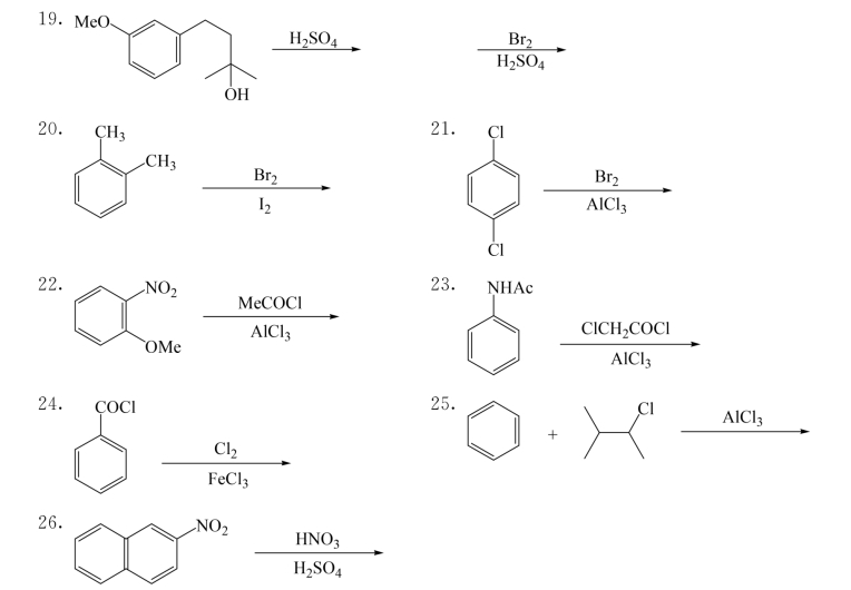
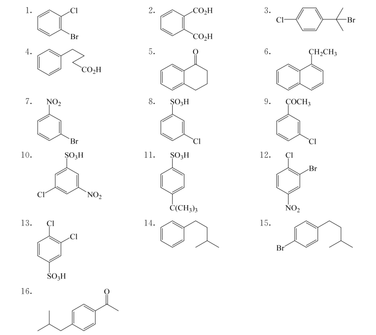
一、完成反应



二、由指定原料合成
(一)以苯为基本原料合成:
(https://www.daowen.com)
(二)以甲苯为基本原料合成:

(三)分别以苯、甲苯为基本原料合成:

三、选用适当合理的原料一步合成TM并评论.

提示:吡啶(pyridine)氮类似于硝基,有吸电子效应
四、由适当开链原料合成3,6-二甲基-1,2-苯二甲酸二甲酯.

五、结构推导
1.化合物A(C10H10)能使Br2/CCl4、KMnO4/H2O溶液退色,经热KMnO4氧化得到邻苯二甲酸B,经臭氧化-还原水解产生邻苯二乙醛C.试给出A的结构.
2.某芳烃A分子式为C10H14,以酸性KMnO4氧化得到一种酸B,中和0.830g B需要0.100 mol/L的NaOH溶液100.0 mL,A以混酸硝化只生成一种一硝化产物,以NBS/CCl4溶液处理A,主要生成一种一溴代产物.推测A和B的结构,并写出有关的反应式.
3.某芳香烃A,分子式C9H12.在光照下用Br2溴化A得到两种一溴衍生物(B1和B2),产率约为1∶1.在铁催化下用Br2溴化A也得到两种一溴衍生物(C1和C2);C1和C2在铁催化下继续溴化则总共得到4种二溴衍生物(D1,D2,D3,D4).
(1)写出A的结构简式.
(2)写出B1,B2,C1,C2,D1,D2,D3,D4的结构简式.
4.化合物(C9H12)一硝化产物有两种,但经热高锰酸钾处理后再硝化只得到一种一硝化产物.试给出该化合物的结构.
5.化合物A(C9H10)有波谱数据:δH7.20~7.12(m,4 H),2.89(t,4 H),2.07(p,2 H)ppm;νmax3021,2941(s),2845,1460,751(s)cm-1,经热KMnO4氧化得到邻苯二甲酸试给出A的结构.
6.根据所给信息给出产物的结构:

六、建议机理

由此你可以完成下述反应并给出机理:

3.建议机理并评论反应i和ii的产物为什么不同.

七、试设计分离纯化二甲苯混合物的可行方案.
八、简述PX项目及其社会意义.