第13章 杂环化合物
2026年01月14日
第13章 杂环化合物
问题1 如何获得无噻吩的苯?
问题2 完成反应

问题3 完成反应

习题
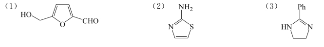
一、命名


二、合成设计(https://www.daowen.com)
1.以儿茶酚为基本原料合成罂粟碱(papaverine).

2.以适当原料合成非处方(OTC)解热镇痛药异丙安替比林(isopropylantipyrine;1,5-二甲基-4-异丙基-2-苯基-3-吡唑啉酮).

3.以适当原料合成喹诺酮类抗菌素环丙沙星(Ciprofloxacin).

三、推导结构
1.甲基喹啉A经高锰酸钾氧化得一个三元羧酸,该酸在脱水剂存在下失水转化成两种酸酐.试推测A的结构.
2.古液(豆)碱(hygrine)(C8H15NO)存在于古柯植物中,不溶于氢氧化钠水溶液,但溶于盐酸;不与苯磺酰氯作用,但与苯肼成腙;与碘的氧化钠溶液作用产生黄色沉淀和羧酸B(C7H13NO2).B用铬酸氧化得到古液酸(C6H11NO2),即N-甲基-2-吡咯烷甲酸.试给出古液碱和B的结构.