第11章 含硫化合物

第11章 含硫化合物

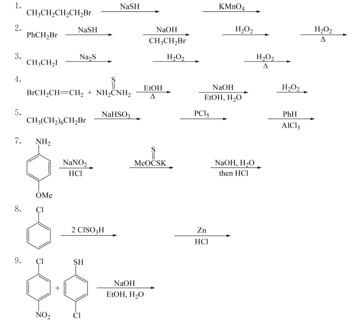
习题

一、完成反应

图示

图示

二、合成设计

1.以乙醇为原料合成牛磺酸.

图示

2.以环己醇为基本原料合成甜蜜素(cyclamate环己氨基磺酸钠).(https://www.daowen.com)

图示

3.以适当原料合成磺胺药磺胺噻唑.

图示

4.以氯苯为基本原料合成氨苯砜(麻风病药).

图示

5.以甲醛为基本原料合成:

图示