第10章 含氮化合物
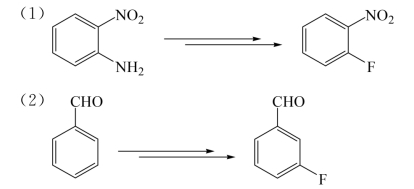
问题1 完成反应


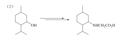
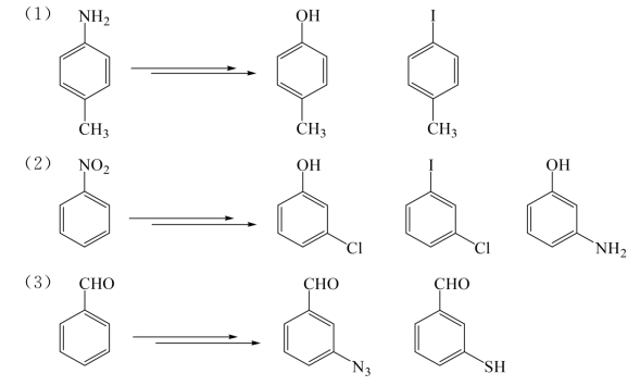
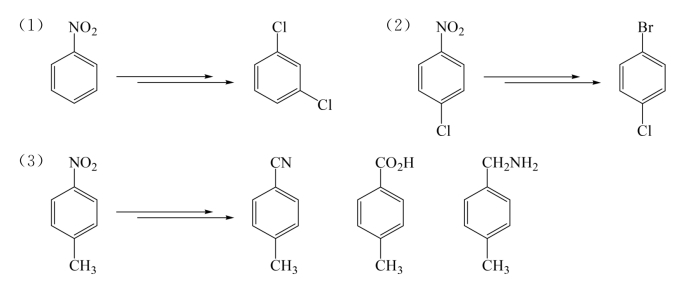
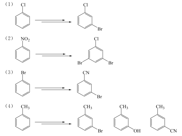
问题2 完成转化
(1)以C7芳香化合物为原料用两种方法合成2-苯基乙胺.
PhCH2CH2NH2

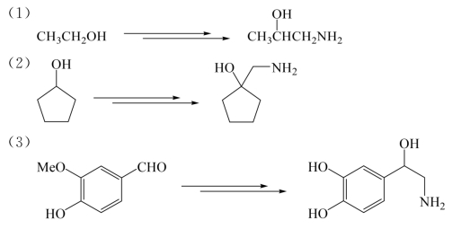
(3)以简单的开链原料合成:

(4)由C1原料合成三羟甲基甲胺(THAM)(一种不含钠的有机缓冲碱,用于纠正代谢性、呼吸性及混合型酸中毒).
(HOCH2)3CNH2
问题3 哌啶与吗啉都是六元环状仲胺,但二者的碱性差别极大,为什么?

问题4 有机碱DBN和DBU常用于现代有机合成.二者的结构是类似的,有相同的含氮结构单元.讨论其碱性为什么比一般的叔胺的强.

问题5 评论三乙胺、奎宁环(quinuclidine)与二氮奎宁环(DABCO)与碘甲烷的反应.

问题6 化合物b的碱性比a的强4×104倍,为什么?

问题7 完成反应

问题8 以环己胺为基本原料合成:

问题9 化学鉴别
兹有环戊胺、哌啶和N-甲基二乙胺,试用化学方法鉴别之.
问题10 建议机理
(1)解释下述反应.

问题11 完成转化


问题12 完成转化
![]()
问题13 完成反应

问题14 完成转化

问题15 完成转化

问题16 完成反应

问题17 完成转化


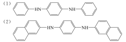
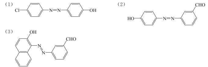
问题18 由N-苯基对苯二胺(可由氯苯制备)合成以下两个橡胶防老剂:

问题19 完成反应

问题20 以对苯二胺为原料合成橡胶、乳胶的通用防老剂:

问题21 金刚烷胺可通过金刚烷溴代或硝化、再与乙腈作用、水解制备,建议反应机理.

问题22 完成反应

问题23 由对甲氧基二苯胺制备4-甲氧基-4-氨基二苯胺,后者是安安蓝染料(凡拉明染料)的中间体.

问题24 完成反应

问题25 分别以氯苯、硝基苯为原料合成对苯二胺和邻苯二胺.
问题26 以氯苯为原料合成对氨基苯酚、对乙酰氨基苯酚和对乙氧基乙酰氨基苯酚.
问题27 完成转化

问题28 完成反应
![]()
问题29 完成转化

问题30 完成转化
(https://www.daowen.com)
问题31 完成反应

问题32 完成反应

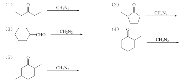
问题33 推导结构
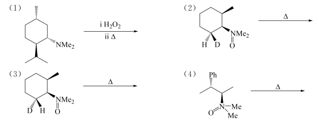
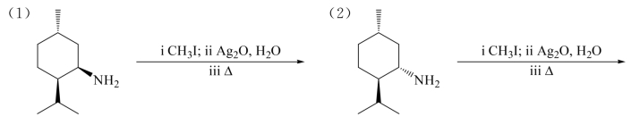
(1)化合物A(C5H13N)进行Hofmann彻底甲基化消耗三摩尔碘甲烷,降解得三个异构体烯烃,其中主要的一个经高锰酸钾氧化给出丁酸.试推导A的结构.
(2)手性化合物B(C6H15N)彻底甲基化,消耗两摩尔碘甲烷,然后与氧化银在水溶液中共热,所得烯烃经臭氧化还原水解给出等量的甲醛和丁醛.试推导B的结构.
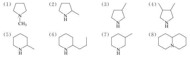
问题34 给出下列季铵碱进行Hofmann消去的产物.

问题35 给出以下环胺Hofmann彻底甲基化降解产物.

问题36 完成转化

问题37 完成转化

问题38 完成转化

问题39 完成转化

问题40 完成反应


问题41 完成反应

问题42 完成转化

问题43 完成反应

问题44 合成设计

问题45 合成设计

问题46 合成分散黄(disperse yellow)(涤纶染料)

问题47 完成转化

习题
一、完成反应


二、合成设计
1.以氯苯为原料合成

2.二氯苯氧氯酚是一种杀菌剂,尤其对厌氧菌有效,广泛用于牙膏、香皂等清洁、卫生用品.试以苯酚和对二氯苯为原料合成之.

3.以甲苯和邻硝基氯苯为原料合成UV吸收剂UV-P的中间体.

4.以对氯三氟甲苯为原料合成除草剂氟乐灵(氟特力;特氟力)Trifluralin.

5.以苯甲酸和苯酚为原料合成

6.以苯甲酸酯和二甲苯胺为原料合成

7.以甲苯为基本原料合成芴.

8.苯氟布洛芬是一种苯丙酸类消炎镇痛药,用于治疗风湿性关节炎、弯曲性脊椎炎等;作用快、疗效高.试合成之.

三、建议机理
下述两异构体的反应产物截然不同,解释之.

四、推导结构
1.化合物A(C7H15N)与碘甲烷反应得B(C9H20IN),B与湿的氧化银共热得C(C6H10)和三甲胺,C经热高锰酸钾氧化得己二酸.试给出A的结构.
2.化合物A(C4H9NO)经过量碘甲烷、湿氧化银处理后加热得到B(C6H13NO),再经一次Hofmann彻底甲基化得二乙烯基醚和三甲胺.给出A和B的结构.
3.化合物A和B(C5H11N)分别依次经碘甲烷、湿氧化银、加热处理后再经一次Hofmann彻底甲基化得烃C5H8,后者经臭氧化、还原水解,都给出一分子丙二醛和两分子甲醛.A和B都不旋光,但B可拆分.试给出A和B的结构.
4.化合物A与B(C6H13N)分别依次经碘甲烷、湿氧化银、加热处理,再经一次Hofmann彻底甲基化得烃C6H10,后者经臭氧化、还原水解,都得到两分子甲醛,A产生一分子甲基丙二醛,B得到一分子丁二醛.试给出A和B的结构.
5.化合物A和B(C8H11N)经Hofmann彻底甲基化都得到三甲胺和C8H8,后者经高锰酸钾氧化得苯甲酸.A的氢谱显示不含甲基,B则可以用天然酒石酸拆分.推导A与B的结构.
6.化合物A(C15H15NO)不溶于水、稀盐酸和稀氢氧化钠,但与稀氢氧化钠溶液回流渐溶解,并有油状物浮于液面,水蒸气蒸馏得B,溶于稀盐酸,与对甲苯磺酰氯作用,产生不溶于碱的沉淀.酸化蒸馏余液析出C,溶于碳酸氢钠,mp 182℃,δH12.77(s,1 H),7.86~7.31(dd,4 H),2.38(s,3 H).给出A,B和C的结构.