3.1 烯烃
2026年01月14日
3.1 烯烃
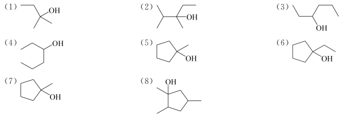
问题1 立体异构体8个.
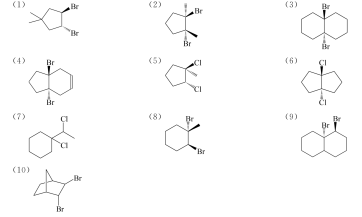
问题2 稳定性:

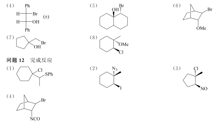
问题3 完成反应

问题4 纯化
浓硫酸洗、水洗、干燥,蒸馏.
问题5 完成反应

问题6 制备
酸催化异丁烯(或叔丁醇)与过量乙醇反应.
问题7 建议机理

(2)改由羧基氧作为亲核进攻原子.
问题8 完成反应

(3)同(2)
问题9 完成反应

问题10 完成反应

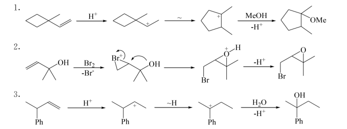
问题11 完成反应


问题13 完成反应

问题14 完成反应

问题15 完成反应

问题16 完成反应

问题17 完成反应

问题18 完成反应

问题19 完成反应(https://www.daowen.com)

问题20 完成反应

问题21
(CH3)2C═CHCH2CH2CH═CHCH3
问题22 给出反应物的结构

问题23 完成反应


问题24 完成反应

问题25 完成反应

问题26 完成反应


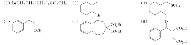
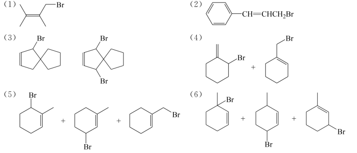
习题
一、完成反应
1.BrCH2CH2Br+BrCH2CH2I+BrCH2CH2OH
2.BrCH2CH2Br+BrCH2CH2ONO2+BrCH2CH2OH
3.ClCH2CH2Cl+ClCH2CH2OAc

二、完成转化



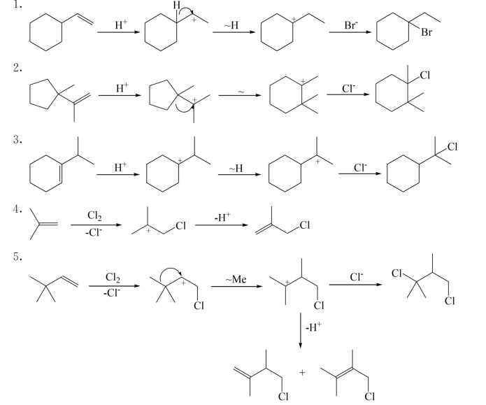
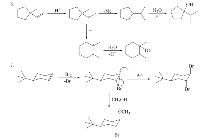
三、建议机理


此为二a-键开环.
8.考虑环己烯丙式自由基的共振:

四、完成反应并建议机理

五、结构推导
