第5章 芳香烃
问题1 苯胺氮在混酸环境中质子化,氮正离子是吸电子基,也就是间位定位基.
问题2 完成转化

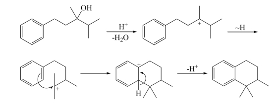
问题3 建议机理

问题4 完成反应并建议机理

问题5 完成转化

问题6 完成反应

问题7 完成反应

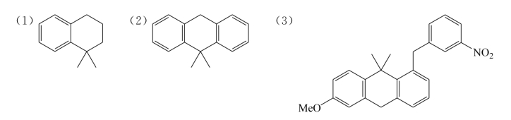
问题8 蒽4个

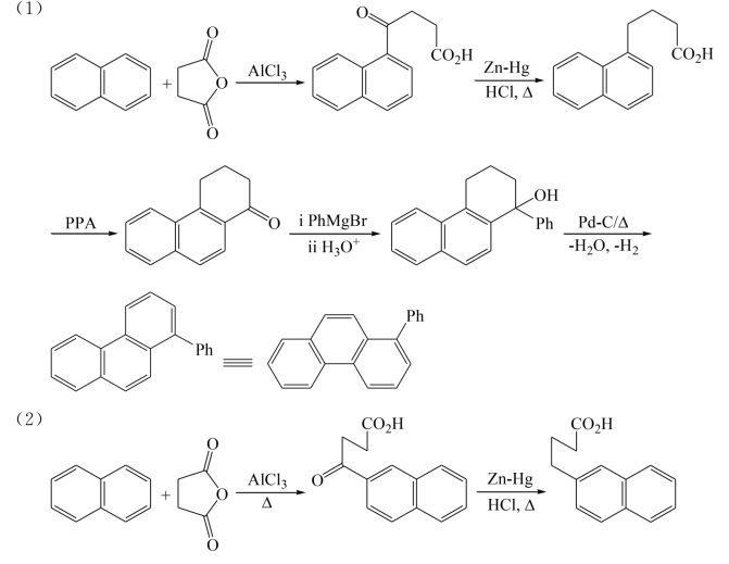
问题9 合成设计

问题10 合成设计


习题
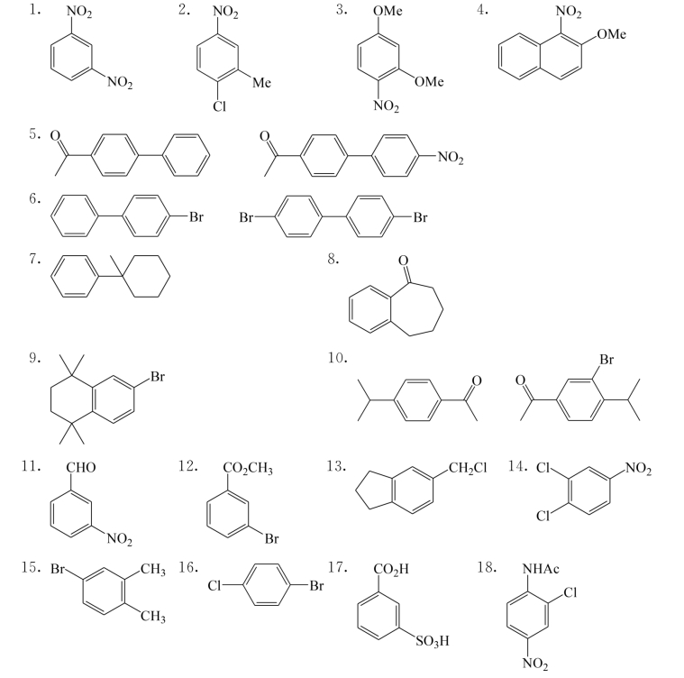
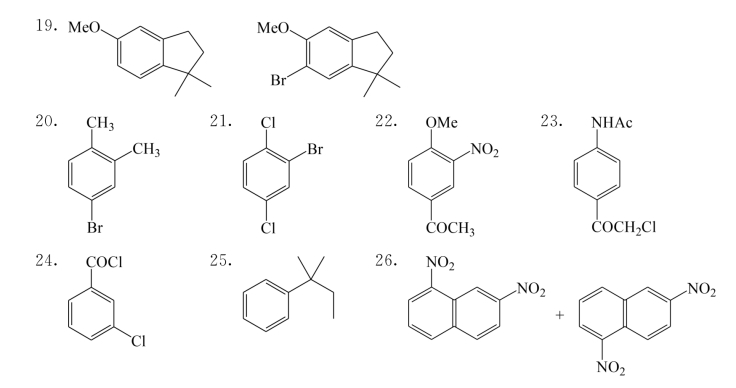
一、完成反应


二、由指定原料合成
(一)以苯为基本原料合成

2.i ClCH2CH2CH2Br/AlCl3;ii KMnO4/Δ
3.i Me2CHCl/AlCl3;ii Cl2/FeCl3;iii NBS,CC14/Δ
4.i Succinic anhydride/AlCl3;ii Zn-Hg/HCl
5.i Succinic anhydride/AlCl3;ii Zn-Hg/HCl;iii PPA
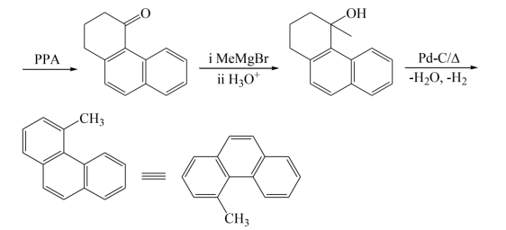
6.i Succinic anhydride/AlCl3;ii Zn-Hg/HCl;iii PPA;iv EtMgBr,then HCl/H2O;v Pd-C/Δ,-H2O,-H2
7.i MA;ii Br2/FeBr3
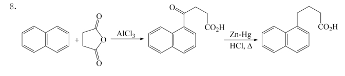
8.i H2SO4;ii Cl2/FeCl3
9.i Ac2O/AlCl3;ii Cl2/FeCl3
10.i MA;ii H2SO4;iii Cl2/FeCl3
11.i Me3CCl/AlCl3;ii H2SO4
12.i Cl2/FeCl3;ii MA;iii Br2/FeBr3
13.i Cl2/FeCl3;ii H2SO4;iii Cl2/FeCl3
14.i Me2CHCH2COCl/AlCl3;ii NH2NH2,KOH/EG,Δ
15.i Me2CHCH2COCl/AlCl3;ii Zn-Hg,HCl/Δ;iii Br2/FeBr3
16.i Me2CHCOCl/AlCl3;ii Zn-Hg,HCl/Δ;iii Ac2O/AlCl3(https://www.daowen.com)
(二)以甲苯为基本原料合成

2.i H2SO4/100℃;ii Cl2/FeCl3;iii KMnO4/Δ;iv H2O/Δ
3.i H2SO4/100℃;ii MA;iii H2O/Δ;iv KMnO4/Δ
4.i KMnO4/Δ;ii H2SO4
5.i KMnO4/Δ;ii Br2/FeBr3
6.i KMnO4/Δ;ii MA
7.i CH3CH2COCl/AlCl3;ii Zn-Hg,HCl/Δ
8.i Ac20/AlCl3;ii Cl2/FeCl3;iii Zn-Hg,HCl/Δ
9.i MA;ii Cl2/FeCl3;iii KMnO4/Δ
10.i Succinic anhydride/AlCl3;ii Zn-Hg/HCl;iii PPA;iv EtMgBr,then HCl/H2O;v Pd-C/A
(三)分别以苯、甲苯为基本原料合成
1.苯为起始原料:i HCHO,HCl/ZnCl2;ii NaCN
甲苯为起始原料:i NBS,CCl4/Δ;ii NaCN
由上面制备的苯氯甲烷或苯溴甲烷开始制备2和3
2.i PhCH2Cl+CH≡CNa;ii H2O,H2SO4/HgSO4
3.i PhCH2Br,CH≡CNa;ii Sia2BH/THF,then H2O2,NaOH
(四)以萘为基本原料合成
1.i HCHO,HCl/ZnCl2;ii H2/Pd-C
2.i HCHO,HCl/ZnCl2;ii H2/Pd-C;iii Cl2/AcOH
3.i HCHO,HCl/ZnCl2;ii H2/Pd-C;iii HNO3/AcOH;iv KMnO4
4.i HCHO,HCl/ZnCl2;ii H2/Pd-C;iii H2SO4;iv KMnO4
5.i Naphthalene,O2/V2O5,Δ;ii PhH/AlCl3;iii PPA
6.i Naphthalene,O2/V2O5,Δ;ii PhH/AlCl3;iii PPA;iv H2SO4/Δ
7.i Naphthalene,O2/V2O5,Δ;ii PhCH3/AlCl3;iii PPA


三、应选用:

不能反过来,因为吡啶环不发生Friedel-Crafts酰基化反应.
四、合成3,6-二甲基-1,2-苯二甲酸二甲酯:

五、结构推导


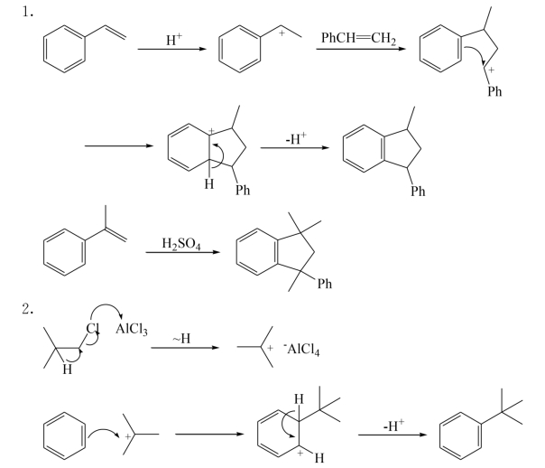
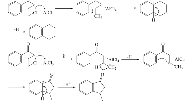
六、建议机理

3.反应i直接亲电取代,ii则是先重排再取代:

ii中的吸电子羰基降低了苯环的π电子密度,从而延缓向碳正离子提供电子成键,这就给伯碳正离子重排成更稳定的仲碳正离子提供了机遇和时间.
七、试设计分离纯化二甲苯混合物的可行方案.
冷冻,分出结晶的对二甲苯,然后用浓硫酸处理,间二甲苯磺化溶于硫酸,从而可与邻二甲苯分离.