3.2 炔烃
2026年01月14日
3.2 炔烃
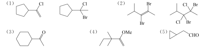
问题1 完成反应


问题2 合成设计

习题
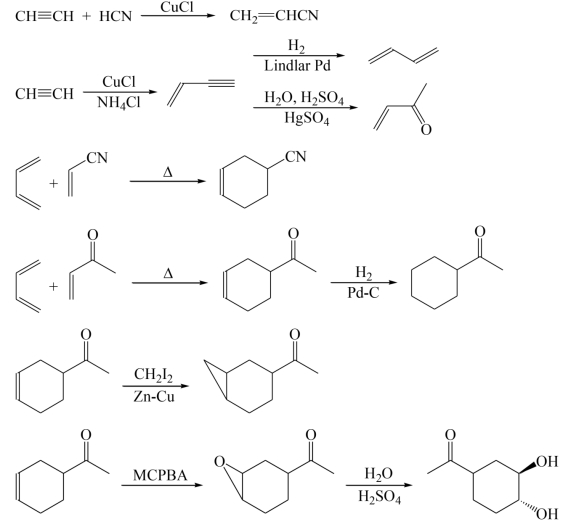
一、以乙炔为基本原料合成
1.

2.逆合成分析(retro-synthetic analysis,RSA):逆合成分析就是从想要合成的分子(目标分子TM)开始逐步回推到指定或适当起始原料.
常用的术语与缩写:
TM:target molecule目标分子,要合成的分子.
Disc:disconnection切断,切断化学键,反应成键的逆过程.
FGI:functional group interconversion官能团转化,官能团间的相互转化.
FGA:functional group addition官能团增加,增加一个官能团.(https://www.daowen.com)
Recon:reconnection重接,重新连接成键.
RDA:retro-Diels-Alder reaction逆Diels-Alder反应,Diels-Alder反应的逆过程.
例:

再对两组分丁二烯和甲基乙烯基酮分别回推:

于是找到了指定起始原料乙炔.
合成:


二、完成转化

三、结构推导
