忘年之交
2026年01月14日
忘年之交
老马和小牛在公园里锻炼,休息时两人闲聊起来。老马笑着说道:“我们可以说是忘年之交吧,我现在的年纪是你的7倍,过几年后变成6倍了;再过几年,又分别为你年龄的5倍、4倍、3倍和2倍;你将会看到,倍数变得越来越小了。但是,前几年倍数还不止是7,而是更大的倍数。”
小牛听了这番话,不知道该怎么算,只好干瞪眼。你们能帮他一下,解开这个疑团吗?
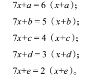
年龄一般都指正整数。设小牛现年x岁,则老马现年是7x岁,按照题意可列出以下的式子:

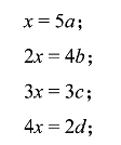
将这组方程整理化简之后,可以得出以下的关系式:

![]()
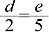
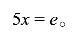
很明显,x,a,b,c,d,e都应该是正整数,要想满足x=5a=2b=c=
,最小的x是10。接着,顺藤摸瓜,不费多大力气就能求出a=2,b=5,c=10,d=20,e=50。所以小牛现在10岁,老马现在70岁。(https://www.daowen.com)
做这个算术游戏题,其实还有更简单、更直截了当的办法——因为老马和小牛的年龄之差是永远不变的。
由于老马现在的岁数为小牛的7倍,所以两人年龄之差应是小牛年龄的6倍,从而得知,这差数应该是6的倍数。
根据题意,过了若干年后,老马的年龄是小牛年龄的6、5、4、3、2倍,由此可知,差数当然是5、4、3、2、1的倍数了。
这样一想就一下子开了窍:差数理应是1,2,3,4,5,6的公倍数,而最小公倍数为60。
接下来,当然可以马上算出:小牛现年10岁,老马现年70岁。
按照世界上现有的生活条件与医学水平,另一个公倍数120显然是不现实的。试问:120岁的老人,还能到公园里做操吗?但是,到了21世纪的下半叶,这个答案就不能忽视了。
不妨再来看看前几年的倍数变化情况就能明白老马为什么说随着时间的推移,老马与小牛的年龄倍数变得越来越小了。
