令人头痛的卖金鱼问题
2026年01月14日
令人头痛的卖金鱼问题
男孩安东尼非常喜欢养金鱼,为此他购买了大量参考书,造了暖房,添置了许多设备。但他后来兴趣日益减淡,打算把金鱼全部出售。安东尼前后共卖了5次,具体情况是:
第一次卖出全部金鱼的一半加
条金鱼;
第二次卖出剩余金鱼的
条金鱼;
第三次卖出剩余金鱼的
条金鱼;
第四次卖出剩余金鱼的
条金鱼;
第五次卖出剩余金鱼的
条金鱼。
现在只剩下9条金鱼了,暂时还找不到买主。毕竟安东尼养金鱼已有多年历史,朝夕相处,倒也有些不舍,于是最后又改变了主意,决定还是继续养下去,当然规模比从前大大减小了。
请问:当初安东尼共有多少条金鱼?要注意的是:在出售金鱼时是不能切割的,因此题目上所谓的
条金鱼、
条金鱼等,仅仅是纸上的游戏而已。
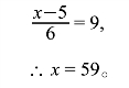
这个问题的数据凑得特别巧妙,请看:
安东尼原有金鱼59条,显然

所以他各次出售的金鱼数分别是:
![]()
既然是做游戏,你也不妨用经典的列方程解法去试一试。(https://www.daowen.com)
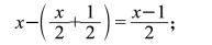
设安东尼原有x条金鱼,那么他:
第一次卖出
(条),还剩下
![]()
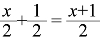
第二次卖出(
,还剩下
![]()
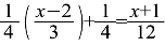
第三次卖出
,还剩下
![]()
第四次卖出
,还剩下
![]()
第五次卖出
,还剩下
![]()
从而列出一元一次方程

这还是分5步列等式得来的。倘若全部用一个式子来表示,那将更令人咋舌。真像是杀鸡用了牛刀,繁琐笨重的x,用起来实在是太麻烦、太不方便了。