5.3.1 变量选择和模型设定
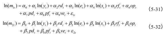
货币经济学文献中通常将影响货币需求的变量分成规模变量和机会成本变量。本书选择社会消费品零售总额y作为规模变量;选择我国银行间同业拆借加权平均利率rd、通货膨胀率pd为国内机会成本变量;在开放经济中,国际资本的流入形成了国外居民对本币的需求,因此还引入汇率e、汇率波动率ve、实际有效汇率s、国外利率rf和国外通货膨胀率pf作为国际资本流动的决定变量;随着我国经济开放度的增加,引入外贸依存度op作为制度变量。根据我国货币供应量的划分,可设定狭义货币(M1)和广义货币(M2)需求函数如下:其中m1,m2分别为季节调整后的实际的狭义和广义货币余额;ε1,ε2是平稳的误差项。
