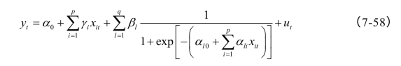
7.3.5 线性加强型神经网络
Lee、White与Granger(1993)在研究用神经网络估计序列间的非线性结构时兼顾线性结构提出使用加强型神经网络。本书研究表明,基于改进的带动量的LM算法的BP神经网络仿真效果与小波神经网络相近,加强型S型BP神经网络模型为:

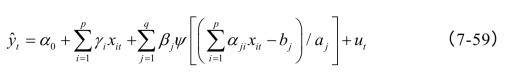
加强型小波神经网络模型为:(https://www.daowen.com)

本书MC仿真研究发现,使用改进的带动量的LM算法可以实现各加强型神经网络对各非线性函数的逼近,其在理论上不需要进一步的讨论,而加强型神经网络可以较一般神经网络在序列间非线性协整估计中有更好的效果。