一、地下水的动态

一、地下水的动态

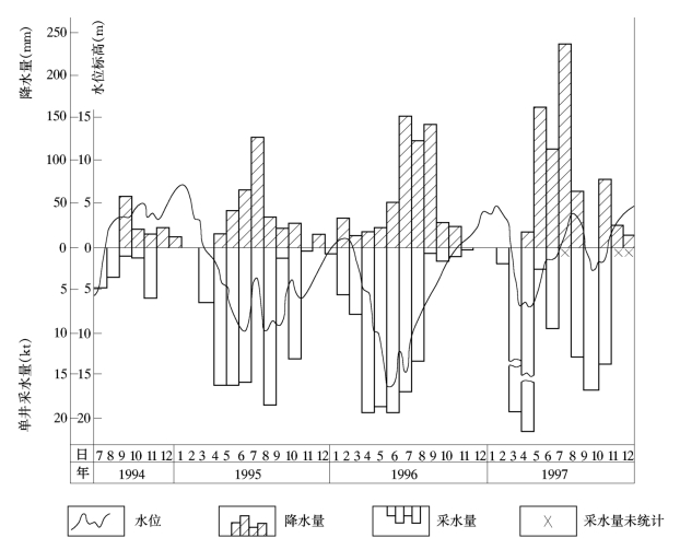
地下水的水位、水量、水质、水温等随时间作有规律的变化,这种过程称为地下水的动态。为了合理开采与排除地下水,必须掌握其动态变化规律。工程中常绘制地下水位动态曲线图,有时为了表明地下水位动态与主要影响因素之间的关系常在曲线图中增加气象要素——如降水量、蒸发量、地表水位或者地下水的开采量等与地下水的补给、排泄有关的内容。图3-4河北衡水承压水开采漏斗中心孔水位变化曲线图中便伴有降水量与开采量资料。降水量属于补给量,一般自横坐标向上,以高度表示,是单位时间的降水累积值(即各月份的总降水量)。开采量为排出量,一般自横坐标向下表示为各月的总开采量。根据图3-4的承压水位动态曲线图,我们可以分析得到以下结论:1994年地下水开采量比较小,因此承压水位基本上高于地表。1995年地下水开采量骤增,地下水位低于地表5~10m,至11、12月停抽地下水,承压水位回升至地面高度。1996年地下水开采量增加,地下水位最深时下降至15m,由于7、8、9月降水量较大,10月份起抽水量很小,因此,地下水位有些回升但仍不能恢复至初始水位。1997年减少开采量,同时,1997年大气降水量亦比较大,因此,地下水位下降较小。

潜水与河流关系密切,潜水接受河流补给或排泄给河流。因此,临河地段的潜水动态显然受河流动态变化的影响(如图3-4所示)。

图示(https://www.daowen.com)

图3-4 河北衡水承压水开采漏斗中心孔水位变化曲线

地质条件决定了地下水的埋藏类型和含水介质(空隙)类型。潜水与承压水比较,潜水受气候影响较明显,动态变化较大;承压水受气候影响小,动态较稳定。孔隙水、裂隙水和岩溶水中,岩溶水的动态变化最大。

人类活动影响因素包括灌溉、水库放水、抽取地下水以及回灌等,这些因素均能直接影响地下水动态的变化。而大规模跨流域调水,兴修水利,植树造林,围湖造田,砍伐森林等都能改变局部地区的水文气象条件,也能影响到地下水动态的变化。