地下水向潜水完整井的运动
1863年法国水力学家裘布依(Dupuit)首先研究了地下水向井稳定运动理论,并导出了完整井稳定流涌水量方程式。裘布依在研究这个问题时,作了如下假设:含水层均质各向同性,隔水底板水平,侧向边界无限远,原始潜水面水平;抽水井为单井(即附近无其它井进行抽水或注水),揭穿整个含水层厚度,并在整个井壁进水;抽水过程中,无垂直方向补给或排泄,地下水补给只来自以井轴为中心R为半径的圆柱水体的外侧面。

图4-14 地下水向完整潜水井的渗流
抽水前,天然条件下井中的水位称静止水位,开始抽水后井中水位不断下降称动水位。此时,与井周围的天然水位形成水位差,井周围地下水即向井中汇流,形成一个以井为中心的漏斗状潜水面,称为降水漏斗。当含水层水量充沛,井的涌水量较小时,经一定时间后,周围地下水向井的径流量与井的涌水量相平衡,漏斗便不再发展而达到稳定状态。此时,漏斗边缘到井轴间的距离叫影响半径,以R表示之。此时,过水断面为一系列曲面,在远离抽水井处近似为圆柱面。通过各断面的潜水流量均相等,等于井的涌水量。水力坡度和流速是个变量,在距井越近的地方,J和V值越大。渗透速度在三个坐标上均有分量,水流为三维流运动。但是当井中水位降深不大时,水流属缓变流动,渗透速度的垂直分量相对于水平分量来说很小而可以忽略,可把三维流简化为二维流。曲面过水断面可以近似地认为是一系列的圆柱面,断面上的水头值视为是相等的。
取柱坐标系统,以井轴与隔水底板的交点为坐标原点,井轴线为h轴,向上为正,沿隔水底板井径方向为r轴,由井轴向外取正(图4-14)。则含水层中流向井的每一个过水断面上的流量均可由裘布依微分方程表示
![]()
将式(4-15)分离变量并积分(取r∶rw→R,h∶hw→h0),则得

式中 Q——抽水井的涌水量,m3/d;
K——渗透系数,m/d;
h0——潜水含水层的原始厚度(供水边界水位,隔水底板为基准面),m;
hw——井中抽水稳定水位,m;
R——影响半径,m;
rw——井半径,m。
式(4-17)中如引进抽水井的水位降深值Sw,由于Sw=h0-hw,则式(4-17)可写为(https://www.daowen.com)

式(4-16)~式(4-18)即为地下水向潜水完整井的稳定运动方程,亦称裘布依公式。利用上述公式,给定抽水井的水位降深,就可确定井的涌水量。若给定井的涌水量,也可确定井中的水位降深值。此外,利用上述公式还可计算含水层的渗透系数

当抽水井附近有一个观测孔时,式(4-18)只要改变积分界限,即r∶rw→r1,h∶hw→h1,就可获得利用井和观测孔资料计算K的公式:

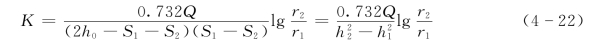
当抽水井附近有两个观测孔时,同样方法可得K值的计算公式:
![]()
式中 r1、r2——抽水井至观测孔1、2的距离;
h1、h2——1、2号观测孔中的水位;
S1、S2——1、2号观测孔中的水位下降。
如将式(4-21)中的r1和h1改写为任意断面r和该断面处的含水层厚度值h,便可用来计算抽水时距抽水井任意距离r处的含水层厚度值,即:

图4-15 地下水向完整承压井的渗流

式(4-23)即为降落漏斗的水头线方程。