轻型井点降水的水文地质计算举例
【例】 某厂房基坑底宽8m,长12m,基坑深4.5m,挖土边坡1∶0.5。经工程勘察,天然地面以下1m为粉粘土,其下有厚度为9m的细砂层,其渗透系数K=5.0m/d,细砂层之下为不透水的粘土层,地下水位标高-1.50m(以下天然地面为±0.00m计)。拟采用轻型井点降低地下水位,试进行轻型井点降水设计。
【解】 本题计算共分五个步骤:
(1)井点系统布置设计计算。井点系统的平面布置和高程布置分别见图9-10和图9-11。

图9-10 井点系统的平面布置

图9-11 井点系统的埋深布置
1)总管长度L计算。为使总管接近地下水位,表土层挖去0.5m,则基坑上口平面尺寸为12m×16m,布置环形井点,总管距基坑边缘1m,则总管长L为
![]()
2)基坑中心要求降水深度S计算。要求基坑中心地下水位必须低于坑底至少0.5m,则降深S为
![]()

图9-12 大井法基坑出水量计算模式
3)井点管埋设深度HA计算,据式(13-1)可得
![]()
设计井管长6m,管径50mm,滤管长1m。井点管外露地面0.2m,埋入土中5.8m(不包括滤管)大于计算值5.2m,故设计符合要求。
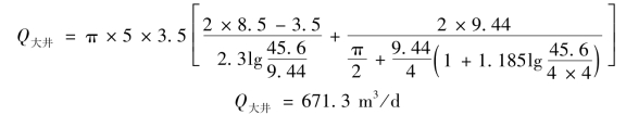
(2)大井法基坑出水量Q大井估算。根据水文地质条件、地下水位降深和井的结构,基坑降水计算模式可概化如图9-12所示。在《城市地下水工程与管理手册》中,查得适合本例(潜水层较薄,m较小)计算基坑出水量的大井计算公式,该式如下

大井引用半径R0,用式(4-48)计算求得。据
,在表4-3中查得η=1.18,则
![]()
影响半径可用式(4-32)计算出
(https://www.daowen.com)
其余计算符号见图9-12。
将已知项代入式(9-6)得

(3)井点管数量及井距计算
1)单根井点管出水量q计算,据式(11-2)得
![]()
2)井点管数量n计算,据式(13-3)得
![]()
取井管43根。
3)井距D计算,据式(9-4)得
![]()
应取井距D=1.40m,实际井管总根数n=46根。
(4)选用抽水设备
抽水设备带动的总管长度为64m。
1)最低真空度hk的计算,据式(9-5)得
![]()
选用W5型干式真空泵。
2)水泵流量Q1计算
![]()
3)水泵吸程HS计算
![]()
据Q1及HS选用2B31型离心泵。