5.2.2 干旱胁迫处理下优势植物的生物量分配特征
如图5-1 所示,甘草在各水分处理下较对照(CK)地上茎叶部分和地下根生物量均随之下降,随着干旱胁迫时间的延长,各器官生物量快速增加积累,极显著高于20 d,但根的单株生物量只在严重干旱胁迫下显著下降,地下生物量比持续提高,而地上生物量比持续降低,这表明干旱胁迫导致各器官生物量分配较多地流向根中,而向茎叶的分配减少。
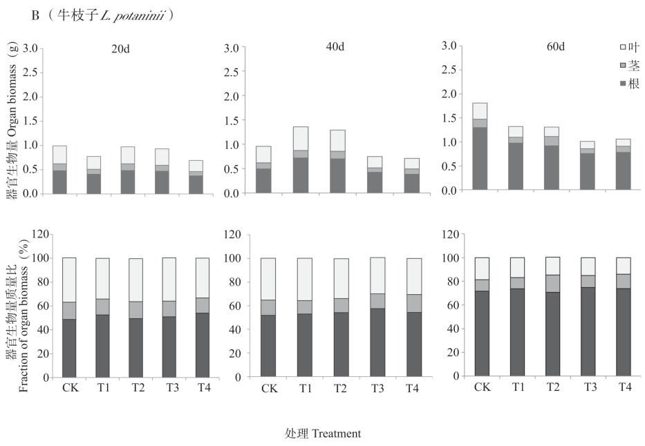
牛枝子随着干旱胁迫时间的延长,不同处理下地下根生物量逐渐增加,地上生物量则增长变化平缓,在胁迫末期具有与甘草相似的生物量分配规律(图5-1-B),根的生物量积累增加明显,极显著高于20 d 的,地下生物量比持续提高,而地上生物量比则持续降低。由于牛枝子在胁迫末期处于开花期,且逐渐变黄脱落,各处理的叶数骤减(见表5-3),地上叶生物量不再增加,促使地下生物量比达到了74%。
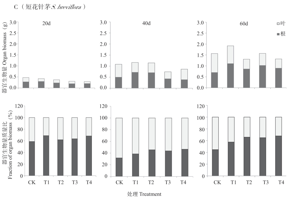
短花针茅各器官生物量在胁迫的3 个时期差异显著(见图5-1-C),在胁迫初期(20 d),根生物量显著大于叶生物量,地下生物量比高于地上生物量比;在中期(40 d),叶生物量显著增加,使地上生物量比显著大于地下生物量;在末期(60 d),根生物量和地下生物量比又明显增长,使植株总生物量明显提高。表明,在生长期内,短花针茅总在积极争取地上生物量的增长,但受水分胁迫的影响,根生物量逐渐增加。
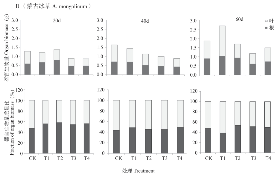
蒙古冰草也具有与短花针茅相似的生物量分配策略(图5-1-D),在胁迫中期,各处理下的地上茎叶部分增加明显,而地下根生物量增长迟缓,生物量较多地分配到叶,而向根的分配减少。在胁迫60 d 各器官的生物量积累有明显增加,极显著高于20 d,地下生物量比持续提高,但并不显著大于地上生物量比。
(https://www.daowen.com)



图5-1 不同干旱胁迫处理下4 种植物各器官生物量分配的动态变化
Fig.5-1 Dynamic changes of biomass distribution in organs of 4 plants under different drought stress treatments