5.2.4 干旱胁迫处理对优势植物各器官N、P、K 元素含量分布的影响
随着干旱胁迫程度的加深和胁迫时间的延长,4 种植物根、茎及叶片的N、P、K 元素含量分布及N ∶P 呈现出不同的变化趋势。经三因素方差分析(见表5-4),物种、处理及胁迫时期三者对4 种植物根、茎及叶片的N、P、K 元素含量分布及N ∶P 均有极显著影响(P <0.01),且各因素之间具有显著的交互效应(P <0.05)。4 种植物各器官的N、P、K 元素含量分布及N ∶P 在不同干旱胁迫时期和不同水分处理条件下均有极显著差异(P <0.01)。
表5-4 水分处理、胁迫时间与物种对植物叶片N、P、K 及N ∶P 影响的方差分析
Table 5-4 ANOVA of the N、P、K 及N ∶P between treatment, time, and species

注:F 值在5%水平标注 ns 不显著,P >0.05; * P <0.05;** P <0.01。
Note:F values are marked at 5% level:“ns”is not signifisant, P >0.05,* P <0.05,** P <0.01.
5.2.4.1 干旱胁迫对N 元素含量分布的影响
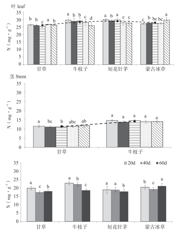
甘草根和叶的N 含量随着干旱胁迫程度持续加重则不断增长,而茎的N 含量未呈现规律的变化,各器官的N 含量均值表现为N叶> N根> N茎。随着干旱胁迫时间延长,甘草的N 含量呈下降趋势。牛枝子根和叶的N 含量随着干旱胁迫程度持续加重则不断减少,茎的N 含量在不同水分处理之间无显著差异,各器官的N 含量均值表现为N叶> N根> N茎。随着干旱胁迫时间延长和胁迫程度加剧,牛枝子植株的N 含量亦呈下降趋势。短花针茅根的N 含量在不同处理之间没有显著差异,叶的N 含量则不断减少,各器官的N 含量均值表现为N叶> N根。蒙古冰草根和叶的N 含量随着干旱胁迫程度加剧均呈上升趋势,各器官的N 含量均值表现为N叶> N根,随着干旱胁迫时间延长,植株N 含量显著增加。4 种植物各器官的N 含量存在显著的种间差异(P <0.05),对于根的N 含量,牛枝子>甘草>蒙古冰草>短花针茅;对于叶的N 含量,短花针茅>牛枝子>蒙古冰草>甘草;对于茎的N 含量,牛枝子的显著大于甘草的。


图5-3 不同干旱胁迫处理对4 种植物各器官N 含量的影响
Fig 5-3 Effect of different drought stress treatment on the N content in different organs of 4 plant species
5.2.4.2 干旱胁迫对P 元素含量分布的影响
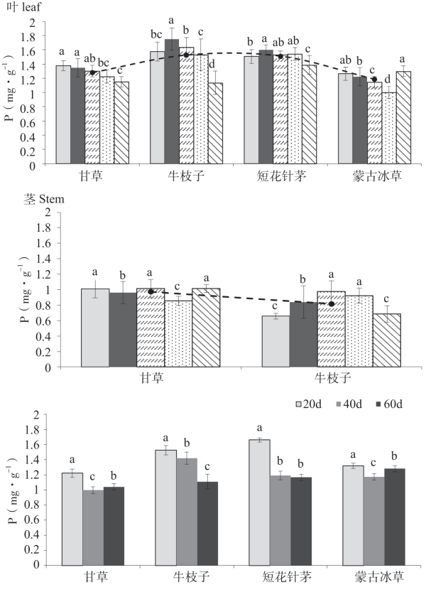
随着干旱胁迫程度持续加重,甘草、牛枝子和短花针茅的根和叶P含量不断减少,而茎P 含量的变化没有规律性,甘草和牛枝子各器官的P 含量均值表现为P根>P叶>P茎,短花针茅各器官的P 含量均值表现为P叶>P根。随着干旱胁迫时间延长,甘草、牛枝子和短花针茅的P含量整体呈下降趋势。蒙古冰草根的P 含量随着干旱胁迫程度加剧呈上升趋势,而叶的P 含量则呈现先降低后增长的趋势,各器官的P 含量均值表现为P根>P叶,随着干旱胁迫时间延长,植株的P 含量显著减少。4 种植物各器官的P 含量也存在显著的种间差异(P <0.05),对于根的P 含量,牛枝子>甘草>蒙古冰草>短花针茅;对于叶的P 含量,牛枝子>短花针茅>甘草>蒙古冰草;对于茎的P 含量,甘草>牛枝子。
(https://www.daowen.com)

图5-4 不同干旱胁迫处理对4 种植物各器官P 含量的影响
Fig 5-4 Effect of different drought stress treatment on the P content in different organs of 4 plant species
5.2.4.3 干旱胁迫对N ∶P 的影响
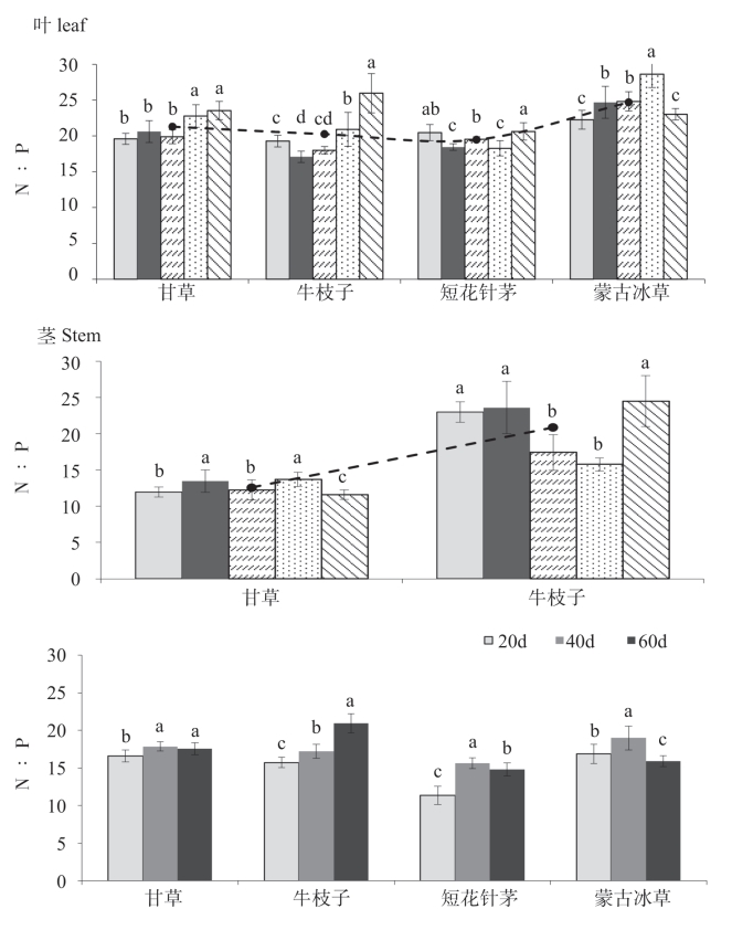
甘草和牛枝子根和叶的N ∶P 均随着水分胁迫程度持续加重则不断增加,而茎N ∶P 的变化不同,甘草的N ∶P 先增加后减少,牛枝子的N ∶P 先减少后增加。各器官的N ∶P 均值表现,其中,甘草的N ∶P叶>N ∶P根>N ∶P茎,牛枝子的N ∶P茎>N ∶P叶>N ∶P根;随着干旱胁迫时间延长,甘草和牛枝子各器官的N ∶P 均呈上升趋势。短花针茅根和叶的N ∶P 随着干旱胁迫处理呈现先减少后增加的趋势,各器官的N ∶P 均值表现为N ∶P叶>N ∶P根。蒙古冰草根和叶的N ∶P随着干旱胁迫程度加剧呈先增加后减少的趋势,各器官的N ∶P 均值表现为N ∶P叶>N ∶P根。随着干旱胁迫时间延长,短花针茅和蒙古冰草植株的N ∶P 均为先上升后降低的趋势。4 种植物各器官的N ∶P 也存在显著的种间差异(P <0.05),对于根的N ∶P,表现为甘草>牛枝子>蒙古冰草>短花针茅;对于叶的N ∶P,表现为蒙古冰草>甘草>牛枝子>短花针茅;对于茎的N ∶P,表现为牛枝子>甘草。


图5-5 不同干旱胁迫处理对4 种植物各器官N ∶P 含量的影响
Fig 5-5 Effect of different drought stress treatment on the N ∶P in different organs of 4 plant species
5.2.4.4 干旱胁迫对K 元素含量分布的影响
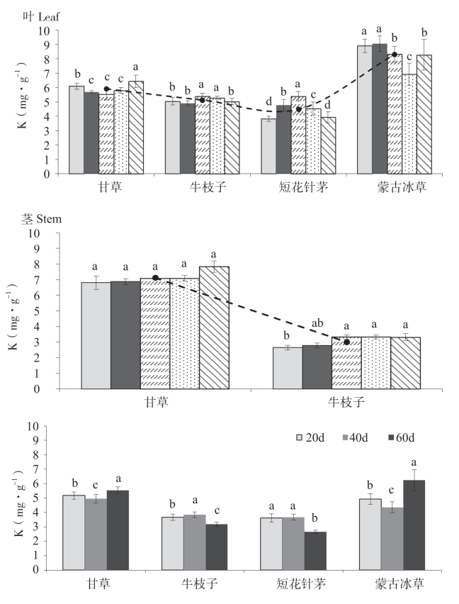
甘草根和叶的K 含量呈先减少后增加的趋势,茎的K 含量在各处理间无显著差异,各器官的K 含量均值表现为K茎>K叶>K根;随着干旱胁迫时间延长,甘草的K 含量也呈先减少后增加的趋势。牛枝子根、叶和茎的K 含量随着水分胁迫程度持续加重则不断增加,各器官的K 含量均值表现为K叶>K根>K茎;随着干旱胁迫时间延长,牛枝子的K 含量呈现先增加后减少的趋势。短花针茅根的K 含量随着干旱胁迫处理呈现先减少后增加的趋势,叶的K 含量为先增加后减少的趋势;各器官的K含量均值表现为K叶>K根;随着干旱胁迫时间延长,短花针茅的K 含量呈现持续减少的趋势。蒙古冰草根的K 含量随着干旱胁迫程度加剧而持续增加,而叶的K 含量则呈现先降低后增加的趋势,各器官的K 含量均值表现为K叶>K根。随着干旱胁迫时间延长,蒙古冰草植株的K含量为持续上升的趋势。4 种植物各器官的K 含量也存在显著的种间差异(P <0.05),对于根的K 含量,表现为甘草>牛枝子>短花针茅>蒙古冰草;对于叶的K 含量,表现为蒙古冰草>甘草>牛枝子>短花针茅;对于茎的K 含量,表现为甘草>牛枝子。


图5-6 不同干旱胁迫处理对4 种植物各器官K 含量的影响
Fig 5-6 Effect of different drought stress treatment on the K content in different organs of 4 plant species