5.2.3 干旱胁迫处理下植物地上部与地下部生物量之间的生长关系
2026年01月14日
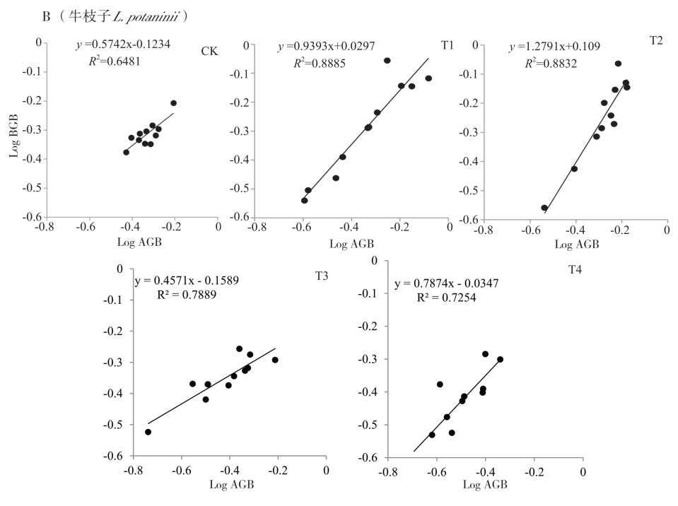
5.2.3 干旱胁迫处理下植物地上部与地下部生物量之间的生长关系
由图5-2 可以看出,4 种植物在不同处理下的地下、地上生物量之间具有不同的相关生长关系(P < 0.05),且表现为异速生长关系。甘草偏向于地下生物量积累的异速生长,甘草在各处理的相关生长指数α 均大于1,其中T3 的相关生长指数α 最大(α=1.9),CK 处理下最低,T3 处理的相关生长关系最好,R2=0.8592。牛枝子在胁迫后期与前期之间的生物量变化差异较大,整体看没有显著的相关生长关系,将胁迫初期与中期的地上、地下生物量进行相关分析发现,CK、T3、T4 处理表现为偏向于地上生物量积累的异速生长关系,T1 和T2 处理具有极显著的相关生长关系(P < 0.01),α 值接近1,具有等速生长关系。
短花针茅和蒙古冰草偏向于地上生物量分配的异速生长。其中,短花针茅在T3 处理下的相关生长指数α 接近1,其地上与地下器官具有等速生长关系,其他处理的相关生长指数α 均显著小于1,表现为异速生长关系,CK 处理的相关生长关系未达到显著水平(R2=0.4558)。蒙古冰草在T2 处理下的相关生长指数α 接近1,其地上与地下器官具有等速生长关系,其他处理的相关生长指数α 均显著小于1,表现为异速生长关系,CK 处理相关生长关系达到了极显著水平(P < 0.01,R2=0.82)。

(https://www.daowen.com)


图5-2 不同干旱胁迫处理下4 种植物地上与地下生物量的相关生长关系
Fig.5-2 Growth relationship between aboveground and underground biomass of 4 plants in different drought treatments