清末财政论

第二节 清末财政论

在中国经济史中,财政史研究包含了相当广泛的内容。在关于财源的问题上,税制与币制相关,本来就占有重要位置。而在财政运用问题上,王朝财政与中央地方财政的关系等,更是历史上屡争不绝的主题。时至清末,除了这些历史性课题之外,又出现了新国际关系中的中国财政问题,于是研究显得更为复杂。一方面是如何在内容上把握中国“国民经济”体系的课题;另一方面还要从财政政策的角度研究探讨如何推进贸易、关税政策。而由于借款与财政的关系,财政运用上预算制度的导入,如此等等一系列的新问题也随之出现。本节在审视中国财政史的基本特征的基础上,试图将清末经济中财政问题的地位与海关税问题联系起来进行探讨。

19世纪中叶以降,为了充实财政,清政府多次论及相关的政策问题。例如,应该整顿币制,应该奉行俭约、节约,应该整顿俸禄制度,应该增加岁入,应该实行预算制,等等。在这些项目中,实际上包含着一个重大问题,亦即在这些要求整顿诸项目背景下的清朝财政体制构造的改革,也就是说,我们要注意到,政治上、财政上经营原则的历史性转变。在本节中,笔者将从财政运营理念的变化、中央——地方财政关系的变化、财政整顿与海关税收的增加等三个方面对此加以探讨。

一 财政运营

(一)量入为出

中国财政史上,明确存在着的有关财政运营的理念,亦即与岁入、岁出相关的理念。作为财政运营方式的理想状态被概括为“量入为出”,就是在岁入的范围内管理运用岁出的原则。

李康惠在《定经制以裕国用疏》中,就国用(财政)的运用原则作了如下论述:

定经制以裕国用疏 经制裕国

夫量入以为出,是谓仁政。量出以为入,是谓虐政。既不量入为出,又不量出为入,杂然而收,泛然而用,是谓无政。考成周之制,以四分制国用,每岁用三存一,以备凶荒,故三十年之通则国有九年之积。汉之时则有计相,唐之时则有判度支,宋之时则有判三司,皆所以会有无而制国用也。近年以来,户部虽有会计之虚名,而无量入为出之实政。臣愚谓当因其名而举其实。通查一岁天下税粮所入,总计若干,经国之费,总用若干,首两京,次各边,各省直隶各府,每岁所入所出,俱查有数,分为二目,仿周礼用三以足一岁之用,存一以备不测之虞。

按照李康惠的分类,作为财政运用的原则,应该是岁入额决定岁出额,这样做就是仁政,反以岁出额为征,则是虐政。若不能确定岁入以为出,又不能把握岁出额而征岁入,征无章法,泛用而无度,诚谓之无政。在他那里,基于岁入而行岁出的方法是最为仁政之道。具体的运用,是首先确定岁入总额,在此基础上计算“经国”的费用(=中央财政或固定财政)。然后具体计算北京、南京,边境地域,各省、直隶的收入和经费。再把它们分成部分,将全部的3/4作为岁出,1/4用作不测事态之备。

这一量入为出(量入制出)的运用原理,将财政保守运用一般性原则以极为普遍的形式表现了出来。但如果有下面的情况存在:(1)财政收入在一定状况下,岁出变化,导致财政收入增大;(2)即使以“量入以出”为前提,但其记账(=收支确认)并没有采用“大福账”式的收支平衡对照形式;(3)财政运用上国用(中央)与地方不同,则这种原则的实施就会出现困难。

量入制出的原则,要是加上岁入定额化的原则(盛世滋生人丁等等),就可使财政规模相对稳定,从而极大地增加财政的安全性,但同时也就造成了财政的僵化,因为它不能随岁出的变化而变化。

其次,就财政运营的记录、确认的方法来看其特征。这也就是财政记账方式(由收支平衡的确认方式)的特征。钱大昕在堪称中国史事典的《十驾斋养新录》中讲到了国家财政记录方法的问题。他说:

今官司钱粮交代,必造四柱册。四柱者,旧管、新收、开除、实在也。至正直记云,人家出纳财货者,谓之掌事,谓算私籍,其式有四,一曰旧管,二曰新收,三曰开除,四曰见在。则元时已有此名目。

这里所指出的“四柱法”,是指转入、岁入、支出、余额的四项分类的记录方法。这种方法是一种大福账,即所谓的时间序列性账簿,是按入和出的时间顺序记账的方法,其局限在于入和出没有对应关系,差额只有在最终才能显现出来。它与“预算”、“决算”的方式方法不同,在关于事项分别分配的规定性上很是薄弱。

再次,中央与地方关系中产生的财政问题是很重要的,这是中国史上财政所具有的结构性特征。中国的财政,分为名目收支和实质收支。也就是说,计算上的收支和实质性的收支流向是不同的。关于这两者的区别,如下图所示:

两者的差异在于,名目上的岁入、岁出,分为地方与中央两部分,岁出在计算上和记录上归属于中央。从实际上考虑,岁入首先是作为本省必要经费的存留被留下来,然后再支出,其次是作为对邻省或必要省份不足部分的援助(协饷)的支付,它们的最后余额才是最终送交中央财政的部分(起运)。作为其结果,可以看出以下两点很重要的特征:中央财政并不存在直接的财源,都要经过地方财政;而且中央财政实质上可支配和可运用的额度,只是各省扣除其必要经费以及对其他不足省份支援部分后的余额。

综上,清朝财政机构上的中央地方关系在内在机制上的问题已经很清楚了。也就是说,在官制上,财政机构以户部为顶点,其下依次为省、州以至于县,这是一种中央集权式的构造,户部处于统摄全局的地位。但是,财赋的流向却与这种中央集权的机构相反,是地方分权性的,甚至各省的各自为政也都得到认可,即户部接受从各省运送(起运)来的税粮,是各省留足必要经费后(存留)上缴的部分。特别是,各省之间还进行为救助邻近省贫穷状况的省与省之间的相互援助(协饷)。而且,户部以外的各部,若有上谕,还能使各省承担其所必要的临时经费(自筹自销)。因而,可以这样说,户部的任务只不过是把上缴的财赋向各部、各官厅进行分配而已。

从财赋的流向也可以看出,户部并不掌握处在中央集权顶点的财政权,如果围绕财政权的指挥监督系统来说,实质性的地方分权倒是更为明确的。也就是说,作为财务的监督部分按理说应该在户部,但对皇帝来说,它却与督抚——各省事实上的财务长官——处于并列的地位,而不是一种服从与被服从的上下级关系。特别是布政使——各省的财政长官,只和督抚有隶属关系,而与户部没有直接的服从关系。对皇帝而言,处于同级地位的中央和地方的财政官厅,到了清末更是十分对立的了。在这种状态中,官制上的中央集权本身状况,地方及国家的收入、支出细目,都根据会典及其他法规作了细致的规定;并以此为基准,每年按规定不断向皇帝报告,但报告的并不是财富的实际流动,而是一种对账,只是维持形式上的运作而已。

(二)会计表

到了清末,出于对旧日的大福账(流水簿)式的财政运用方式的反省,开始考虑引入预算、决算方式,这显示出了要倡导确立国家财政的见解。

有关国家财政的专著,在中国历史上并不多见。清朝中期王庆云所著的《石渠余记》,属于为数极少的财政论专著。清朝财政的特征之一,而且也是中国历史上所见不多的税制政策,就是1721年(康熙六十年)的“盛世滋生人丁”中所记载的关于税收上限的规定。它是把当年的人丁数作为上限数,并以这个数为基数,将以后的租税收入额相对固定化的产物。这个政策可以说是讴歌盛世、炫耀权力的表现。这种财政政策意味着依据“量入为出”的原则,将收入总额固定化,作为其结果,也使以后的支出固定化了。

王庆云还在《纪会计》中就财政运用问题作了论述,提到了因岁入不及岁出所以要强调节约的问题。

康熙四十五年十月谕:钱粮支用太多,理当节省,否则必致经费不敷。彼时,又欲议开捐纳乎?每年,有正项蠲免,有河工费用,必大加节省,方有裨益。前光禄寺一年用银百万两,今止用十万。工部一年用银二百万两,今止用二三十万。必如此,然后可谓之节省也。

康熙四十九年十月谕曰:朕践祚五十年矣,除水旱灾伤,例应豁免外,其直省钱粮,次第通蠲一年者,屡经举行。更有一年蠲及数省,一省连蠲数年者,前后蠲除之数,据户部奏称,通共会计已逾万万。朕一无顾惜,百姓足,君孰与不足。朝廷恩泽不施及于百姓,将安施乎?朕每岁供御所需,概从俭约。各项奏销、浮冒,亦渐次清厘。外无师旅馈之烦,内无工役兴作之费,因以历年节省之储蓄,为频岁涣解之恩膏。朕之蠲免屡行,而无国计不足之虑,亦恃此经画之有素也。

王庆云之所以主张节俭,是因为预见到了国用(中央财政支出)的增大,并暗中感慨道,如果从国家财政(国计)的观点来看,对于那些原本应纳入租税的免除,实际上成为经济发展的一种阻碍。

清末作为财政改革政策的重要支柱,是力倡进行预算、决算的主张。1896年(光绪二十二年),刑部主事李希圣编纂《光绪会计录》,明确地展现出了岁出与岁入的实际情况,并尝试着将财政的全部数字用一体形式表现出来。李希圣编纂《光绪会计录》的主旨如下:

泰西各国岁出岁入之款,年终则布告国中,登诸报馆。故虽五尺之童,无不能言国用者。中国则不然。虽司农大臣老于其任者,不能尽知也。通才硕学,博极古今至问,以左藏之所掌,则愕眙而不能言。盖官既无成,书吏亦无专牍。虽欲稽考其道,无由余于掌故之学,夙所究心。甲午之夏,重入京师,讲求中外交涉之故,于泰西各国富强之政,亦既得闻其凡矣,独于本国度支不能尽悉。窃用恧焉,逢人而询,呼吏而语,展转传抄,久而大备。藏诸箧笥,不敢示人,盖当路之所讳也。

中日和议成后,言变法者纷纷。天子亦思奋发自强,采其一二,既己见诸施行矣。然则户政一端,仿行西法,使人人尽得而见之亦当务之急也。乃敢排比钩稽,表而出之纲目,具举黎然可观。盖国家八千余万之出入,尽在是矣。治国闻者,可以考焉。自祖宗盛时岁入不及今日之半,然用以削平诸夏,鞭挞四夷。其时太仓之粟红朽相仍,府库所藏动逾亿万,天下殷富户有盖藏。江淮之间尤为奢汰,一宴之费,或至千金。盐漕改法,黄河北流,夷祸萌芽。海疆多故,征兵转,天下骚然。大盗乘之,毒流海内,竭天下之全力,仅乃平之,而后乃今患贫矣。

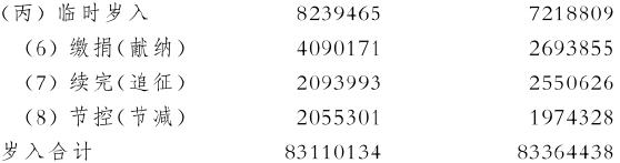
据李希圣《光绪会计录》,光绪十八、十九(1892-1893年)两年的岁入岁出项目,做成如下所示。

岁入之中,常例岁入大约为4300万两,占全部岁入的1/2以上。余下的来自新增岁入项目下的厘金和海关关税,约3000万两,临时岁入为700万至800万两。其构成的特征,并不是常例岁入中各项目的扩大征收,而是增加新立的临时岁入项目,其中的捐纳一项就是一个很好的例子。

岁出中,增加的部分有:新增岁出的营局(军队及事业费)、关局(海关、厘金局经费)、洋款(外国借款)的返还。

另外,英国驻上海领事杰米逊(Jamieson),从《谕摺汇存》的记载中,计算出了1890年代初期数年间的年平均岁入、岁出额。

岁入中,海关税约2200万两,直逼地丁银的数额,海关税和厘金税合起来则超过了土地税,而且还比李希圣的《光绪会计录》的岁入额多出了500万余两。岁出中,海军、军舰、炮台、军队添置所增加的费用为1800万两,增加的边防费约700万两,与军事有关系的经费占到全年岁出的28%。

很明确,不论是李希圣,还是杰米逊,据他们所制成的清末会计表,清朝财政中新增加的支出,不是用财政收入而是用外债来补充的。关于这点,将在下节中详细论述。

二 中央与地方——关税、厘金、币制

清朝末期,从中央——地方的关系上看,可以看做地方被重视的时期。我们可以考察一下作为其表现之一的地方志编纂的变化。据表1-3所示,继乾隆末期到嘉庆时期地方志编纂的盛期之后,19世纪后半期则再次形成地方志编纂的高潮。

表1-3 清朝时期地方志编纂数——各省

上述动向反映出,到1860年代太平天国运动后,地方恢复政策的推进;也特别反映出从1860年代开始,中央政府在财政再建政策(通货膨胀政策)失败后,推进了强化中央财政的政策。也就是说,19世纪清朝的中央财政,在只依靠地方以求再建的状况中,也增大了中央与地方的矛盾,于是产生了中央与地方之间在财政权限上的界限问题。这就是所谓的中央与地方的划分问题。它主要是作为对地方各省推行财政政策和自强政策的一种干预措施,表现为在地方上收取税金的现象。

(一)中央——地方财政关系

清末中央与地方的财政关系大致上有着怎样的内容呢?由地方各省向中央政府上缴的税金,除米和特产品等实物以外,还包括各省政府分摊的一些项目,它们被用于支付以下的开销:

(1)北京内务府(内务府经费、造办费、颐和园经费等)

(2)北京兵部(北洋练兵费、东北边防费等)

(3)户部[1906年以降的度支部](前后局等)

(4)北京各处:部、卫、署、院、局、监、校的机关经费

(5)支付赔款本金、利息的分担金

(6)支付外国借款本利的分担金

如果就以上所见的项目作判断,可以发现其中所表现出来的一些关于中央财政的问题。其一,上面所列项目的每一分类下,分配给各省政府的负担,如果从中央政府的角度进行考察,就产生了财政是不是中央集权性的问题。因为使其分担必要经费项目的这种结构,即使不具备中央“集权”的形态也是可能存在的。换言之,若再考虑到并不存在经常费(恒常费)和临时费的区别的话,那么中央财政也可以说不过是地方财政的“总和”而已。

另一方面,若从地方财政的角度来看这种状况,当然负担是增大了,作为结果,为了确保新财源,地方财政通常不得不勉强筹措款项。见清末浙江省的中央财政负担实情表1-4.本来厘金刚刚开始征收时是以地方处置为目的的,但后来却被充当了地方各省的中央财政项目。而实行汇款(协饷)的省份,如广东、广西、福建、安徽、四川、湖北、江苏,其项目也以军事为中心,把关税、盐课及其他征税项目联系在一起。另外,各省中有关浙江省上缴部分的各项目也一样,军事、关税以及厘金财源并非临时项目,也被充作了常项,这反映出地方与中央的财政关系中,对厘金的利用广泛且细化结合的状况。而且各项目由于定额化、固定化,一年间合计可达到100万两的程度。浙江省是与江苏省、广东省并列的厘金收入最大的省份,课以这样的负担是可能的,但是,一旦地方需要财源的时候,我认为这样的融通方法就会出现困难(参见《结论》)。

20世纪初,中央为了偿还外债和赔款而加重了地方的负担,对此,全国主要省份的总督、巡抚们,连名上奏请求减轻地方负担。他们以刘坤一(两江总督)、张之洞(湖广总督)为首,有奎俊、陶模、许应、魏光焘、聂缉江苏巡抚)、王之春、李兴锐、任道(浙江巡抚)、镕德寿、岑春煊、端方、俞廉三、丁振铎、李经羲、邓华熙、盛宣怀诸人。他们极力反对负担加重,主张如下:

会奏摊款减成电摺

开封军机处钧鉴,各省分派赔款,为数过巨,筹措万难。方今民生困穷,商业凋敝。经去年之变,各省商民元气大伤。种种筹款之法,历年皆经办过久,已竭泽而渔。若再痛加搜括,民力既不能堪,赔款仍必贻误。且沿江沿海五省盐厘货厘,久已抵还旧案洋债拨补大半无着。近年加拨各款多系有名无实无法筹解。而自去年以来,南北各省闹教赔款多者二三百万,少者数十万。即不闹教省份,摊派直隶教案赔款亦二三十万至十数万。此又出于各项饷需之外,民怨已深,正苦无从设法。自新案大赔款,经全权定议后,数月以来,屡与司道各局筹商,无不焦思束手。虽勉强搜罗,断难如数。且即所拟议奏明筹捐加收之数,将来亦恐难收,足实无把握。间有议加货厘者,乃是无聊之极思。窃恐驱鱼驱爵,徒归洋旗子口收数,转不能多。若按粮捐输,少则无益,多则必然扞格。房捐虽有办者,亦不能多。此外各种筹款之法,无一易办者。总之无论如何筹加筹捐,无非取之于民。当此时势,民心为国家第一根本。以民穷财尽之时,倘再尽力搜括,追呼以供外国赔款,必然内怨苛政外愤洋人,为患不堪设想。

赔款的负担,在加重各省负担的同时,势必导致民生困穷、商业凋弊等状况的出现,这种无可奈何的局面,必然导致民心不稳,国富无望。清政府在《马凯条约》(1902年中英通商条约)中签订了作为解决政策的提案内容,其内容为:加税5%所得的增收部分(也包含对以前的免税品的新课税。关于《马凯条约》参见本书第四章第二节),由天津海关的穆廉德尔夫所保证的增收部分,以及25处海关的增收部分,这些资金用于购米,以节约从其他地方漕运的费用,这样大约可以筹措约500万两白银,以偿还总额为1800万两的欠债。

根据这个提案,可以明确看到,“中央财政”这一独立的财源不复存在了,地方各省首先从地方的实际情况出发,将扣除后的余额再上交中央;可以说这一提案更加强化了地方主导型的财政运用。

在这一过程中,地方督抚们的态度也很有特点,督抚们把赔款和借款的返还看做中央(国家)的职责,而把负担视为地方(民众)的事情。或者说,奉行着这一逻辑的督抚们,表现出了立足于“地方”的态度。这种态度,与19世纪后半期尤其是洋务运动时期李鸿章、左宗棠等人所表现出来的中央观是不一样的,那时他们可以说既是中央政策的制定者,也与地方利益是一致的。但前面所说的督抚们,在言及1902年《马凯条约》中所签订的裁厘加税(撤废厘金,取而代之的是增加进出口税率)时,他们只讲加税问题,并根据它来计算偿还外债的财源增加问题;而对另外一个裁厘问题,亦即与他们地方利害关系密切相关的厘金撤废问题,他们却丝毫也没有提及。大概可以这样认为,在中央与地方的关系问题上,本来应该从中央立场上来处理地方问题的总督、巡抚们,反而僭越了自身作为调停中央与地方之间利害对立关系者的身份,将自己置于以扶植地方利益为重的位置上了。以厘金税来偿还借款的情况如表1-5所示,通过此表可以看出,厘金税本来是归于地方税的,但却被中央调用,从而成为压迫地方税的东西了。

20世纪初叶进行的各种各样的改革运动,也包括了各省所进行的自强政策,其中有新的行政、教育、警察、司法等等方面的改革。那么这些方面改革的经费是如何筹措的呢?请见下面以河南省北部卫辉府所属9县为例做成的表1-6.

表1-6 河南省卫辉府的捐税(光绪二十九——三十四年)

河南省卫辉府20世纪初叶相继开始实施教育、警察等新的政策,并实行了与地域社会安定相并行的振兴政策。而这期间所筹措的财源,基本上是捐纳。捐纳主要是以谷米买卖交易、石油、火柴、棉花、猪、胡麻及其他交易为对象的课税,还有来自对庙宇、店铺的征收。其中特别是对谷米交易的征收占了压倒性的多数,同此前的以土地为对象的课税相比较,我们能够看出从流通市场吸收财源的情形。

另外,对于厘金来说,许多人指出了它的弊端,但即便如此,也不能无视其以往所形成的、作为地方税所占有的独立地位。例如,《贵州全省财政说明书》中《岁入部·厘金》一项下,就有历数厘金弊端的极端之例:(1)在全省征收厘金的50余处厘卡(即征收厘金的税关)中,上上下下之官吏竟然有半公半私的行为,私自进行交易;(2)规则虽然存在,却并不遵守。在这些批评之后,该书作了如下评论:

以上诸弊特举大端,现与通商各国,议订商约其第八款云。中国认悉在出产处,于运转时及在运到处,纷纷征收厘税以及别项货捐,难免阻碍场务。不能流通,势必伤害贸易之利。是以允愿除第八节所载之销场税外,尽裁此项筹饷之法。又云所有厘卡及征抽行货地捐各关卡局裁撤后,不得改名或藉辞将此项关卡复行设立等语。加税免厘不久,将见诸实行揆之内政外交,除裁撤而外,更无他策矣。乃黔省财政支绌,厘金为岁入大宗。宣统三年预算亏额百万有奇,尚须设法切实节筹厘金一项。算入银一十五万有奇,较宣统元年虽已减算一万三千余两,其在入款亦非少数,如悉数裁去则亏短更巨,何以支持?查各国之税法不同,立法之趋势无异。考其性质,惟内国消费税之课于转运中者,如日本冲绳县之酒税、奥地利之谷物税,近似于厘金。是厘金性质在各国普通税法中,已不可见其特别采用,似亦别具宗旨。通过税非文明税法之经常,则厘金非文明税法。所应有况黔省厘金局卡报解抽款,仅大别之为土药、百货二宗,从未分析物类。国家税不问其所出,直接征收,何殊请负方法,更非课税完全之制。

在这里,它指出,《马凯条约》(1902年)第8条中,有关于与诸国间决定厘金的撤废和废止后禁止复行的规定,但厘金作为贵州省最大的收入项目,就像冲绳的流通税和奥地利的谷物税,虽然不一定是适应于时代的税种,但出于它在地方的重要性却不能轻易地被废除。

在中国经济史中,要想掌握动态的流量是很困难的。但是,如果能够追踪考察厘金实态的变化情况,这就有可能追寻出资金、商品和商人的动向,这也就是我做第四章课题的初衷。

(二)货币铸造与财政问题

在一个朝代里,政府总是要不断地采取通过币政来加强财政的政策,而这种币政就是纸币的发行和钱币的铐造。它的背景是,财政运用过程中有白银的存在,但白银并不是作为表价货币存在,而是作为秤量货币来使用,中央政府并不是把白银作为货币金属来管理。另外,作为两种货币金属的白银和铜,政府以同一重量的比价100:1将其极大地分离开来,因为政府只须管辖铜钱的铸造,所以,政府能够在为高额的表价额的铜钱流通提供方便这一名义上铸造和发行铜钱。

如果从中央——地方财政关系中的通货权问题上来看这个问题,它又有什么样的特征呢?也就是说,关于通货发行及其流通,中央有着怎样的权限呢?在中国的货币流通史上,几乎没有过黄金流通的历史,基本上是白银与铜钱复本位制。其中,铜钱归中央管辖铸造,白银则由民间银炉铸成马蹄银,作为秤量货币流通。而两者的比价从1000:1(白银1两=铜钱1000文)出发,因时代的变化而又形成很大的价别。

尽管中央政府并不直接管理白银的流通,但在制定征税政策时,因“地丁银”和“一条鞭法”的实行,从而在客观上确定了以白银作为收纳的主要形式。因此,民间在很大程度上要依赖于经营换金业务的钱庄,即使是作为汇款机构的民间金融机构——山西票号,也在很大程度上作为征税银的汇款机构而存在。也可以说,所谓的白银流通以及公金的汇款,却要依赖于民间进行。在这种情形下,官与民之间就形成了互为依存的关系,形成了中央——地方关系相并列的作为基本经济关系的官民关系。到了1860年代,由于发生了被称之为“咸丰通货膨胀”的通货危机,通货发行和流通上的官民关系才出现了紧张化。

1.咸丰时期大钱和钞票的发行(咸丰通货膨胀)

在中国历史上,所谓钱就意味着制钱,重量被定为1钱2分,由官设的铸造局来制造。对这种钱,一个钱若是表示5钱或10钱等等的高额价值,它便被称为“大钱”(重钱)。所谓的钞票,则统括为宝钞(作为货币的纸币)和官票(官吏的白银票),是政府发行的纸币。

1850-1860年代太平天国运动的过程中,面对财政危机的清朝政府,必须解决通货稳定和资金筹集这两个课题。在鸦片战争以前就有过铸造大钱的建议,也有关于发行纸币的争论(王《钞币刍言》、许楣《钞币论》等)。但是,作为货币政策而提出具体建议的却以1851年(咸丰元年九月十九日)王茂荫的上奏为其开端。以下想探讨的,是关于大钱发行和钞票发行的构想,和一直到1850年代决定清朝货币政策的争论。首先,关于大钱铸造的建议,有1842年御史雷以的上奏:

惟有不必贱银,亦不必废现行制钱,只须稍重铜斤,选择上好铜色,增铸一两重钱,以当百钱之用,与制钱并行不悖,是亦法之简而易行者……

在这里,雷以论述了由于铜钱与白银价格上的差别过大,政府可以铸造重量为1两的大钱,价值百钱,从而与制钱并行流通的见解。

但是,通过铸造中间货币以补货币之不足,并由它弥补财政之不足,这一见解必定包含着两者不能同时解决的问题。首先,中间货币在其价格之中,如果必须表示出它本来就含有的金属价值的话,百钱铜币的重量理应是12两(1钱2分×100);另外从原料费节约的方面来说,这样也是不可能的。为了弥补铜钱在重量上的不足,雷以陈述了长达12条的具体政策建议:

1.铜色宜定也。

2.分两宜定也。

3.制造宜精也。

4.钱模宜准也。

5.宜专责成也。

6.铸钱及收放成数宜定也。……凡有应放应收银项,银七成重钱三成;应放应收钱项,制钱七成重钱三成。凡钱铺有赴局购钱者,亦以制钱七成重钱三成发给,均应照市价制钱酌量扣算。如有专买重钱者,酌加一成付给以示奖励。

7.行使宜有序也。……宜先从各官俸廉按银七钱三之法,分别发放则行之于官者,可达于市廛。市廛信于官,则百姓不疑于市廛。既行于百姓,即无不可行于兵丁。

8.捐赎各项宜重钱也。

9.征收钱粮宜定成数也。查定例,各省征收杂税存留各项钱粮,向准白银七钱三交纳,其所以敢违成例者,一则藉口制钱笨重,难于起解,一则因制钱一千准银一两,按之市价不免赔累。……嗣后各省州县,无论何项钱粮,俱准其银七成重钱三成交纳……

10.盗铸宜禁也。

11.红铜器宜稍禁也。

12.宜斟酌晓谕也。

雷以的主张中,第一,为确保货币信用,规定了制造上要精确;第二,在使用规定上特意区分了两点,即(1)政府的使用规定等于放出规定、(2)民间的使用规定;第三,列记了违反的处罚规定。他在这里,是将“大钱使用”放在资金的运用层面上来考虑的,并希望以此来使先前的货币不足和财政困难两者同时得以解决。

但是,对于雷以的提案,户部潘世恩则给予了反驳。他认为:

今若铸一两重钱,以当百钱,除铅不计外,计短铜至五两四钱八分之多。现在京城市肆制钱五百名为一千,而其实民间货易止作五百之用,是一钱尚不能当两钱之用,而欲以一两重钱当百钱之用,恐商民难以听从。且大钱若行,私铸更易,论工本则轻而又轻,论利息倍益加倍。

潘世恩是从货币金属主义观点出发的。在他看来,重量比例的变更,也许会带来商民不服从的问题,从而在这方面也就引发了如何理解“民间信用”的问题。

以上述所提出的这些关于大钱铸造的基本论点为背景,户部主事王茂荫在1851年提交了以下关于发行大钱、钞票(纸币)的上奏:

1.拟令钱钞可取钱也。查市行钱票,与钞无异,而商民使用者以可取钱也。宝钞准交官项,本自贵重,而人总以无可取钱,用多不便。若于准交官项之外,又准取钱,自必更见宝贵。

2.拟令银票并可取银也。现行银票钱钞,均属天下通行,而行远要以银票为宜,欲求行远,必赖通商,欲求通商,必使有银可取。人疑无如此现银以待取,而不知各省之钱粮关税,皆现银也。今既准以银票交官矣,此抵交之银不归之商人乎。既可准其抵交,何妨准其兑取。自上计之,二者初无所殊,而自商视之,则二者大有所异。盖抵交迟而兑取速,抵交滞而兑取灵。

凡州县征收钱粮,必有银号数家,将钱统易为银,持银统熔为锭,以便解省。今使商人持钞至倾熔钱粮之银号,准其兑取现银,则商人之用钞便,而得钞不待倾熔,即可解省,于银号亦便。在各州县收钞于商与收钞于民,初无所异,而零收之与整兑,亦有较见为便者。今若于准交之外,再加准兑取一层,则钞益贵重,处处可取银,即处处能行用,而不必取银。

3.拟令各项店铺用钞可以易银也。各店铺日卖货物,惯用市票,何独惮于用钞,以市票能易银以置货,宝钞不能易银,即不能置货。此虽强令行用,将来货物日尽,宝钞徒存,市肆必至成空,不独商人自虑,即国家亦不能不为代虑。查银钱周转,如环无端,而其人厥分三种:凡以银易钱者官民也,以钱易银者各项店铺也,而以银易钱,又以钱易银,则钱店实为之枢纽焉。各店铺日收市票均赴钱市买银,而钱店则以银卖之,今请令钱市凡以票买银者必准搭钞,则各店铺用钞亦可易银,而不惮于用钞矣。各店铺不惮用钞,则以银易钱之人,无非用之于各店铺,凡令钱店开票者,亦可准令搭钞矣。各钱店开票亦可搭钞,则以银买各店铺之票而亦不惮于钞矣。凡以三层关节为之疏通,使银钱处处扶钞而行,此各行互为周转之法。

4.拟令典铺出入均准搭钞也。查现在典铺取赎者用钞不敢不收,而当物者给钞率多不要。使典铺之钞有入无出,将来资本罄而钞仅存,不能周转,必至歇业。典铺歇业,贫人益无变动之方,应请令嗣后出入,均许按成搭钞,此一行自为周转之法。

王茂荫在上面的论述中,提出在大钱和钞票发行的时候,有必要保证中央体系的流通,更有必要确认发行的地方化状况,特别是必须要有对民间流通和商人、贸易的通盘考虑。王茂荫所忧虑的问题是,用大钱来弥补现银的不足之处和在维持纸币发行不可与银兑换的状态下能否保证其正常的流通。也就是说,大钱和纸币,尽管其发行本身能够弥补财政不足,但其流通却不能得到保证,二者就是矛盾的;另外,假如大钱和纸币的兑换性被全面认可的话,政府用于兑换上的财政支出将是巨额的,与作为财源补给的初衷也正好相反,这也是令人担忧的情况。王茂荫对历代王朝仅着眼财政补给而引发通货膨胀的做法十分忧虑,极力主张必须进行兑换保证。

1853年3月,由福建省发行了最初的大钱,渐次发行了相当于10、20、50、100的大钱。紧接着大钱在北京发行,然后在全国各地的铸造局发行。1854年发行总额达到2亿6600万文,如果按1两=1000文来换算的话,相当于266000两。

1853年5月咸丰纸币出现了。王茂荫主张发行10两、50两两种类型的纸币,理应作为兑换券。但是户部却决定发行了银票(1、3、5、10、50两的票面价格)和钱票(250、500、1000、1500、2000、5000、10000、100000文的票面价格)。

至于发行、使用方式,则被规定用于赎买典当、谷物购买、买官资金、纳税(30%-50%)等;其后,更扩大到官吏的俸禄和军队的俸禄。由于这是银票交换,所以政府还在北京设立了作为官方兑换金融店的官银号。

从那以后,政府在全国铸造了大量的大钱,限于都市流通,结果市场上出现了钱价急速下跌(银价上升)和民间私铸大钱的情况。而且,与王茂荫的提案所设想的不同,由于非兑换纸币的增发,纸币膨胀(贬值)也在急速地加剧。大钱和纸币的发行,只发挥了极其短暂的弥补财政的作用。而这个过程中非常清楚的一点是,大钱发行是政府在财政上的一次失败的尝试,也就是说,由于清朝通货政策的破绽,从而导致了财政运用原理上的破绽。除此之外,更由于大钱的流通,(1)各地方铸造局都从各自的地方财政状况出发铸造大钱,从而使发行钞票的通货权地方化了,而且随之又产生了财政权地方化的呼声;特别是(2),通货的流通,由民间金融机构的“协力”始成为可能。尽管如此,其过程中也产生了使通货膨胀增幅加大的事态,而且,也出现了拒绝交易和阻碍流通等状况的发生。学者们有必要对这一问题引起注意。

清朝政府没能恢复财政权上的中央集权化,增发通货政策的采用也未能使它成功;作为一种交换,反而带来了地方财政的分立和通货发行地方化的趋势。我们能够看出来的情形是:权限从中央向地方转移,力量从官方向民间转移。

同时,在金融市场上,基于清朝政府的通货政策,从其税金征集到资金分配(支出)所形成的循环过程来看,政府在以开放口岸为中心重构金融市场的同时,也进一步推动了金融业者在交易活动中基于通货需要而采取的行动。总之,我认为,咸丰时期(1860年代),对于清朝的中央财政而言,正处于已不可能恢复财源的时期。因而,其中存在着从中央向地方、从中央(官方)向民间这样一种财政、金融活动重心的转移。

2.清朝末期的铜元铸造

对地方政府的财源来说,最大的财源收入是货币铸造。在货币铸造上,清末1两点值得注意的变化:第一点,铜元(面值10文钱的铜币,大小与1文铜钱一样,无孔)的铸造。它一方面是随着物价的上升而出现的高额货币需要的产物;同时,在另一方面,它也因用料更少从而能筹措到更多的财源而出现。从四川省成都铸造局的铜钱铸造量可见,清末(光绪末年)时期里,10钱铜币、20钱铜币被大量铸造,1908年,两者合计铸造了总金额约合170万两白银的铜币(参见表1-7)。第二点,引人注目的是银币(银元)的铸造。清末期,如表1-8所见,成都铸造局从清末到民国初年大量铸造银币,每年的铸造额度都超过100万两。特别是从1905年到1909年,大量银币被铸造发行,可以发现,地方进行改革事业所需的各种经费就是由货币铸造来筹措的。同时,为了弥补这一时期经济活动中流通手段之不足,尤其是到了后来,政府还发行了以1银元币为中心的高面额通货。

据表1-9,通货发行额以湖南为最高,其次为湖北、江苏、河北(天津)、广东、浙江。这一顺序,既反映出了地方政府的力量和该地方的经济实力,同时,我认为这对于我们考虑辛亥革命时地方力量的强弱问题也提供了很有意义的参考。

表1-7 四川省成都铸造局铜钱铸造量(单位:个数)

表1-8 四川省成都铸造局银币铸造量(单位:个数)

上表中,关于发行总额占全国第二位的湖北省的货币情况,宜昌海关税务司的美国人伍德拉夫(F.E.Woodruff)写下了《中国所欠货币与改善方案》的报告书。他指出,当时的钱价上升,是由白银的国际价格下跌和铜钱不足所引起的,应该实行制钱铸造。而且他还提出了以下9项提案:

至补救一事,此时已知有国家体恤商民之苦,立饬各省开炉鼓铸。惟闻新钱未能通行各地,恐难敷用。其中拟请便通办理,妄列九端,兹特逐款详述于下:

1.系先由宝泉、宝源两局议定各省所铸制钱工料,如何配合均须一律。其料似可掺和数样,如乾隆年间所用铜、铅、锡、白铅之类,纵其中间有一项价值忽有低昂,而他项并无轩轾,则所值仍可期平稳。惟工料约与旧制钱相敌,则新旧无甚出入矣。

2.所铸之钱,莫妙于用机器制造。式样仍仿旧钱而市廛通用时,皆知其不过旧制,新铸亦喜其便于行使也。

3.系预先晓谕商民,限以定期。嗣后只用新钱,所存旧钱到时禁用。

4.铸钱局须先期按时价收买旧钱,或改铸新钱,或熔化出售其料。此外另购新料以铸新钱。其新钱或为公中使用,或兑商民旧钱,俟新钱市面充足有余,方可停铸。

5.晓谕商民,限期之内,凡有旧钱,均当送至局中改铸。如彼时尚无新钱,则俟铸就之时如数发给。如局中有新钱,则立即照付后,由局或熔化或改铸。当收钱时,如系旧制钱则按数以给,如系小钱则按市价以给。惟局中均不得向商民索取规费。

6.系再准商民,将钱料送至局中,请其代铸新钱。其章程与前一条同一办法,亦不得索取规费。

7.系新钱当未充足市面之时,最紧要者,在无分昼夜赶铸以期充足,虽银元亦可暂时从缓。

8.系俟定期新钱,各地均已畅行充足。光景已可敷用,则亟应严查旧钱罚充入官,或改造或售料。

9.定期后仍准商民随时将铸钱各料送局铸钱,亦不得索取规费。

以上九端,此系补救制钱要事。

综合伍德拉夫提案中关于铜钱铸造、发行、流通改革方案的9条要点,可以简要概括为以下9个论点:

(1)户部要制定全国性的、统一的关于铜钱制造的规定。

(2)实行机械制造,但要与以前的式样相同。

(3)旧式铜钱要在将来某个时点上禁止使用。

(4)以上面所说的旧币禁止使用的时点为限,铸造局收回旧币。

(5)回收之际,旧制钱以面额价格与新铜钱相交换,小钱则按市场价格相交换。

(6)如果一般人手中还有铜的话,应该不收手续费而为其铸造成铜钱。

(7)为新币铸造而倾注全力。

(8)新币流通之日,也就是旧币退出市场之时,应使其停止使用。

(9)新币流通开始以后,一般人若持铜去铸造局铸币,应免予收取手续费。

伍德拉夫提出了上述诸如全国按统一规格铸造新币、新币与旧币等额交换以及采用自由铸造方法等9条提案,从其基本的思路看,他是针对当时出现的货币发行地方化、货币权地方化的情况,希望通过以上方面的努力来使中央的货币权和财政权得以恢复。