海关与地域市场

第四节 海关与地域市场

首先需要解决的是税关与地方市场之间的关系问题。

常关被设置在沿海与内陆的主要贸易地,通过课税的形式掌握地域市场的集散以及地域市场间的贸易动向。这一点对海关的设立也产生了影响,它意味着常关在其管辖范围内所拥有的地域市场也要由海关来继承。而且,与海关几乎同时期即19世纪中叶开始设置的厘金局,也以地方性且小规模的市场存在为前提。这意味着对于19世纪后半期的海关及厘金局的位置与作用的研究,在探讨地域市场以及地域流通经济方面上具有重大意义。在本节中,就从这一视角出发,分析探讨税关与地域市场之间关系的几个侧面。

海关与地域市场发生关系并开始发挥作用是在19世纪70年代以后。海关设立的初衷,在于试图使既有的进出口贸易更加顺利。然而,直到70年代为止,伴随着地域市场的进展以及地域市场之间贸易的实际实况,海关机构必须进行自身整顿以及税则改订工作。

1863年曾做过驻英国领事馆翻译的罗伯特·赫德担任海关总税务司之后,一方面出现了海关组织集中化、规模扩大化的状况;另一方面海关应该适应地域市场的趋势,同时,也接受了外国商人利益团体提出的税则改订以及海关运营方面的要求,与条约的改订谈判也密切联系起来了。

在海关的运营过程中,伴随着贸易变化以及条约改订谈判的形势,海关的每个具体历史时期都出现了相对应的问题。各个时期所特有的问题按照时代顺序排列如下:

1850-1860年代海关的设立和确立上海关事务的全国性地位。

1870年代条约改订交涉与充实海关制度,扬子江税务、厘金、海关银号问题。

1880年代贸易扩大和地方市场调查,开始出现地方财政与海关的关系问题。

1890年代借款担保问题。

从上述可知,海关功能虽渐趋充实,但在具体运作方面却陆续出现许多新问题。尤其是海关与中国原有海关行政之间出现的问题,不仅对海关机构来说是重大问题,甚至事关中国贸易秩序的全局,特别是财政问题的全局。

与此同时,我们还必须将海关与作为本来管辖范围的海关业务联系起来,注意海关周边存在的领域。这就势必要求调整与原有经济、交通、市场等相关的关税业务。在其主要领域中存在以下问题:

(1)帆船贸易与常关管理问题。

(2)厘金与内地转口税(transit dues)之间的关系。

(3)征税不完全以及沿海通商口岸与内陆市场中的二重课税问题。

这些问题与包括所有内陆贸易在内的总称为沿岸贸易的领域有关系。从整体上来讲,海关一边逐渐与国内市场保持联系,一边采取对外国贸易课税的方式。在沿岸贸易、转口贸易(transit trade)、扬子江贸易上都是如此。

从海关所管理的贸易这一观点来看沿岸贸易,可知沿岸贸易虽然以一般的字面意义反映出来的内容为背景,但在其具体内容上,主要指由西式船舶将内地产品从内地一港运送到另外一港的贸易。因此,根据沿岸贸易税规定其课税方法。税率则执行1861年11月制定的沿岸贸易规则,即:对课税品征收出口税的1/2;对免税品征收从价的2.5%。中国内地产品如果经由海关输送到沿岸某一港口,其所缴纳税款变成与向外国出口产品完全一样,在运出港以出口税征收5%,在进入港征收其一半的税金。原来规定这一税额在出口港一并交齐,但自1899年4月1日税则改订之后,规定要在运进港支付。其税额以出口税为基准,但支付形式却与进口税缴纳相类似。

19世纪60年代后半期开始,沿岸贸易问题逐渐提上日程。前面已经分析过,沿海贸易与内河贸易虽然在中国的对外贸易中通常被作为国内贸易分类,是在海关作用下的与外国贸易同一的分类。但通过与这种沿岸贸易的直接联系,即使在对内陆贸易上,海关也发挥了作用。

一 税则改订与内地贸易

条约中出现的税则规定,也对海关运营产生了巨大的影响。因为在条约中有税则“十年后重新审定”的条款,所以,尽管以英国为首的各国列强不断要求改订税则,但实质上,并没有在规定期限内实施改订。

1842年南京条约及1843年贸易条约制定以降,把英国与中国之间的交涉用年表示如下:

1843年税则制定

1858年天津条约、税则制定,1860年北京条约

1868年阿礼国协定(英国方面没有批准)

1876年芝罘协定

1902年中英通商条(马凯条约)、税则制定

从阿礼国协定没有被批准这一点来看,可见从1860年开始直到1902年的40多年间并没有对税则进行任何改订。

通过以上分析可知,从19世纪60年代开始直到20世纪初期,虽然基本上都以条约规定为基准,但是,比起条约上的规定来说,在条约具体运用过程中出现的各种问题尤其是内地贸易问题,更是令人关心的现实性问题。

外国方面一贯关心的是两点:(1)中国市场进一步向外国贸易开放;(2)中国政府遵守条约上的规定。这些问题集中体现在以下的要求之中:

①内河航运权的确立。

②中国铁路的开放。

③对以商业为目的的内地居住予以承认。

④在条约中并没有规定开放口岸的省份设立开放口岸。

从整体上来看,这些要求是与外国方面的要求相一致的。但是,考虑到1868年的阿礼国协定并没有得到英国方面批准这一背景,可以推知,条约谈判中主张的课税方法简单化与一体化(比如说,外国商品进口时,在最初到达的通商口岸同时缴纳进口正税以及子口半税),实际上未必能得到上海、香港的外国人商业会议所的承认。他们提出,中国方面每个省都有其管辖的财务行政,莫不如将子口半税在当地缴纳。究其原因,因为他们认为,这样能在该省内陆市场受到保护。在这种情况下,商人团体一方主张实行与内陆实际情况更合拍的做法,而中国方面则旨在通过海关集中地方关税,并将其吸收到中央财政,二者处于对立之中。

让我们分别来看海关、常关、厘金局这三个层次的税关情况。本来海关负责外国贸易,常关负责国内民船贸易,厘金局是负责管理地方贸易的机构。但是,在具体的运作过程中,海关通过转口税、子口半税的税则开始逐渐将业务范围扩大到内陆以及内地市场。而与此相对应,各地方的反应也很强烈,展开了为确保地方财源的厘金维持活动。如果把因转口税则而变迁的海关、常关、厘金局三者的相互关系,按照时代顺序制作成概念图的话,如图4-1所示。

图4-1 国内贸易海关、常关、厘金局关联图

正如上图所示,海关在内地所占的位置逐渐扩大。与条约上的规定同时,这其中存在着外国商人与中国商人双方围绕着条约运用而开展的竞争以及中央与地方财政围绕着确保各自财源而进行的角逐。

(一)税则与税关

各通商口岸的贸易特征可以通过海关的课税形态作更详尽的分类。通过与外国进行直接贸易时的进出口,以及对沿岸贸易征收的转口税、对内地贸易征收的子口半税、对鸦片贸易征收的鸦片厘金以至于包括内地市场在内的各种领域,通商口岸的海关掌握着外国式蒸汽船的贸易以及外国人租借中国船的贸易。从形态上来讲,海关管辖外国贸易,常关管辖沿岸及主要内陆贸易,厘金管辖地方末端市场。但是,从海关税则上来看,海关却与内陆贸易及地方末端市场也都有关联。这种关联如图4-2所示。

图4-2 税关组织与税则的关系

因为沿岸贸易作为外国贸易纳入了海关管辖范围,这种管理就和常关的管理相重复了。因此,围绕税则适用问题,海关和常关都试图从对己有利的方面来作解释,致使两方之间经常发生对立。而且,这一问题也波及到了进出口税这一本来作为外国贸易被明确区分了的领域。

同时,即使对免收厘金的子口半税规定(对纳税品缴纳进出口税金的1/2;对免税品缴纳从价税的1/2),因为实际操作中并没有完全遵守这一规定,也产生了强烈的不满与批评。从地方财政的立场来看,他们对基于地方征收政策而收取的厘金税不得不减少也产生不满。其原因在于本来作为地方税征收的厘金税,却因为在通商口岸已经缴纳过了转口税与子口税而免交,因为这样两个税则的规定,作为贸易品的商品就能够在外国贸易与内地贸易之间自由变换身份以减少税金的开支。具体如图4-3所示。

图4-3 课税贸易与贸易之间的关联

下面具体来看一下贸易品是怎样根据具体状况来自由变换自身身份的。作为自由改变身份的内容,有以下三项:

(1)所有者是洋商还是华商

(2)商品是外国品还是中国品

(3)船只登记的是外国籍还是中国籍

以上三项可以通过各自对应的证明书操作来进行自由变换。然而,与此同时,在税则的运用上,针对外国贸易与内陆贸易的各种情况以及两者课税面的优劣关系,外国方面与中国方面对以上的相互不分离的问题都提出了各自的不满、批评与建议。

(二)税则运用上的各种问题

外国方面的不满主要集中在以下两点:(1)对外国商品课从价税5%的这一标准是否符合税则的规定;(2)在中国内地是否真的没有税则之外的额外征收。海关对19世纪60年代末课税过多的情况作过一个数据一览表。如表4-19所示。

正如此表所示,根据商品的不同,进出口税也有所不同。具体为鸦片7.5%,棉制品3.81%,毛织品6.04%,金属5.68%,茶叶10.87%,生丝2.39%。除棉制品和生丝这两种在当时进出口中占第二位的商品之外,其他商品的课税额全部超过了5%。不仅如此,如果再加上在内陆贸易中的课税,课税额占第一位的金属为20%,超过了其他所有商品。因这种课税率比海关的课税率还要高,可以认作关税征收过多的例证。但是,即使对于出口贸易,这种课税也不是保护关税,而是作为财政关税而征收的,所以从这种课税政策上来看,税额的多少也是相对的。

因为是自由港的缘故,香港的税收损失初步统计大约超过了14%。而且,数据还显示使用转口证的内地贸易只停留在10%左右的程度。虽然19世纪70年代以后,这些项目也有了不同的变化,但基本上都成为外国方面认为征税过多而不满的根源。

除此之外,负责管理海关的总理衙门与总税务司罗伯特·赫德之间,以交涉谈判为中心,处理了许多围绕内地贸易而发生的事件。这种交涉事件的处理如本书第358页所示。

1.洋商运土货复进他口,征收复进口半税,并进口即如运入内地,逢关纳税遇卡抽厘。

2.洋商入内地买土货赴关请领报单。

3.颁行税单运照报单式。

4.豆石开禁准出口运往他口,一经离口自入内地逢关纳税遇卡抽厘。

41附录给英国照会。

42附录英国照复。

5.复进口土货半税,均应于所进海口呈交。不准于所出之口预纳。

6.遗失税单仍征正、半税。

7.核定征收子口税章程。

8.进口糖精分别中外货物纳税章程。

9.津关运内地洋货,照章改发税单。

10.洋商请照入内地摘要章程。

11.牛庄筹办子口税。

12.洋商入内地买土货,应由通商口岸进口出口。

13.洋商运洋货入内地,若无海关税单,沿途照章纳税抽厘。

14.进口土货逾限,复运他口,仍完正、半两税。

141附录给赫总税司札文。

142附录赫总税司申呈。

143又咨同治十二年六月十五日,准来咨以滋大洋行赤糖复出口一案,经东海关道按照本衙门咨文照会署税司班谟,将复出口赤糖令其完纳正税,毋庸发给存票。

144又咨同治十三年六月十七日,据总税务司申称,同治十二年四月间奉札以一年限外,土货复出口不但不发存票并应再纳正税。

15.复进口土货,按照出口原估税单,征收一半,毋庸另估。

16.洋商入内地买土货,如无海关报单即照华商办理。

17.洋商入内地置买土货,认真查验单照,暨津关准于入境首卡通融换给运照附报单运照式。

18.烟台条款内,核定华洋各商请领税单附单式。

19.洋商运中国土货离口入内地,镇江关误发洋货税单,仍照完内地税厘。

20.光绪八年总理衙门奏,据署北洋通商大臣李鸿章奏,归化关税项短绌拟请援案拨补等因一折。

21.准洋商进日完税后,沿途卖货缴单。

22.总理衙门咨,所有洋商进口货,准令沿途售卖一事。

23.光绪二十四年闽浙总督许应骙奏,前准总理衙门咨,光绪二十四年三月初三日附奏各省内河行驶轮船扩充商务一片。

24.护理湖南巡抚锡良奏,前准总理各国事务衙门咨,内港行轮续补章程九条,内开凡轮船装载洋货入内地,或领取子口税单,或沿途逢关纳税遇卡抽厘均听商便。又土货欲运往外洋,或照镇江子口单章程领取三联报单,均听华洋各商之便等因。

中国方面看来,以子口税(进出口税的1/2,缴纳了这一税金,就可以免除在中国内地的其他课税)为中心的各种问题错综复杂,只要产生这方面的问题,大多数情况都是在外交谈判中解决的,而子口半税在其具体操作中也并非采取同样标准。外国方面试图将内陆贸易作为既得利益坚持下去,对此,中国方面宁肯在每个个别案例上都限定其适用和运用。比如,项目1的内容就明确表明了这一点。

总理衙门咨。七月十五七日准英法国照会复进口之土货,再令洋商交一半税。此项税银与内地税饷相等二成,毋庸扣归等因。所有通商各口应从奉文之日起,凡洋商运土货出口不准再发免税单,复进他口再收一复进口之半税。此项银两无庸扣归英法国二成。再英国照会内抄粘扎文,新议长江办法及土货交过复进口税,再往内地贩运纳税之法,尚有未尽严密之处。本衙门现拟另立长江通商纳税章程,俟议定后再行备文知照。至土货进口交过复进口半税后,本衙门拟令如运入内地,应无论洋商华商,仍逢关纳税遇卡抽厘,不准发给过卡关票。当由本衙门再行照会,英法国公使俟有照复前来一并知照。此时未经议定,各海关应酌量先收复进口之半税,相应咨行查照通饬各口知悉。咸丰十一年八月初一日咨南洋。

这里规定,缴纳复进口半税(二次进口税,为正税的1/2)的商品,不仅在通商口岸登陆时,就是在运送到内地之时,也被剥夺免交子口税的特权,必须缴纳厘金。从子口税本来作为海关税与厘金税亦即中央税与地方税两者间利害对立的产物的这种性质来看,上述问题的存在可以说是一种必然的结果。

针对这一点,洋务派官僚中比较开明者、1880年当上英法公使的薛福成在其《洋货加税免厘议》中作了如下论述:

窃查总理衙门与威使订定值百抽十议者,以为不便其间得失各关局必且详言之。至其事之关系尤巨者……考光绪六年各关贸易总册,进口正税共收银二百三十八万余两,洋货半税共收银二十六万余两。而光绪五六年间户部册报,各省岁收百货厘金,将及一千二百万两。即使洋货厘金仍居三分之一,亦当得四百万两。今若加税免厘即半税亦在所免之列,是每岁当短收厘金及半税银四百二十六万余两,而多收洋税银二百三十八万余两。……若夫饷源偏重于洋关,动为外人所牵制挠我自主之榷,其弊一。各省少挹注之资外,权渐移于户部而疆事益难措手,其弊二。一旦有兵荒大事,无可设法以应缓急,其弊三。土货冒洋货以漏捐,而各卡之稽查不易则土货厘金亦必大绌,其弊四。厘金减半而其卡仍不能裁减,所需经费必尽取盈于土货。是因欲畅销洋货而使土货独受其累,与外海轻出口税重进口税之意正相反,其弊五。凡此五弊皆为天下大局计,而非仅为一隅一时一事计也。且以二百三十余万两之洋税,散之各关不见其多。其于原定各处之协饷,固不能多解丝毫也。若各省所收厘金,则准军月饷与北洋海防经费恃为大宗。

在这里,薛福成批评了海关税收增加与厘金税收减少之间的必然联系,担心中国的关税自主权会被外国(海关)进一步控制,提出应确保厘金收入的主张。但是,薛福成认为厘金税应该充当军饷与北洋海防经费的观点,说到底也是一种为强化中央财政而确保厘金收入的主张。我们有必要对此提起注意。

(三)南北沿海贸易与东西扬子江贸易

南北沿海贸易是以北方的大豆、豆饼与南方的砂糖、大米为中心进行的。然而,这种贸易由于转口税则的引入以及大豆向外国出口的解禁而被纳入到了外国贸易的范畴。而东西扬子江贸易是以江苏、浙江等位于东岸各省所生产的手工业制品和位于扬子江西面的四川所生产的农产品、鸦片为中心进行的。由于扬子江税则的引入,东西扬子江贸易同样被纳入外国贸易的范畴。然而,从税则或税收的方面来看,这种动向也带来了如下作用:使得上海的地位得到强化,并且使其作为大型转口地、集散地的作用更加增强;但同时,也使沿岸的帆船贸易和常关、厘金局等归属地方管辖的领域之间产生了新的摩擦与矛盾。

这种变化如下图所示:

图4-4 沿海、扬子江贸易的变化

从上图可知,外国贸易本来与沿岸贸易或沿江帆船贸易分属不同的领域,但是到了19世纪60年代末,外国贸易发生了涵盖原来的沿海、沿江贸易的变化。下文将对这一变化过程作进一步的分析和考察。

1.大豆贸易

19世纪60年代,沿海贸易中开始出现变化。从清朝末期开始,东北地区的豆饼就作为粮食作物和砂糖生产的肥料在华中、华南(福州、厦门地区)买卖交易。即使蒸汽船引入到沿海贸易中,清朝政府也没有向外国船只开放大豆贸易,而是保护以帆船贸易为中心的大豆贸易。

但在同治元年(1862年),登州与牛庄的大豆贸易开始解禁,这给本来依靠南北帆船贸易维持生计的航运业带来了巨大打击。以下描写充分反映了当时的情形。

(1)现在各口通商凡属生意码头,外国已占十分之九。惟剩登州牛庄装豆一款,系商船谋生之路。今若一网打尽则中国商船立见废弃,沿海居民生计壅阻,目下军需从何而出,将来海运从何而办,于大局煞有关系。并称天津海口本来无豆可装,登州牛庄除豆之外,外国船均在贸易自可保护。或因事有成议设法变通,各口豆石生意准外国商船贸易,专将上海一口归内地商人运销。庶几网开一面,以拯商民环求通详请奏等情。并据该关道详称,查江浙沙蛋等船航海往来贸易,其自南往北者货不拘一,而自北回南者总以豆货为大宗。即沪地生意向以豆市为最大,今若外国船只亦能装运,是该商船向藉此谋生者,一旦为洋商所占则该商船所称立见废弃,关系军需海运系属实在情形。

(2)自同治元年暂开豆禁,夹板洋船直赴牛庄等处,装运豆石。北地货价因之昂贵,南省销路为其侵占。两载以来沙船赀本亏折殆尽,富者变而赤贫,贫者绝无生理。现在停泊在港船只不计其数无力转运,若不及早挽回,则沙船停泊日久,船身朽坏行驶维艰,业船者无可谋生。其在船耆舵水手十余万人不能存活,必致散而为匪肆行抢掠,商贾难安。上海市面既废即洋商贸易亦难。前曾禀求转详奏准照会英国公使,专将上海一口豆石仍归内地商人运销。

上文反映了因大豆运送向外国船只开放,致使原本一直从事南北贸易的帆船上的10万人陷入失业困境的这种状况。上文还指出,由于外国船只参与大豆贸易导致豆价大幅上涨,并由此加剧了运送上的困境,船只从南方或上海归港时也因为无法获得适当的等值物品而陷入窘境。

因此,作为解决以上问题的对策,有提案认为,到达上海或经由上海的大豆贸易应只限于中国商人。除此之外,还有人向总理衙门提案说,从牛庄运送大豆的沙船,归港之时很有可能是空船,所以应该在天津以及牛庄等地对这种帆船贸易采取减税措施,其内容如下:

在该船承运天庾正供,往返海洋与自行贩运者本有不同。若查明运卸回空船只装货南下时,准其免交北税,既于体恤之中仍示区别。而华商得以邀免子税,洋商亦无从藉口。先准总理衙门公函筹商,并以粮船向有带货二成免税成案。今议回空全行免税,其南省如何给照为凭,北省如何稽查影射。

从上述内容可知,即便总理衙门也认为大豆贸易不能无限度地向外国开放。总理衙门主张,在向外国出口和以向沿海通商口岸转运为目的的大豆贸易中,若发现有向内地贩卖的情况,则应该令其缴纳厘金税,其主张如下:

总理衙门咨。前本衙门奏开牛庄登州豆禁一折,奉旨允准业经备文知照在案。兹接英国照会,所有此项豆石按照新定各项土货之例,于下船出口之时,按照税则所载纳一正税,迨到他口复纳一进口半税。如已在他口纳完半税之后,该商复欲下船出洋,该关即照各货运出外国之例,发给存票一纸以为日后持作已纳税饷之据等因。前来本衙门现给与照复,查照新定南北通商章程各项土货之例,除完过出口正税并复进口半税后,一经离口自入内地贩运,无论洋商华商均逢关纳税,遇卡抽厘等语。相应粘钞照会照复咨行查照。同治元年正月二十七日咨沿途各省。

但是,由于出现了漕粮运送由河运转为海运,强化海运管理的动向,并开始出现租借外国船只的现象,这些提案对帆船贸易的保护,可以说只不过徒有虚名而已。

2.扬子江贸易

扬子江贸易是作为国内地方贸易来把握的贸易领域,但是《天津条约》规定扬子江向外国贸易开放,然后在《烟台条约》中特别对扬子江贸易制定了新的开放规定,即《沿江六处试办章程》。

总理衙门咨。案查烟台条款第三款,内载至沿江安徽之大通、安庆,江西之湖口,湖广之武穴、陆溪口、沙市等处,均系内地处所,并非通商口岸。按长江统共章程,应不准洋商私自起下货物。今议通融办理,轮船暂准停泊,上下客商货物,皆用民船起卸,仿照内地定章办理。除洋货半税单,照章查验免厘其有报单之土货,只准上船不准卸卖外,其余应完税厘,由地方官自行一律妥办。外国商民不准在该处居住开设行栈等语。所载不过是大概办法,现将详细章程十二款开列于后,相应咨行。光绪年月。

虽然扬子江沿岸各省中的某些地区,如安徽省的大通和安庆,江西省的湖口,湖北省的武穴、陆溪口和沙市等地并不是通商口岸,但是在这一协定中给予这些地方准通商口岸的地位,为其提供贸易之便。

在章程12条中具体规定了扬子江贸易应具有的具体事项:

(1)“轮船”这一概念包括扬子江特有的平底“内江轮船”。

(2)上述六地虽不是通商口岸,但对其处理办法与通商口岸相同,可免费倒装、转运。

(3)从沙市到大通之间共有大约九个征收船厘的厘金局,只限于这一区间免收厘金。

(4)从以上六港向内地运送货物时,征收从价2%的厘金。

(5)在上海缴纳过税款的商品不予课税。

章程规定了以上五项内容,除镇江、九江、汉口、宜昌等通商口岸之外,又作为转口基地开放了以上六个港口,其结果,扬子江沿线连续对外国开放贸易,而且这一沿线贸易还与内地贸易相连接。

针对这种情况,李鸿章主张要改订章程的第3条和第6条。现将原章程的(3、6)两条与李鸿章的改订案(3′、6′)分别引用如下:

(3)六处除领有税单之洋货,并领有报单运照之土货,验明单货相符。洋货即准其装船或起岸放行,土货即准装船前赴所报出口海关。该六处均不另征税厘外,其余无单照各货,均照后开章程办理。

(6)由上海关暨长江各关装船运往六处起岸之货,除先在该关照完正半两税,或只完正税,如自芜湖关报运大通,是仅经一关只完正税。如自镇江关报运大通,是所经两关应完正半两税。其经三四关者亦只完正半两税一次而止。以上正半各税均在装船之关照完。报装轮船指赴某处,并领收税单到起岸处呈验外,应于起岸处照完该处厘金。并由该厘局核明所经末尾一关,以后共有厘卡几所,即照所完厘数,令其再完几倍以补应完之厘,如所经仅只装船一关,即以该关为末尾之关。

(3′)长江通商各口所到之货,除总单载明之货,皆照向章办理外,其未载明各土货,应查明沿江六处运来厘卡联单,于起岸时照章补交正半两税。

(6′)沙市等沿江六处,凡有货物由轮船拨卸民船及由民船拨上轮船,应令挂号之拨船载赴厘金特订之码头遵验。除领有单照之洋货照免放行外,其余各洋货须照完该处厘金。所有运来各项土货除照完本处厘金外,其指赴何口核计沿途越过几卡,应补完几倍厘金填给收单以凭查验,所补厘金仍由该局统收分解。惟湖口应另立专章,凡由湖口运往各口土货,除照完厘金外,应在该卡补完九江关正半两税方准上船。

在这里,李鸿章针对扬子江贸易除原通商口岸之外又开放六港,致使扬子江贸易全面开放的情况提出了批评,主张应该确保六地固有的作用。虽然李鸿章主张确保从土货(中国产品)征收厘金收入,但其基调仍是由海关或准海关负责征收厘金。这一想法可以看出他试图将厘金引向中央财源的意图。所以,从中央——地方这一角度来分析,李鸿章的论调与薛福成的看法可谓不谋而合。

二 通商口岸与镇江贸易

(一)通商口岸的各种特征

如果认为通过开放口岸,亦即常关、海关的贸易活动,能够表现出地域经济的特征,那么应该在什么项目下进行比较探讨呢?笔者认为,可从各个通商口岸中的以下几个项目中来考察:

(1)贸易收支

(2)金银贸易收支

(3)外国贸易与国内贸易比较

(4)国内贸易对象比较

(5)贸易特征[在(3)上加出口、进口、内地贸易、转口贸易比重等方面的内容]

(6)主要进出口商品(腹地的生产与消费)

1.从进出口差额来考察的各种特征

如果我们从以上六个指标中以(1)——(3)为中心对通商口岸进行整理,就可以得到图4-5.

图4-5分别表示了各通商口岸的外国贸易、国内贸易、金银贸易情况,并把它们以进出口差额来表现。从实际数字来看,外国贸易的进出口很多;但如果从贸易差额分析,就产生了可与国内贸易相比较的可能性。从它们都有金银进出口差额的项目,同时各通商口岸都有贸易的差额这一情况来看,可知以上各图表明,各通商口岸是在国外贸易、国内贸易及金银贸易三者关系中来看结算关系的。

以上各图的整体特征是,在国内贸易与外国贸易方面显示入超情况的通商口岸占绝大部分。在外国贸易上呈出超情况的港口,只有牛庄、汉口(后来变为出超)、广东等地。从外国贸易和国内贸易的相关性来看,呈现出一定的相关性(正比例或反比例)的通商口岸有牛庄、天津、芝罘、胶州、上海、广东等地,两者处于对照性变动趋势。另外,除上海之外,其他各通商口岸的国内贸易差额都远远超出了与外国贸易的差额,值得注意的是,收支均衡型非常少。但是,由此假设差额大就意味着流动性强的话,那么,大概就可以认为各港的国内贸易比重都很高。

其次,如果将金银贸易差额与进出口差额相对比,可以发现,在金银进出口方面与外国或国内贸易差额有着对应关系的通商口岸有很多,具体包括牛庄、天津、芝罘、胶州、汉口、九江、南京、上海、杭州、宁波、温州、福州、厦门、汕头、广东、琼州、亚东等地。其中,与国内贸易相关性强的通商口岸为九江、杭州、宁波、温州等华中地区的原有港口。而自我决算完结型的港口却很少,只有九江、温州、琼州等地。

通过以上各通商口岸进出口差额的考察,以下问题就会浮现在出来。即以下两点:

(1)作为整体性的入超情况是怎样结算的呢?

(2)除金银结算方式之外还采取了什么样的结算方法呢?

关于问题(1),由于通商口岸存在着大后方即内地市场,所以通商口岸的入超情况可以通过与内地市场关系和向其转嫁窥视出来;关于问题(2),我们可以推测出有以下可能性:通商口岸除了金银结算之外,还存在着无需金银的信用结算,或通商口岸之间存在着多元结算。

2.从贸易构成来看通商口岸的各种特征

接下来,就上述第5个指标(贸易特征)作具体分析考察。在试图把握各通商口岸的特征之时,应该尝试设想通商口岸市场圈或通商口岸贸易圈的存在。我认为,对税则各项目比例以及税收的国别比例的考察,对于把握通商口岸市场圈的特征是很有必要的。这是因为被区分为进口、出口、沿岸贸易、吨税、转口税、鸦片厘金等项目的税收项目,包含了进出口项目的一部分,能够反映国内远距离贸易的特征以及内地贸易(通商口岸与其后方城市之间的贸易)的特征。表4-20反映的就是各个通商口岸税收项目的比例以及国别征收额的比例。

表4-20 各开放口岸征税项目比率及各国征收额比率(1904年)

首先,考察分类为A的各税收项目,可基于以下特征将各通商口岸分类为:

(1)在出口、进口两方面大体均衡的通商口岸:天津、芝罘、镇江、宁波、广东、蒙自等地。

(2)出口税出超的通商口岸:牛庄、沙市、长沙、岳州、汉口、九江、芜湖、南京、苏州、温州、三都澳等地。但是,扬子江沿江各港口城市,因其进口税征收是在上海或其他港口城市,所以其出口税收入比例异常之高。

(3)进口税入超的通商口岸为芝罘、胶州、上海、厦门、九龙、梧州等地。

(4)沿岸贸易税(coastal duties)大的通商口岸有牛庄、宜昌、苏州等地。

(5)转口税(transit dues)较高的通商口岸有天津、岳州、镇江、梧州、龙州、思茅、腾越等地。转口税的主旨是以把货物运送到内地为前提而收取的。如果与这点相对照来考察,可见这些通商口岸是通过与后方市场保持密切联系来从事出口或进口贸易的。

(6)从鸦片的厘金方面来看,除九江、芜湖、南京、镇江等沿江各港之外,杭州、宁波、厦门、汕头、广东、九龙等华中、华南沿海的通商口岸占有很大比重。不过,鸦片厘金作为税收项目虽然是独立的,但在进出口分类中,鸦片厘金被算入进口项目。

值得注意的是,从以上各税收项目看到的各港明细,沿岸贸易或转口贸易等原本属于国内贸易的领域,实际上却属于管理外国贸易的海关的征收范围。而且,鸦片厘金征收额比较高的港口都处于扬子江的南岸沿线的特定地带,我以为,这也成为这些地域对外贸易的特征。

其次,就B项国别征收额比例上来看,整体上是从英国籍船只征收的比例比较高,而长沙、沙市、岳州、苏州、杭州、三都澳等地从日本征收的税额也占有一定的比例。更令人注目的是,从中国籍船只征收的税额也相当高。九龙及其以西的通商口岸,因为帆船贸易也归海关负责管理(1888年以后),而且从1902年开始,海关50里以内的常关也归海关管理,所以数字有所增加,但是主要从事国内贸易的中国船只利用了海关(即中国商人利用外国贸易这一形式来进行贸易活动)这一点也反映了海关实际状况的一个侧面。一般来讲,海关承担外国贸易,而常关负责国内贸易,实际上,我们认为,海关承担了相当程度的国内贸易。因此,有必要从通商口岸与其后方市场或内地市场之间紧密结合的角度,对这一点进行分析考察。

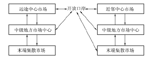
3.通商口岸市场圈的方向

在分析通商口岸与内地市场关系时,有必要首先对通商口岸所拥有的影响力方向、范围、内容等特征进行分析考察。地图4-4反映的即通商口岸对内陆究竟产生了怎样的方向影响。如图所示有以下四种情况:(1)东侧沿海的通商口岸除天津和上海之外,成为只限于沿海地域的货物集散地;(2)与此相对,扬子江沿岸的各个港口,如镇江、芜湖、九江、汉口等等,成为与邻近各省呈放射状分布的广泛地域的货物集散地;(3)除以上状况,天津、上海、广东成为对邻近内陆各省、沿海沿江各省来说的大型货物集散地;(4)此外,还存在着进行沿海远距离贸易活动的通商口岸,比如牛庄、厦门等地。

若从商品流通的范围来分析通商口岸市场圈,可以看到,通商口岸市场圈与通商口岸的关系,主要有以下四种类型:

(1)以近邻腹地为市场圈的通商口岸。[与上述(1)相对应]

(2)连接内河流域的大集散地。[与(2)相对应]

(3)延伸到众多地区及广泛地域的集散地。[与(3)相对应]

(4)与沿海远距离贸易的基地。[与(4)相对应]

以上各种类型表现出各自特征的时期并不统一。从它们各自的历史发展情况上来看,类型(1)和类型(4)是自古以来就一直存在的贸易港口类型。即使是类型(2)和类型(3),如果从各个类型之提取出某个贸易港口的话,可以发现它同样能够还原为拥有悠久历史的类型(1)。但成为沿海沿江大型货物集散地的时期却是18世纪60-70年代,这是因为以扬子江为中心的内陆河流航运出现了三个变化:(1)沿江六港贸易手续的简单化;(2)扬子江贸易在上海征税的集中;(3)因蒸汽船引进引发的英美系航运公司与中国航运公司(轮船招商局)之间的竞争,及由竞争导致的扬子江贸易的扩大等,而这些变化又促进了贸易的发展。

轮船招商局是官督商办的航运公司,作为洋务企业的代表,是以奋发图强、收回国权以及国家利益为目的而设立、维持起来的。伴随着扬子江贸易成为外国贸易的焦点之一,公司开始强调充实与强化,到19世纪70年代末,轮船招商局所拥有的蒸汽船已有大小18艘。正如资料篇4所示,镇江海关关于入港船只的记录详尽地记录了招商局船只的活动情况。根据记录可知,江永、江裕、江孚、江实、江宽等船只,以单程4-5天的间隔,往返于上海、芜湖、镇江、九江、南京、汉口这一区间,以国产品为中心从事贸易运输活动。

以海关为窗口收集到的与通商口岸有关的贸易状况记录,只能反映截至20世纪初期的通商口岸市场圈情况。之所以这样说,是因为由于铁路的建设,使得南北之间的内陆运输得到强化,致使无需经由通商口岸的内陆市场的出现。铁道真正开始投入建设的时期是20世纪10年代之后,这一时期也正是通商口岸市场圈与内陆市场圈并存、同时相互影响产生新关系的时期。下文以天津为例,分析从开放港口市场到内陆市场的货物运送的方法。

地图4-4各港口进口商品分配方向概略

表4-21 天津与内地市场间的贸易(1902年8-11月)(单位:海关两)

据上表所示,1902年8-11月这3个月间,从天津运送到内地市场与从内地运送到天津港的商品比例为30:70.将这两者综合起来,可知大约31%经由西河运送,经由铁路运送的占24%,位居第二。占第三位的是经由大运河运送的,大约占19%。这不仅说明由于通商口岸与铁道的连接使港口城市能够进一步与广泛的内地市场相连接,而且还意味着仅仅通商口岸之间的贸易是不能反映内地市场动向的。当然,伴随着纵贯内陆的铁道建设的兴旺发展,我们必须通过交通手段的变化之间的关系,来理解通商口岸贸易以及通商口岸与内地市场之间的关系(请参照地图4-5)。

(二)镇江与内地市场

1858年《天津条约》制定了子口半税(transitdues),因此,在内陆市场拥有广泛影响力的扬子江沿岸的通商口岸,在内陆所能涵盖的范围达到了空前的程度。《天津条约》第28条以及通行章程的第7条规定,对于有税品来说,不管出口还是进口共缴纳从价、从量等正税5%的1/2,而免税品则在进出口时要缴纳从价2.5%的税金。至于这些税金的交付场所,条约规定,中国内地产品要在运送途中所经过的第一个厘金局交付,外国进口产品则要在通商口岸缴纳。税金缴纳后可领取到缴税证明书(请参照资料篇Ⅴ关于税关各种文件的证明书形式)。只要缴纳过一次税金之后,不管在其他任何常关以及厘金局都免予课税。根据这项规定,外国商品只要缴纳正税和子口半税共计7.5%的进口税,就可以运送到中国国内的任何地方而无需额外再缴纳其他任何费用。

地图4-5 19世纪末天津后背地域的交通和网通商路

通过考察这种依靠通行证(transit pass)在中国内陆市场贩卖的情况,一方面可以了解外国商品在中国的渗透过程,另一方面也能够探讨通商口岸市场圈的方向和范围。据海关资料显示,1894年为调查通过转口证从广东、镇江、九江、汉口四个港口将外国商品贩卖到内陆市场的地域范围,如果将重复地点也包括在内的最终运送地用地图来表示的话,做图如下(地图4-6)。

据图可知,由上述四个港口送出商品所到达的地域,尽管包含了一部分重复的城市,但它们各自分担地区的覆盖面却涵盖了华南大部分地区,甚至还经大运河北上至华北的山东省。如果从另一角度观察这一地理范围的话,可以发现,从沿岸通商口岸到华南中央地带的经路,从地理上来讲并不多,所以沿岸通商口岸在沿海贸易中占有更大比重,尽管距离很远,但商品分布从扬子江沿岸的通商口岸开始直至华南一带,可以说,这一点是其特征所在。

1.镇江与沿岸贸易

地图4-6 1890年代,以镇江、九江、汉口、广州为中心的由转口证所带来的内地贸易分布

镇江海关隶属于江苏省镇江府丹徒县。镇江曾是江苏省的首府城市,其邻近地区是农业生产地,作为大运河的出入口,还是向华北贸易通道上的一大转口地,不论陆路还是水路,都处在南北交通的要地(请参照地图4-7)。因此,镇江自身作为消费地虽然并不拥有大规模的人口,但在沿岸贸易上却位居全国前茅。1858年由于《天津条约》港口开放,之后,镇江与汉口共同成为扬子江贸易的中心。到19世纪80年代,在沿岸贸易港口中(在内地运送量的方面),镇江成为超过广东,仅次于上海、天津、汉口的港口城市。由此排列即可窥知镇江的内地贸易量之大。通过表4-22、表4-23可以充分确认,镇江沿岸贸易的内容是转口贸易,是将货物从沿岸运送到内地的中心。

伴随子口半税规定出现的转口证(transit pass)发放,使一个通商口岸得以将商品输送到以省为单位的大范围地域。关于这一点,前文已作分析。在转口证发放数量的比较上,则见表4-22.

表4-22 子口税单发放数(1875年)

地图4-7 镇江近邻内河网

如表所示,1875年,不论是在子口税单(转口证)的发放上,还是在由此而运送商品的金额上,镇江都远远超出其他港口,进口商品的78%被输送到内地。在此也可以将镇江作为一个事例,借以考察通商口岸与内陆市场之间的关系——亦即通商口岸市场圈的实际情况。

把经由镇江海关的内地贸易作为考察通商口岸市场圈的事例研究,这一尝试成为可能的进一步原因,在于镇江在1868-1881年期间的海关报告比起其他港口更为缜密、细致。正如第3章第2节(32)中所见到的,到了19世纪80年代,通商口岸上交的报告要求全国统一格式,报告文字也被限定在一定数量以内,并要求就统一的项目作统计。在这以前,也有可能依通商口岸的特征来写,或据海关税务司的个性来写,所以那时的报告每地都是不同的。但1868-1881年间,镇江海关税务司代理F.E.伍德拉夫(Woodruff)的报告写得非常出色。他每年的报告都是15-20页,还附有5-8页的附属资料,明确记录了内地贸易的实际情况。而附属资料就是关于通过转口证运送到内地的外国商品的数量及其去向一览表。表4-23就是将其每年附在报告后的一览表进行整理,并对在镇江获得转口证被输送到内地的商品去向按照省别来分类的产物。其中江苏省、安徽省最多,其次是山东、河南、江西、湖北、湖南,共有7个省份。报告还按照地名分类记录货物运送量,1871年记录的地点237个,是历年中最高的,而1881年仅30个,为历史最低记录。

表4-23 各省份从镇江海关运入商品的地区数量(1868-1881年)

2.镇江贸易的商品类别

关于镇江的进口商品情况,以1866年为例,如表4-24所示。

表4-24 镇江的主要进口商品(1866年下半期)

以食品、服装为代表的日用品中,包括外国产鸦片,主要都是经中国商人手进口的。其中白檀、灰色丝、各种棉布以及铁钉等商品是由外国商人进口的。在棉布方面,这一时期进口到中国内地的并非棉线,而是成品的外国棉布,外国棉线还没有出现。

作为单一商品,砂糖的进入量最大,其中又以中国产砂糖占绝大多数。但是,几年后外国商品竟完全占据了优势地位。正如表4-25表明的那样,以1869年为转折点,外国产糖完全压过了中国。

表4-25 镇江的砂糖进入情况(单位:担)

1869年外国砂糖和中国砂糖之所以出现地位倒转的情况,并非外国产砂糖的产量增加,更确切地说是中国砂糖出口到香港,然后再由香港进口造成的“外国砂糖”进口量增加。中国砂糖在内地流通时,经过的常关、厘金局都要税,但如果出口到香港后再作为外国砂糖进口时需要交纳的只是两次正税和一次子口半税共计12.5%,两者相比就会发现,就算除去运输成本,出口香港后再进口的税额也会远远小于在内地流通。而且,与转口税(子口半税)相比,厘金局的课税率大概在2-6倍之间,从价税在3%(土布)——26%(白檀)之间。从砂糖的课税率来看,镇江府要缴纳从价13.5%,南京要缴纳7.8%,再加之无数厘卡的收取,就可以理解为何货物经由香港作为外国产品进口所缴纳的税金反而少。中国产品由于出口香港后再进口而改变了商品的国籍。在香港的问题上,总理衙门也认可其将中国产品作为外国产品来办理。

香港口岸本作外国埠头,但粤省所产土货,多有从香港运往别口者。至本关进口各货,俱由江汉关,验明征纳税饷给照前来,应分别洋货、土货为凭,江海关单照为准。如该商运货来汉,呈有江海关发给例免重征税单者,本关查验数目相符即作为洋货办理。如无免重征税单呈关,均照内地土货一律办理,历来如此办法等情。据此查条约及尚行章程,土货与洋货本有区别。香港虽系外国埠头,然粤省所产土货,多从香港运往别口,并非外洋所来之货,自应分别办理。嗣后江海关发给免其重征税单,应令仍照旧章查核分别妥办。如系土货似未便擅给免单,致滋洋商包揽华商冒混之弊。……税务司狄妥玛复称,查各口海关办法,凡有土货报运香港所收出口正税,概不给发收税单。如抵香港后,再往通商海口,必至再完进口正税,盖已将香港照外洋办理。是以由香港运来之土货,亦照洋货收税。因已受作为外洋之亏,故应得作为外洋之益。所有该土货进口时,既照外洋办理,则复出口时,自应查照洋货,或发免照或发存票以昭划一。

在这里,香港是作为外国贸易港口使用的,由于许多广东产品经由香港运送到其他通商口岸,因此有必要将香港一直作为外国港口来看待。但是,香港与九龙之间的管理却非常困难。

可见,海关税则通过采取外国贸易的形式来扩大远隔地之间的内地贸易的同时,也发挥了免除内地贸易所收厘金的作用。用概念图来表示的话,则如图4-6所示。

图4-6 海关税则与内地市场的相关图

也就是说,19世纪60年代之前,经由海关的外国贸易,不必经由地域市场就可以在内地市场进行进出口贸易。自从海关机能被扩充的19世纪60年代以后,通商口岸就在连接地域市场与内地市场上发挥了媒介作用。当然,如前所述,这种向内地市场的渗透也产生出了很多摩擦。

3.地域类别的镇江进口贸易

具体分析1868-1881年间经由镇江进入的商品结构,包括经外国商人手的棉布、毛织品、铁等商品以及以外国商品名义运送进来的例如砂糖等商品,把商品运送目的地以省份来综合统计的话,可知安徽省为49、山东省为27、江西省为8、河南省为18、江苏省为57个地方。

下面以镇江商品到达地数量上最多的年份1871年为例,统计每种商品排在前5位的地方。如表4-26所示(请参照地图4-8、4-9、4-10)。

表4-26 从镇江向各地的商品分配(1871年)

由上表来分析商品分配地的特征,可以证实存在着以下四种类型:

(1)在所有商品中都列于前位作为第一次分配地点的地方有安徽的芜湖、安庆,河南的归德、周家口以及江苏的徐州、六安州等地。

(2)与(1)在性质上相同,镇江是经由大运河来向远隔地的中心地配送货物的,山东省的济宁、兖州则与它大致相当。

(3)从华中的常关所在地和厘金总局的所在地来推断,每个省份主要的商品集散地有3-6个,在它之后、位于第二级位置的地点则是其数量的2-3倍。从镇江分配来看这一点,它们是安徽的大通、和悦,河南的鹿邑,江苏的江宁以及山东的济南等地。

(4)存在着对特定商品承担特殊分配、流通的地点。例如安徽泗州的棉布、宁国的砂糖,江苏省沙沟镇和邵伯镇两地的铁等。

“镇”这一级别在这里出现表现出的是特定商品流通的网络末端。将以上四种类型用概念图来表示,则如图4-7所示。

图4-7 从镇江的商品分配

可以说,这种关系与以往存在于地域市场的中心或上一级市场到末端市场这样一种分配系列不同——毋庸置疑,这种分配系列也是被充分利用的,即使从转口证的性质来看,在各级市场之间,只要对商品销售有利,就有可能出现跳过中间环节而直接进行接触的情形。

在分析进口量变化的时候,这种特征又反映了什么样的问题呢?下面从几个事例来分析考察进口量变动的类型差异。

我们从江苏、山东、湖南、安徽几个省份中,把通过转口证从镇江进口的四种商品按变动类型分成几类进行考察,如图4-8所示。由于布制品的单位是反(pieces),砂糖、铁类的单位是担(piculs),这两者不能进行实际数量上的比较,仅限于变动的相对性比较。

图4-8 各地商品运入镇江的变化(1868-1881年。单位:织物:反;砂糖、铁:担)

从这些变动中,我们能够看到以下几个特征:

(1)扬州、淮安、济宁等地通过使用转口证,在整体上呈现出贸易上升的趋势。不过,在棉布方面,1870-1872年达到顶点,到了1873年开始呈现急速下降的趋势。这是受到1873年英国经济恐慌的影响,导致中国的进口市场也陷入停滞状态,致使许多大洋行倒闭,外国公司在贸易手续费方面产生变化的时期。这种情况直接反映在内地市场上。

(2)图表显示从这一期间的初期开始,扬州与淮安就开始进口,而山东济宁与河南的陈州等地则从这一期间的后半期才开始进口。这大概就是进口商品逐渐向外缘渗透的结果。至于济宁以棉布为主,陈州以砂糖为主的情况,也是消费地特征的反映。

(3)虽然安徽省的泗州、宁国、颍州、安庆四地的特征与上述(1)、(2)的特征相同,但宁国的砂糖,安庆的砂糖、棉布在这一期间的后半期出现下降的趋势。下面试从1878年江西省扬子江南岸的通商口岸——九江的进口情况来分析这一问题的原因(请参照地图4-9)。

表4-27 九江的进口贸易(1878年)

通过表4-27可知,安庆府进口了大量的棉布和砂糖,但其改变了主要的进口对象,不是从镇江,而是从九江进口。从镇江的进口因此而有所减少。

(4)另外,在砂糖的进口方面,图表中看不到从九江向江西省的进口,主要都集中从镇江的进口。在使用转口证将货物从九江运送到江西省全境的状况中,透过砂糖的情况,使我们看到了独占流通领域的商人集团的存在。

可以说,通商口岸市场圈一边灵活运用原来的要素,一边利用转口证扩大其影响的范围,而其内容并不限于此前所见的进口贸易,在向中国内地运送商品时也利用了转口证。表4-28中所表示的就是镇江通过转口证的内地商品外运情况。

表4-28 在镇江通过转口证的内地产品的外运(1868-1875)(单位:担)

于是,中国商人所使用的转口证也被用于内地商品的运出。在这其中,作为外国商品与内地产品差别点而存在的税则上的区别,也被排除掉了。在市场中,不但销售,包括日用产品的收购,两者变成能够同一的贸易对象。开放港口市场圈的内容,并不仅仅包括进口品的进入,更确切地说,它沿着地域贸易的轮廓而发挥作用的功能,将它们相互间在更大规模上连接了起来。图4-9所表示的商品循环,将通商口岸作为动力部分与国内地域市场连接起来,把它与图4-7相对比,反映的正是开放港口市场圈的整体状况。

图4-9 开放口岸市场圈的商品循环

[补遗]

研究本章内容,对以往研究业绩的吸收与探讨不可或缺,但也难免挂一漏万。以下是关于(1)常关、海关;(2)市场与商业,市场与都市;(3)通商口岸贸易史等三方面的参考文献。

(1)常关、海关研究

香坂昌纪:《关于清代的关税赢余白银两的制定》,载于《集刊东洋学》第14号,1965年;《清代浒墅关的研究Ⅰ、Ⅱ、Ⅲ、Ⅳ(完)》,载于《东北学院大学论集历史学·地理学》第3、5、13、14号,1972年12月、1975年3月、1983年3月、1984年3月;《关于清代前期的关差办铜制》,同上第11号,1981年3月;《清代的大运河的物资流通——以乾隆年间淮安关为中心》,同上第15号,1985年3月。

泷野正二郎:《关于清代淮安关的构成与机能》,载于《九州大学东洋史论集》第14号,1985年。

佐佐木正哉:《粤海关的陋规》,载于《东洋学报》第34卷第1-4号,1952年3月。

寺田隆信:《关于清朝海关行政》,载于《史林》第49卷第2号,1966年3月。

冈本隆司:《关于清末总税务司的成立》,载于《东洋学报》第70卷第1-2号,1989年1月。

(2)关于市场与商业,市场与都市研究

中村哲夫:《清末华北的市场圈与宗教圈》,载于《社会经济史学》40-3,1973年。

林和生:《明清时代广东的墟和市——对于传统市场的形态与机能的考察》,载于《史林》第63卷第1号,1980年1月;《民国时代华中、华南的商业集落》,载于《人文(京都大学教养部)》第27集,1981年。

石原润:《关于华中东部明、清、民国时期的传统之市》,载于《人文地理》第32卷第3号,1980年;《定期市研究——机能与构造》,名古屋大学出版会,1987年。

山根幸夫:《明清时代华北的定期市》,载于《史论》8,1960年。

G.W.Skinner,ed.The Cityin Late Imperial China.Stanford University Press,1977.

Gilbert Rozman.Urban Networksin Ch'ing Chinaand Tokugawa Japan.Princeton University Press,1973.

斯波义信:《宋代江南经济史研究》,东京大学东洋文化研究所,1988年。

Wiliam T.Rowe.Hankow:Commerceand Societyina Chinese City,1796-1889.Stanford University Press,1984.

(3)通商口岸贸易史研究

Liu T'sui-jung.Trade of the Han River and its Impacton Economic Development,c.1800-1911,The Instituteof Economics,Academia Sinica,1980.

林满红:《口岸贸易与近代中国——台湾最近有关研究之回顾》,(台)中央研究院近代史研究所:近代中国区域史研讨会,1986年。

刘素芬:《烟台对外贸易分析:1876-1919》,载于《食货月刊》复刊第12卷第8期,1982年11月。

范毅军:《汕头贸易与韩江流域手工业的变迁》,载于《近代史研究所集刊》第11期,1982年7月。

范毅军:《广东韩梅流域的糖业经济》,载于《近代史研究所集刊》第12期,1983年6月。

黑田明伸:《权力性改革构造及其背景——辛亥革命在经济史上的位置》,载于《历史学研究》412号,1984年。

小濑一:《19世纪末中国通商口岸间流通的构造——以营口为中心》,载于《社会经济史学》54-55,1989年。

Alivin Y.So.The South China Silk District:Local Historical Transformationand World-System Theory.State Universityof New York Press,1986.